125772 (717650), страница 4
Текст из файла (страница 4)
Для виконання умови (1) необхідно і досить, щоб вісь обертання ротора проходила через йог
о центр мас і щоб вісь обертання ротора збігалася з однією із його головних осей інерції, тобто щоб дорівнювавали нулю його відцентрові моменти інерції. При обертанні ротора навколо осі, що не звігається з головною центральною віссю інерції, він стає неврівноваженим. Неврівноваженість - це стан ротора, що характеризується таким розподілом мас, який під час обертання викликає змінні навантаження на опорах ротора і його вигин. Мірою неврівноваженості вважають дисбаланс D. Для порівняння роторів різних мас вводять питомий дисбаланс, що чисельно дорівнює ексцентриситету:
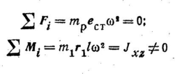
Види неврівноваженості. Залежно від взаємного розташування осі ротора z' і його головної центральної осі інерції z розрізняють три види неврівноваженості. При статичній неврівноваженості осі z' і z паралельні. Ця неврівноваженість повністю визначається головним вектором дисбалансів D або ексцентриситетом eст.
Рисунок 3 - Cхема ротора з неврівноваженими масами
Формули для визначення головного вектора і головного моменту системи сил:
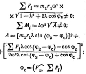
При моментній неврівноваженості вісь ротора і його головна центральна вісь інерції перетинаються в центрі мас. Моментна неврівноваженість повністю визначається головним моментом дисбалансів ротора MD або його відцентровими моментами інерції.
Рисунок 4 - Cхема ротора з неврівноваженими масами
Формули для визначення головного вектора і головного моменту системи сил:
При динамічній неврівноваженості, що складається із статичної і моментної, вісь ротора і його головна центральна вісь інерції перетинаються не в центрі мас ротора. Динамічна неврівноваженість визначається головним вектором і моментом дисбалансів ротора.
Рисунок 5 - Cхема ротора з неврівноваженими масами
Формули для визначення головного вектора і головного моменту системи сил моменту системи сил:
Еквівалентні системи дисбалансів. Головний вектор і момент дисбалансів можна замінити еквівалентною системою, що складається з двох дисбалансів: DА і DB, розташованих в двох довільних, перпендикулярних до осі ротора площинах А і В (рис.2). Розрахунок еквівалентної системи проводиться за правилами статики:
Перпендикулярна до осі ротора площина, в якій задають значення і кут дисбалансу, називається площиною приведення дисбалансу.
Часто необхідно переходити від однієї еквівалентної системи до іншої, розміщеної в інших площинах приведення. При такому переході можуть змінюватися не тільки величини дисбалансів, а і кути між ними.
Балансування ротора. Оскільки неврівноваженість твердого тіла може бути замінена еквівалентною системою двох дисбалансів, розташованих в двох поперечних перетинах ротора, ротор завжди може бути приведений у стан динамічної рівноваги за допомогою двох коригуючих мас, розташованих в двох довільних площинах корекції. Коригуючі маси можна додавати або видаляти з тіла ротора або переміщати по ньому. Процес визначення значень і кутів дисбалансів ротора і зменшення їх коригуванням мас називають балансуванням ротора. Вимірювати дисбаланс і зменшувати його при балансуванні можна послідовно як самостійні операції і одночасно, як при автоматичному балансуванні.
Балансування можна виконувати двома методами.
1. Коригуючі маси встановлюють, видаляють або переміщають так, щоб головна центральна вісь інерції наближалася до осі ротора. Коригування мас проводять в одній або декількох точках однієї площини корекції або в декількох площинах корекції одночасно або послідовно. Коригування мас проводять свердлінням, фрезеруванням, наплавленням, наварюванням, загвинчуванням або вигвинчуванням гвинтів, випалюванням електричною іскрою, променем лазера, електронним пучком, електролізом і тому подібне.
2. Цапфи переміщають або обробляють так, щоб вісь ротора збігалася з головною центральною віссю інерції. Метод має обмеження у застосуванні, оскільки він викликає загальний зсув ротора, неприпустимий, наприклад, через зміну геометрії зубчастих зчеплень і лабіринтових ущільнень, зазорів між ротором і статором, небезпеки зачіпання в апараті лопатки турбін і так далі.
Дисбаланси, що мають місце до і після балансування, називають відповідно початковим і залишковим дисбалансами. Найбільший залишковий дисбаланс, взятий за норми балансування, називається допустимим дисбалансом або відповідно допустимим питомим дисбалансом.
Гнучкість ротора. Ротори ділять на жорсткі і гнучкі залежно від використовуваних методів балансування. Жорстким вважають ротор, який може бути збалансований на частоті обертання nб, меншій за першу критичну n1 в двох довільних площинах корекції і у якого залишкові дисбаланси не перевищуватимуть допустимих на всіх частотах обертання до найбільшої експлуатаційної ne. Іноді жорстким називають ротор, у якого
. Значення коефіцієнта k береться 0,2-0,7. Відповідно гнучким вважають ротор, який не може бути збалансований на частоті nб
Методи балансування жорстких і гнучких роторів істотно відрізняються. Існують ротори з геометрією або масою, що змінюється, для яких застосовують спеціальні методи балансування, зокрема автоматичне балансування на ходу.















