125772 (717650), страница 2
Текст из файла (страница 2)
Рисунок 1 - Схема кріплення віброізолятора: 1 - об'єкт; 2 - віброізолятор; 3 – джерело
Рисунок 2 - Розрахункова схема підвісу
Всякий віброізолятор має три взаємно ортогональні головні осі жорсткості u, v і w, причому вісь w проходить через точки кріплення віброізолятора до джерела і об'єкта і, як правило, збігається з лінією дії статичного навантаження (рис.1). Властивість головних осей полягає в тому, що сила, спрямована по одній з них, викликає деформацію тільки по тій самій осі. Відповідно до цього підвіс з N віброізоляторів можна вважати еквівалентним підвісу з 3N пружних елементів, кожен з яких реагує лише на стиснення-розтягування. Нумерацію цих елементів зручно вводити таким чином: номерами від 1 до N позначати елементи, що описують пружні властивості віброізоляторів в осьових напрямах ш, а номери від N + 1 до 3N привласнити елементам, що характеризують роботу віброізоляторів у поперечних напрямах u і v.
Динамічна реакція Rj j-го пружного елемента залежить від його деформації
і швидкості деформації
(j = 1, 2,…, 3N); таким чином, рівняння динамічної характеристики має вигляд
Для металевих (пружинних) і резинометалічних віброізоляторів статичні характеристики можуть бути отримані з (1) при
У окремому випадку лінійних характеристик мають місце співвідношення
де cj, bj - коефіцієнти жорсткості і демпфірування j-го пружного елемента;
cj0 - його статична жорсткість, яку у відмічених вище випадках допустимо ототожнювати з динамічною жорсткістю cj.
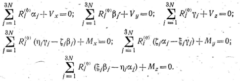
Рівняння статики віброзахисних систем. Виберемо нерухому систему координат OXYZ, що збігається з головними центральними осями інерції CΞHZ тіла при рівновазі останнього. Тоді рівняння статики просторового підвісу (рис.2) наберуть вигляду
Тут
- статична реакція j-го пружного елемента;
- напрямні косинуси його осі;
- координати точки кріплення j-го віброізолятора до
несомого тіла;
- проекції на осі OXYZ головного вектора і головного моменту сил, що створюють статичне навантаження.
Рівняння статики односпрямованого підвісу у разі, коли статичним навантаженням є вага тіла Р, а площина OXY розташована горизонтально, виходить з (3) при
і мають вигляд
(4)
С
татичний розрахунок підвісу. Визначення розрахункових статичних реакцій. При фіксованих точках кріплення віброізоляторів до тіла невідомими в рівняннях статики будуть статичні реакції), число яких, як правило, перевищує число рівнянь (3) або (4). Відповідні підвіси називаються статично невизначеними. Статична визначеність підвісу має місце лише у разі N = 1 (просторова схема), N = 2 (плоска односпрямована схема) і N = 3 (просторова односпрямована схема).
Реакції статично визначеного підвісу обчислюють безпосередньо з рівнянь статики. Якщо підвіс статично невизначений, до рівнянь статики додають умови розподілу статичного навантаження, що не суперечать ним, в числі, необхідному для однозначного визначення всіх. Як правило, додаткові умови мають вид лінійних рівнянь відносно. Реакції підвісу, що задовольняють рівнянням статики і додатковим умовам розподілу статичного навантаження, називаються розрахунковими статичними реакціями. Основні вимоги до динамічних властивостей підвісу. Раціонально спроектований підвіс повинен перш за все виключати можливість виникнення резонансних коливань системи. За аналогією до висновків, отриманих для віброзахисних систем з простою розрахунковою моделлю, необхідно, щоб при відносно низькому рівні демпфірування частоти домінуючих гармонік зовнішнього обурення перевищували найбільшу з власних частот системи. Підвіси, що реалізують ці умови, називають м'якими. Якість віброзахисту значною мірою залежить також від взаємної близькості власних частот системи. Проектуючи, підвіси на основі принципу "зближення" власних частот (у ідеалі - до їх повного збігу), можна не тільки підвищити ступінь настроювання від резонансів, але і зробити несоме тіло менш чутливим (по переміщенню) до зміни напряму статичного навантаження.
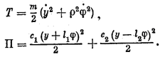
Істотною характеристикою підвісу є ступінь зв'язаності власних коливань системи. За інших однакових умов найбільш переважними є підвіси з повною розв'язкою частот, коли обурення по будь-якій з узагальнених координат викликає коливання лише по цій узагальненій координаті; при неможливості повної розв'язки слід прагнути до розв'язки часткової. Як приклад розглянемо вільні коливання плоскої системи з двома мірами вільності, показаної на рис.3. Позначимо через с1 і с2 коефіцієнти жорсткості пружин, а через m і ρ - масу і радіус інерції тіла щодо осі, що проходить перпендикулярно до площини креслення через центр тяжіння. За узагальнені координати візьмемо вертикальне переміщення центра тяжіння тіла у і кут повороту тіла φ. Подібна система дуже часто має місце при проектуванні систем віброізоляції.
Рисунок 3 - Модель виброзахисної системи
Для складання рівнянь коливань запишемо кінетичну і потенціальну енергію коливань у вигляді
Відповідно до цього рівняння Лагранжа набирають форми
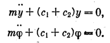
Тепер припустимо, що параметри даної системи задовольняють два прості (і реально здійсненні) співідношення:
тоді замість отриманих діференційних рівнянь маємо
Отже, інерційні коефіцієнти і узагальнені коефіцієнти жорсткості в даному випадку визначаються за формулами:
Тоді обидві частоти даної системи дорівнюють одна одній. Втім, це видно безпосередньо з рівнянь (6), оскільки
Зважаючи на незалежність рівнянь (6), постійні інтегрування одного рівняння не пов'язані з постійними інтегрування іншого рівняння:
Для визначення постійних служать початкові умови.
3. Динамічне гасіння коливань
3.1 Принципи динамічного гасіння коливань
Метод динамічного гасіння коливань полягає в приєднанні до об'єкта віброзахисту додаткових пристроїв з метою зміни його вібраційного стану. Робота динамічних гасителів базується на формуванні силових дій, переданих на об'єкт. Цим динамічне гасіння відрізняється від іншого способу зменшення вібрації, що характеризується накладенням на об'єкт додаткових кінематичних зв'язків, наприклад, закріплення окремих його точок.
Зміна вібраційного стану об'єкта при приєднанні динамічного гасителя може здійснюватися як шляхом перерозподілу коливальної енергії від об'єкта до гасителя, так і у напрямі збільшення розсіяння енергії коливань. Перше реалізується зміною настроювання системи об 'єкт-гаситель стосовно частот вібраційних збуджень, що діють шляхом корекції пружно-інерціоних властивостей системи. В цьому випадку приєднувані до об'єкта пристрої називають інерційними динамічними гасителями. Інерційні гасителі застосовують для пригнічення моногармонійних або вузькосмугових випадкових коливань. предпочтительным
При дії вібраційних навантажень ширшого частотного діапазону переважним виявляється другий спосіб, що базуеться на підвищенні диссипативних властивостей системи шляхом приєднання до об'єкта додаткових спеціально демпфованих елементів. Динамічні гасителі диссипативного типу отримали назву поглиначів коливань. Можливі і комбіновані способи динамічного гасіння, що використовують одночасну корекцію пружно-інерціонних і дисипативних властивостей системи. В цьому випадку говорять про динамічні гасителі з тертям.
При реалізації динамічних гасителів протидія коливанням об'єкта здійснюється за рахунок реакцій, передаваних на нього приєднаними тілами. З цієї причини значні зусилля при обмежених амплітудах мас, що коригують, можуть бути досягнуті лише при великій масі (моменті інерції) приєднаних тіл, складаючих, як правило, зазвичай ~5-20% приведеної маси (моменту інерції) початкової системи за відповідною формою коливань, в околі частоти, гасіння якої виконується.
Як правило, динамічні гасителі використовують для досягнення локального ефекту: зниження віброактивності об'єкта в місцях кріплення гасителів. Часто це може бути пов'язано навіть з погіршенням вібраційного стану об'єкта в інших, менш відповідних місцях.
Динамічні гасителі можуть бути конструктивно реалізовані на основі пасивних елементів (мас, пружин, демпферів) і активних, таких, що мають власні джерела енергії. В останньому випадку мова йде про застосування систем автоматичного регулювання, що використовують електричні, гідравлічні і пневматичні керовані елементи. Вдалим є їх комбінування з пасивними пристроями. Використання активних елементів розширює можливості динамічного віброгасіння, оскільки дозволяє проводити безперервне підстроювання параметрів динамічного гасителя у функції збуджень, що діють, і, отже, здійснювати гасіння в умовах змінних вібраційних навантажень. Аналогічний результат може бути досягнутий іноді і за допомогою пасивних пристроїв, що мають нелінійні характеристики.
Динамічне гасіння застосовне для всіх видів коливань: повдовжніх, згинальних, крутних і т.д.; при цьому вид коливань, здійснюваних приєднаним пристроєм, як правило, аналогічний виду пригнічуваних коливань.
3.2 Пружинний інерційний динамічний гаситель однієї маси
Простий динамічний гаситель виконується у вигляді твердого тіла, пружно-приєднаного до демпфованого об'єкта в точці, коливання якої потрібно погасити. Істотний вплив на результуючі характеристики руху об'єкта з гасителем надають дисипативні втрати в гасителеві.















