147213 (691798), страница 3
Текст из файла (страница 3)
При поступлении следующих импульсов кода КЖ работа цепей дешифратора повторяется. Происходит срабатывание счетчика 1 и периодический подзаряд конденсаторов С1 и С2. Реле Ж за счет разряда конденсаторов С1 и С2 получает непрерывное питание и на все время приема кода КЖ удерживает якорь притянутым. На светофоре 5 продолжает гореть желтый огонь.
Емкость конденсатора С2 подобрана так, чтобы обеспечить у реле Ж по возможности минимальное замедление на отпускание, достаточное для удержания якоря в длинном интервале и не создающее большой задержки на закрытие светофора с момента занятия рельсовой цепи поездом. Время замедления на отпускание реле Ж при номинальных значениях емкостей С1 и С2 и напряжения питания составляет 1,8—2,2 с.
В схеме предусмотрен перенос красного огня на позади стоящий светофор в случае перегорания лампы красного огня. Если на светофоре 3 перегорает лампа красного огня, то фронтовым контактом реле О размыкается цепь кодирования КЖ, в которую включено реле Т. Реле Т перестает работать, кодирование рельсовой цепи 5П прекращается и на светофоре 5 загорается красный огонь. Перегорание ламп разрешающих огней в приведенной схеме не контролируется.
При горении на светофоре 5 желтого огня замыкается цепь кодирования кодом Ж рельсовой цепи 7П:
Реле Т, работая в режиме кода Ж и переключая свой контакт в цепи трансформатора П, передает два импульса в каждом кодовом цикле в рельсовую цепь 7П. Длительность импульсов кода равна 0,35 и 0,6 с, длинного интервала — 0,79 с, короткого интервала — 0,12 с.
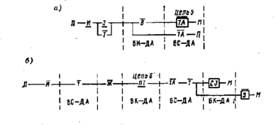
В случае свободности блок-участка ЗП и при поступлении из рельсовой цепи ЗП кода Ж на сигнальной установке светофора 3 в режиме этого кода работает реле И и замыкает следующие цепи дешифратора:
По цепи 1 с замедлением на притяжение 0,15 с срабатывает счетчик 1; по цепи 2 проходит заряд емкости С1; в цепи 2 тыловым контактом реле Т проверяется асинхронное прохождение импульсов тока в смежной рельсовой цепи П; по цепи 3 срабатывает реле В с контролем отсутствия импульсов тока в смежной рельсовой цепи 5П, что проверяется тыловым контактом реле ПТ, и контролируется поступление кодового импульса из собственной рельсовой цепи ЗП фронтовым контактом реле И. Притягивая якорь, реле-счетчик 1 самоблокируется, отключает. цепь 2 и включает цепь 4, по которой конденсатор С1 разряжается на реле Ж и заряжает конденсатор С2.
В малом кодовом интервале реле И отпускает якорь, реле-счетчик 1 и реле В, обладая большим замедлением, чем время интервала (0,12 с), удерживают якори притянутыми. Создается цепь 5 для возбуждения интервального реле-счетчика 1А ( цепь а).
До момента включения на светофоре 3 зеленого огня цепь 5 проходит через тыловой контакт реле 3. После возбуждения этого реле цепь 5 проходит через тыловой контакт реле И собственной рельсовой цепи и фронтовой контакт реле Т смежной рельсовой цепи. Путем такого включения контактов проверяется наличие кодового импульса в смежной рельсовой цепи при отсутствии кодового импульса в собственной рельсовой цепи, т. е. асинхронное прохождение кодовых импульсов в смежных рельсовых цепях, что необходимо для контроля короткого замыкания изолирующих стыков.
От второго импульса кода Ж притягивает якорь реле И и замыкает цепь 6 для возбуждения реле 3 и заряда конденсатора СЗ ( цепь б).
При возбужденном состоянии реле Ж и 3 через их фронтовые контакты на светофоре 3 включается зеленый огонь. По окончании приема двух импульсов кода Ж в длинном интервале кодового цикла с замедлением 0,3 с отпускают якоря реле-счетчик 1 и реле В. Реле В выключает реле-счетчик 1А, который с замедлением 0,25 с также отпускает якорь по окончании длинного интервала. При включенных реле-счетчиках 1 и 1А реле Ж получает питание от конденсатора С1, а после выключения этих счетчиков — от конденсатора С2.
Реле 3 возбуждается только при поступлении кода, имеющего не менее двух импульсов в кодовом цикле, что проверяется возбуждением двух реле-счетчиков 1 и 1А. Срабатыванием реле-счетчика 1 фиксируется поступление первого импульса в кодовом цикле, а срабатыванием реле-счетчиках 1А — короткого интервала между импульсами. Вторичным срабатыванием реле И при возбужденных счетчиках 1 и 1А фиксируется поступление второго импульса в кодовом цикле.
При приеме кода с одним импульсом в кодовом цикле (код КЖ) цепь срабатывания реле 3 не замыкается, так как при поступлении первого импульса срабатывает реле-счетчик 1, в длинном интервале срабатывает реле-счетчик 1А, реле И вторично не срабатывает и цепь реле 3 остается разомкнутой фронтовым контактом реле И. В длинном интервале реле-счетчики 1 и 1А отпускают свои якори, поэтому к моменту срабатывания реле И от кодового импульса следующего кодового цикла цепь реле 3 продолжает оставаться разомкнутой.
На все время приема кода Ж у светофора 3 реле 3 возбуждено по цепи, проходящей через фронтовые контакты реле-счетчиков 1 , 1А и реле И, или при выключенных счетчиках за счет разряда конденсатора СЗ. Таким образом, на все время поступления кодовых импульсов кода Ж реле Ж и 3 находятся в возбужденном состоянии и на светофоре 3 горит зеленый огонь.
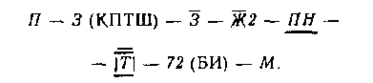
На время горения на светофоре 3 зеленого огня замыкается цепь кодирования кодом 3 рельсовой цепи 5П:
Реле Т работает в режиме кода 3 и посылает этот код в рельсовую цепь 5П. Код 3 состоит из трех кодовых импульсов в кодовом цикле (0,35 с — первый импульс, 0,22 с — второй, 0,22 с — третий). Кодовые импульсы разделены двумя короткими интервалами длительностью 0,12 с каждый; длинный интервал между циклами составляет 0,57 с.
При приеме кода 3 из рельсовой цепи 5П в сигнальной установке светофора 5 в режиме кода 3 работает реле И и своим контактом включает дешифратор.
Дешифратор ДА построен таким образом, что не различает коды Ж и 3, поэтому при приеме кода 3 дешифратор работает так же, как и при приеме кода Ж. От первого импульса кода 3 по кратковременной цепи заряжается конденсатор С1, затем срабатывают реле-счетчик 1 и реле В, С этого момента конденсатор С1 начинает разряжаться на реле Ж и конденсатор С2, В первом коротком интервале возбуждается реле-счетчик 1А. От второго импульса кода возбуждается реле 3 и заряжается конденсатор СЗ. Во втором коротком интервале реле-счетчики не изменяют свое состояние. В третьем импульсе" повторяется заряд конденсатора СЗ и подается питание на реле 3 непосредственно от источника питания. Таким образом, при трехзначной сигнализации код 3 равноценен коду Ж. Через фронтовые контакты реле 3 и Ж на светофоре 5 включается лампа зеленого огня. Одновременно вклчается цепь кодирования рельсовой цепи 7П кодом 3.
Работа автоблокировки при установленном правильной направлении движения.
Состояние цепей, приведенных на схеме(Рис 3), соответствует одностороннему движению поездов в правильном направлении и нахождению поезда на участке ЗП. На сигнальной установке 3 прекратилось поступление кодов, не работает реле И и дешифратор.
Выключаются реле 3, Ж, Ж1, Ж2 и ЖЗ. Через тыловой контакт реле Ж2 образуется цепь включения лампы красного огня на светофоре 3 по основной нити накала с контролем горения лампы огневым реле О. При выключенном
реле Ж2 цепь тока накала красной лампы проходит через нижнюю низкоомную обмотку реле О, что обеспечивает горение лампы. Цепь тока дополнительной нити накаливания лампы проходит через верхнюю высокоомную обмотку реле ОД, чем контролируется целость нити лампы в холодном состоянии.
После включения красного огня на светофоре 3 образуется цепь кодирования кодом КЖ рельсовой цепи 5П:
В режиме кода КЖ работает реле ЛТ в блоке БИ и трансмиттерное реле Т. Переключая свой контакт в цепи трансформатора П, реле Т передает код КЖ в рельсовую цепь 5П.
В случае перегорания основной и дополнительной нитей накаливания лампы красного огня выключаются реле О и ОД. Контактами этих реле размыкается цепь кодирования, что приводит к переносу красного огня на позади стоящий светофор.
При приеме кода КЖ на сигнальной установке 5 в режиме этого кода работает реле И. Импульсная работа реле И расшифровывается дешифратором, и через его выход 42 (БС) срабатывает реле Ж. Через выход . 71 (БС) и фронтовой контакт реле Ж срабатывает реле Ж/, после чего срабатывают повторители реле Ж2 и ЖЗ. По цепи, проходящей через фронтовой контакт реле Ж2 тыловой контакт реле 3, на светофоре 5 включается лампа желтого огня. После включения желтого огня на светофоре 5 образуется цепь кодирования кодом Ж рельсовой цепи 7П:
В режиме кода Ж работает реле ПТ в блоке БИ и трансмиттерное реле Т. Переключая свой контакт в цепи трансформатора П, реле Т передает код Ж в рельсовую цепь 7П. В случае перегорания лампы желтого огня светофора 5 кодирование рельсовой цепи 7/7 не изменяется. В нее поступает код Ж—светофор погасший.
При приеме кода Ж на сигнальной установке 7 в режиме этого кода работает реле И. Импульсная работа реле И расшифровывается дешифратором. Через образовавшиеся выходы дешифратора срабатывают сигнальные реле: через выход 42 (БС) — реле Ж; через выход 71 (БС) — реле Ж1; через выход 41 (БС) — реле З. После этого срабатывают реле-повторители Ж2 и ЖЗ, По цепи, проходящей через фронтовые контакты реле 3 и Ж2, на светофоре 7 включается лампа зеленого огня. После включения зеленого огня на светофоре 7 образуется цепь кодирования кодом 3 рельсовой цепи 9П:
В случае перегорания лампы зеленого огня светофор 7 остается погасшим. Кодирование рельсовой цепи 9П кодом 3 не изменяется, и на позади стоящем светофоре продолжает гореть зеленый огонь.
Кодовая РЦ переменного тока 25 Гц для перегонов.
Работа автоблокировки при переходе на двустороннее движение.
Для перехода на двустороннее движение каждая сигнальная установка имеет дополнительные реле Н, ПН, ДТ, ПДТ, ОИ, ИП и ИП1, а также настроечные перемычки .
Переключают схемы на правильное и неправильное направление движения с помощью двухпроводной схемы изменения направления, в линейную цепь которой включены реле Н. Правильное направление движения устанавливают путем возбуждения реле Н током прямой полярности. При этом реле ПН остаются выключенными и действуют те же цепи, что и при одностороннем правильном направлении движения. Переход на неправильное направление движения осуществляют путем возбуждения реле Н током обратной полярности. Реле Н переключает поляризованный якорь и включает реле ПН. Тыловыми контактами реле ПН отключает цепи разрешающих огней светофоров и цепи кодирования кодами Ж и 3 для правильного направления движения, фронтовым контактом оно замыкает цепь кодирования всех блок-участков кодом КЖ в сторону правильного движения.
Реле ПН включает цепи известительных реле ИП. При свободном состоянии блок-участков каждая рельсовая цепь кодируется кодом КЖ, так как реле Т включено через контакт КЖ (КПТШ). Путем дешифрирования кода КЖ на всех сигнальных установках возбуждены реле Ж, Ж1 и Ж2, чем контролируется свободность рельсовых цепей. С момента вступления поезда, идущего в неправильном направлении, на участок 3П у светофора 3 прекращается прием кода КЖ. Выключаются цепи дешифратора и обесточиваются реле Ж, Ж/ и Ж2. Через тыловые контакты реле Я и Ж возбуждается реле 0И, которое включает цепи кодирования в неправильном направлении движения. Значность кода в зависимости от числа свободных блок-участков, начиная от светофора 3, выбирает реле ИП.
При свободном состоянии не менее двух блок-участков реле ИП возбуждено током прямой полярности. Через нормальный контакт поляризованного якоря реле ИП замыкается цепь кодирования, проходящая через контакт 3 (КПТШ). Реле ДТ и ПДТ, работая в режиме кода 3, передают этот код в рельсовую цепь ЗП,
При свободном состоянии одного блок-участка реле ИП возбуждено током обратной полярности. Через переведенный контакт поляризованного якоря реле ИП замыкается цепь кодирования, проходящая через контакт Ж (КПТШ). Реле ДТ и ПДТ, работая в режиме кода Ж, передают этот код в рельсовую цепь ЗП.
При занятом состоянии блок-участка 5П прекращается кодирование кодом КЖ У светофора 5. Выключаются реле Ж, Ж1 и Ж2. Контактами реле Ж2 размыкается цепь И-ОИ и выключается реле ИП у светофора 3. Тыловым контактом реле ИП замыкается цепь кодирования, проходящая через контакт КЖ (КПТШ). Реле ДТ и ПДТ, работая в режиме кода КЖ, передают этот код в рельсовую цепь ЗП.
В случае выхода поезда на занятый блок-участок прием кодов на локомотиве прекращается и на ЛС загорается красный огонь.
Выключение кодирования происходит после полного освобождения рельсовой цепи. При освобождении, например, рельсовой цепи 5П сначала в рельсовую цепь одновременно с обоих концов поступают коды КЖ, Однако за счет чередования типов трансмиттеров КПТ на сигнальных установках трансмиттерное реле Т у светофора 3 и реле ДТ у светофора 5 работают асинхронно. У светофора 5 в интервале кода КЖ, посылаемого с релейного конца, периодически возбуждается от кода КЖ, посылаемого считающего конца, реле И. По истечении 2—3 с через дешифрирующие цепи включаются реле Ж, Ж1 и Ж2 и выключается реле ОИ, Последнее, отпуская якорь, выключает цепи кодирования, в которые включены реле ДТ и ПДТ. Кодирование с релейного конца прекращается. Кодирование кодом КЖ с питающего конца продолжается, чем контролируется свободное состояние рельсовой цепи.
Работа генератора ГКШ на сигнальных установках и передаваемые им на станцию контрольные коды.
На каждой сигнальной установке двухпутной трехзначной автоблокировки переменного тока генератор ГКШ подключают к линии ДСН Управляют работой ГКШ в сигнальных установках автоблокировки (см. рис. 4) контакты реле: О и ОД — контролируют целость и перегорание основной и дополнительной нитей накала лампы красного огня; А и А1 - контролируют отсутствие соответственно основного и резервного питания переменным током; ДСН - контролируют неисправности цепи двойного снижения напряжения; Ж1 и ОИ — контролируют неисправности работы дешифратора.
















