125270 (690390)
Текст из файла
МИНИСТЕРСТВО ОБРАЗОВАНИЯ И НАУКИ УКРАИНЫ
Национальный аэрокосмический университет им Н.Е. Жуковского
ПРОЕКТИРОВАНИЕ И ИССЛЕДОВАНИЕ МЕХАНИЗМА ДВИГАТЕЛЯ ВНУТРЕННЕГО СГОРАНИЯ
Пояснительная записка к курсовому проекту
Дисциплина – «Теория машин и механизмов»
Харьков 2009
Введение
Среди рычажных механизмов различных типов одним из наиболее распространенных в технике являются кривошипно-ползунные механизмы (КПМ). Они используются в двигателях внутреннего сгорания (ДВС), компрессорах, насосах, ряде станков (например, прессах) и других машинах различного назначения, включая наземные и воздушные транспортные средства.
Поршневые ДВС служат для преобразования теплоты, выделяющейся при сгорании топлива в цилиндрах, в механическую работу. Механизмы одноцилиндровых ДВС имеют сравнительно небольшую мощность
. Они применяются в основном в энергоустановках для привода в движение электрогенераторов, компрессоров, воздуходувных установок, в самоходных шасси, служат для перемещения грузов и т.д.
Одним из эффективных средств повышения мощности ДВС является увеличение числа их цилиндров. Поэтому многоцилиндровые ДВС широко распространены в современной технике. В авиации ДВС сейчас применяются в вертолетах, легких транспортных, спортивных и учебных самолетах.
1. Проектирование кривошипно-ползунного механизма ДВС
1.1 Определение линейных размеров звеньев механизма
Проектирование кинематической схемы кривошипно–ползунного механизма (КПМ) заключается в выборе в соответствии с заданными условиями и требованиями значений линейных размеров кривошипа и шатуна.
Определяем ход поршня:
,
где:
– диаметр поршня.
Запишем ход поршня через длину кривошипа:
Из отношения длины шатуна к радиусу кривошипа
определим длину шатуна:
В качестве начального звена в КПМ выбрано кривошип. Условие существования КПМ:
-
Структурный анализ механизма
Рисунок 1.2.1. Механизм ДВС – кривошипно-шатунный механизм
1.2.1. Определяем число подвижных звеньев:
1.2.2. Подсчет и классификация кинематических пар 5 и 4 класса:
1. (0–1) – НКП, вращательная, 5 класса;
2. (1–2) – НКП, вращательная, 5 класса;
3. (1–4) – НКП, вращательная, 5 класса;
4. (2–3) – НКП, вращательная, 5 класса;
5. (3–0) – НКП, поступательная, 5 класса;
6. (4–5) – НКП, вращательная, 5 класса;
7. (5–0) – НКП, поступательная, 5 класса.
Таким образом,
Определение степени подвижности:
Выделение основного механизма – основной механизм это первое звено и стойка с соединяющей их кинематической парой.
Рисунок 1.2.2. Основной механизм первого класса
Выделение 1-й в порядке наслоения группы Ассура – звено 2–3, 4–5.
Рисунок 1.2.3. Первая в порядке наслоения группа Ассура 2-го класса 2-го вида
Рисунок 1.2.4. Вторая в порядке наслоения группа Ассура 2-го класса 2-го вида
Определение класса механизма в целом. Механизм 2-го класса, так как в его состав входит структурная группа второго класса.
1.3 Кинематический анализ механизма
Метод замкнутых контуров устанавливает связь между геометрическими и кинематическими параметрами механизма и основан на условии замкнутости контуров. В механизмах 2-го класса количество замкнутых контуров равно количеству структурных групп 2-го класса, образующих механизм. Если звенья механизма принять за векторы, то в процессе движения конфигурация векторного многоугольника изменяется, но условие замкнутости сохраняется, т.е. в любом положении механизма геометрическая сумма векторов равна нулю.
Рисунок 1.3.1. Замкнутый векторный многоугольник
Кинематическая схема механизма приведена на рис. 1.3.1. Направляющие ползунов наклонены относительно системы координат
. Целесообразно выбрать новую систему координат
, начало
которой совмещено с осью вращения кривошипа 1, а ось
абсцисс ориентирована параллельно направляющим ползуна 3. Для однозначного определения направляющих углов
и
со звеньями 1 и 2 связываются векторами
. Длину шатуна 2 и положение точки
на шатуне выражено через длину
кривошипа:
Направляющий угол
вектора
:
где:
координаты начала
и конца
вектора
которые выражены в виде соотношений:
После подстановки уравнений
в
имеется:
или
Функция положения точки
ползуна 3 соответствует выражению
Функция положения точки
на шатуне 2
Кинематические передаточные функции получаются путем дифференцирования соотношений
по обобщенной координате
.
Передаточное отношение
угловых скоростей шатуна и кривошипа
или окончательно
Передаточные функции скорости некоторых точек: точки
на ползуне
или окончательно
точки
на шатуне:
Угловое ускорение шатуна 2:
или
Передаточная функция углового ускорения шатуна 2 определяется соотношением
где:
Окончательно получается
Отношение ускорения
к квадрату угловой скорости
точки
на ползуне равно
Действительные значения углового ускорения шатуна 2 и линейного ускорения точки
ползуна 3 соответственно становят:
Следуя методике, изложенной выше, получим
Результаты вычислений для 24 положений кривошипно-ползунного механизма приведены в таблицах ниже
Таблица 1.3.1. Результаты расчетов
| | | | | | | | | |
| 0 | 0 | 14,3 | 0 | 2,9633 | -10 | -1,792 | -144 | 7,8606 |
| 30 | -7,18 | 11,0 | -1,754 | 2,5674 | -8,729 | -6,549 | -114,6 | -69,42 |
| 60 | -12,5 | 4,91 | -2,813 | 1,2173 | -5,121 | -9,431 | -43,21 | -130,6 |
| 90 | -14,5 | -2,49 | -2,88 | -0,623 | 0 | -9,857 | 29,745 | -140,6 |
| 120 | -12,5 | -9,25 | -2,175 | -2,21 | 5,1215 | -7,761 | 71,987 | -93,77 |
| 150 | -7,18 | -13,6 | -1,126 | -2,944 | 8,7287 | -3,519 | 84,907 | -16,91 |
| 180 | 0 | -14,3 | 0 | -2,709 | 10 | 1,7916 | 86,4 | 47,869 |
| 210 | 7,18 | -11,0 | 1,1258 | -1,845 | 8,7287 | 6,5491 | 84,907 | 78,683 |
| 240 | 12,5 | -4,91 | 2,1748 | -0,753 | 5,1215 | 9,4315 | 71,987 | 85,921 |
| 270 | 14,5 | 2,49 | 2,88 | 0,3769 | 0 | 9,8574 | 29,745 | 86,308 |
| 300 | 12,5 | 9,25 | 2,8135 | 1,492 | -5,121 | 7,7613 | -43,21 | 82,728 |
| 330 | 7,18 | 13,6 | 1,7542 | 2,4682 | -8,729 | 3,5187 | -114,6 | 61,896 |
| 360 | 0 | 14,3 | 0 | 2,9633 | -10 | -1,792 | -144 | 7,8606 |
| 390 | -7,18 | 11,0 | -1,754 | 2,5674 | -8,729 | -6,549 | -114,6 | -69,42 |
| 420 | -12,5 | 4,91 | -2,813 | 1,2173 | -5,121 | -9,431 | -43,21 | -130,6 |
| 450 | -14,5 | -2,49 | -2,88 | -0,623 | 0 | -9,857 | 29,745 | -140,6 |
| 480 | -12,5 | -9,25 | -2,175 | -2,21 | 5,1215 | -7,761 | 71,987 | -93,77 |
| 510 | -7,18 | -13,6 | -1,126 | -2,944 | 8,7287 | -3,519 | 84,907 | -16,91 |
| 540 | 0 | -14,3 | 0 | -2,709 | 10 | 1,7916 | 86,4 | 47,869 |
| 570 | 7,18 | -11,0 | 1,1258 | -1,845 | 8,7287 | 6,5491 | 84,907 | 78,683 |
| 600 | 12,5 | -4,91 | 2,1748 | -0,753 | 5,1215 | 9,4315 | 71,987 | 85,921 |
| 630 | 14,5 | 2,49 | 2,88 | 0,3769 | 0 | 9,8574 | 29,745 | 86,308 |
| 660 | 12,5 | 9,25 | 2,8135 | 1,492 | -5,121 | 7,7613 | -43,21 | 82,728 |
| 690 | 7,18 | 13,6 | 1,7542 | 2,4682 | -8,729 | 3,5187 | -114,6 | 61,896 |
| 720 | 0 | 14,3 | 0 | 2,9633 | -10 | -1,792 | -144 | 7,8606 |
Таблица 1.3.2. Результаты расчетов
| | | | | | | |
| 0 | 1,92 | 2,8978 | 124,8 | 76,387 | 0 | -405,6 |
| 30 | 2,2696 | 2,6337 | 111,48 | 93,313 | 191,98 | -303,8 |
| 60 | 2,7721 | 2,0938 | 84,887 | 118,61 | 349,01 | -129,7 |
| 90 | 2,88 | 1,9668 | 77,437 | 123,21 | 413,12 | 65,303 |
| 120 | 2,5735 | 2,4593 | 91,237 | 102,66 | 349,01 | 250,69 |
| 150 | 2,1325 | 2,862 | 102,35 | 78,892 | 191,98 | 383,71 |
| 180 | 1,92 | 2,8137 | 105,6 | 81,111 | 0 | 405,62 |
| 210 | 2,1325 | 2,4236 | 102,35 | 95,849 | -192 | 303,83 |
| 240 | 2,5735 | 2,0196 | 91,237 | 104,2 | -349 | 129,68 |
| 270 | 2,88 | 1,9458 | 77,437 | 105,26 | -413,1 | -65,3 |
| 300 | 2,7721 | 2,2719 | 84,887 | 99,58 | -349 | -250,7 |
| 330 | 2,2696 | 2,7078 | 111,48 | 86,086 | -192 | -383,7 |
| 360 | 1,92 | 2,8978 | 124,8 | 76,387 | 0 | -405,6 |
| 390 | 2,2696 | 2,6337 | 111,48 | 93,313 | 191,98 | -303,8 |
| 420 | 2,7721 | 2,0938 | 84,887 | 118,61 | 349,01 | -129,7 |
| 450 | 2,88 | 1,9668 | 77,437 | 123,21 | 413,12 | 65,303 |
| 480 | 2,5735 | 2,4593 | 91,237 | 102,66 | 349,01 | 250,69 |
| 510 | 2,1325 | 2,862 | 102,35 | 78,892 | 191,98 | 383,71 |
| 540 | 1,92 | 2,8137 | 105,6 | 81,111 | 0 | 405,62 |
| 570 | 2,1325 | 2,4236 | 102,35 | 95,849 | -192 | 303,83 |
| 600 | 2,5735 | 2,0196 | 91,237 | 104,2 | -349 | 129,68 |
| 630 | 2,88 | 1,9458 | 77,437 | 105,26 | -413,1 | -65,3 |
| 660 | 2,7721 | 2,2719 | 84,887 | 99,58 | -349 | -250,7 |
| 690 | 2,2696 | 2,7078 | 111,48 | 86,086 | -192 | -383,7 |
| 720 | 1,92 | 2,8978 | 124,8 | 76,387 | 0 | -405,6 |
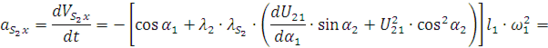
1.4 Силовой расчет механизма при
,
,
и
Характеристики
Тип файла документ
Документы такого типа открываются такими программами, как Microsoft Office Word на компьютерах Windows, Apple Pages на компьютерах Mac, Open Office - бесплатная альтернатива на различных платформах, в том числе Linux. Наиболее простым и современным решением будут Google документы, так как открываются онлайн без скачивания прямо в браузере на любой платформе. Существуют российские качественные аналоги, например от Яндекса.
Будьте внимательны на мобильных устройствах, так как там используются упрощённый функционал даже в официальном приложении от Microsoft, поэтому для просмотра скачивайте PDF-версию. А если нужно редактировать файл, то используйте оригинальный файл.
Файлы такого типа обычно разбиты на страницы, а текст может быть форматированным (жирный, курсив, выбор шрифта, таблицы и т.п.), а также в него можно добавлять изображения. Формат идеально подходит для рефератов, докладов и РПЗ курсовых проектов, которые необходимо распечатать. Кстати перед печатью также сохраняйте файл в PDF, так как принтер может начудить со шрифтами.
















