125270 (690390), страница 4
Текст из файла (страница 4)
Выполним графическое интегрирование построенной диаграммы приведенного момента активных сил в зависимости от угла поворота звена приведения. Для этого на каждом участке отметим середины хорд, которые перенесем на вертикальную ось. Полученные точки на вертикальной оси соединим лучами с полюсом S, взятом на расстоянии от начала координат
.
Возле диаграммы момента строим новые оси. Из точки О новой системы координат проводим прямую параллельную первому лучу перенесенной точки до пересечения ее с вертикалью соответствующего значения угла. Из полученной точки проводим вторую прямую аналогично первой и т.д. Ломаную заменим близкой к ней плавной кривой. В результате получим диаграмму работы момента.
Масштабный коэффициент полученной диаграммы будет равен:
Интегрируя диаграмму приведенного момента сил трения, получим диаграмму работы приведенного момента сил трения. Так как приведенный момент сил трения противоположно направлен угловой скорости, то его работа будет отрицательна. Следовательно, для нахождения полной работы необходимо вычесть из работы движущих сил работу сил трения. Таким образом, получим диаграмму суммарной работы всех активных сил.
Так как за полный цикл установившегося движения изменение кинетической энергии равно нулю то, используя диаграмму суммарной работы активных сил можно сказать, что при условии постоянства момента сил производственного сопротивления диаграмма их работы будет прямой проходящей через начало и конец диаграммы работы движущих сил. Следовательно, проведя эту прямую можно продифференцировав ее определить момент сил производственного сопротивления. Для этого совершим параллельный перенос полученной прямой в точку S, найдя точку пересечения с осью приведенного момента активных сил, определим значение момента производственного сопротивления. Так как момент производственного сопротивления противоположно направлен угловой скорости звена приведения, то отложим найденный отрезок в отрицательном направлении оси приведенного момента активных сил. Проведя горизонтальную прямую через найденную точку, получим диаграмму момента производственного сопротивления. Таким образом, момент производственного сопротивления будет равен:
Мощность двигателя будет равна:
Изменение кинетической энергии за полный цикл установившегося движения определим как разность между диаграммой работы приведенного момента активных сил и диаграммой работы момента производственного сопротивления.
1.7 Определение момента инерции маховика
Для определения момента инерции махового колеса необходимо построить диаграмму
для одного полного цикла времени установившегося движения механизма, при этом достаточно знать только изменение кинетической энергии и изменение приведенного момента инерции. Построим диаграмму приведенного момента инерции механизма повернутую на
(т.е. ортогонально диаграмме кинетической энергии). Далее проводя проекционные прямые двух диаграмм до их точек пересечения и соединяя полученные точки плавной кривой, получаем участок диаграммы для установившегося движения механизма.
Для определения величины
приведенного момента инерции маховика воспользуемся следующими формулами:
где:
– средняя угловая скорость звена приведения;
– коэффициент неравномерности вращения кривошипа (звена приведения основного механизма),
Подставляя данные значения для
и
определим углы
и
:
Далее проведем одну касательную к диаграмме под углом
, а другую – под углом
и определим их точки пересечения с осью
(точки K и L). Используя длину найденного отрезка, определим момент инерции маховика.
1.8 Определение механического КПД
Механический коэффициент полезного действия (КПД) – это отношение абсолютного значения работы сил полезного сопротивления к работе движущих сил, определенных за время, равное или кратное периоду установившегося движения:
Механический КПД характеризует относительную величину энергии, используемую в машине по прямому назначению. Он является основным показателем механического совершенства машин.
2. Синтез оптимальных чисел зубьев и кинематический анализ механизма
Для синтеза планетарного механизма по схеме А+II, с заданным передаточным отношением и
, включающего в свой состав 3 сателлита, необходимо определить количество чисел зубьев зубчатых колес обеспечивающее безотказную работу механизма.
Передаточное отношение
, раскладывается на две составляющих;
передаточное отношение первой ступени;
передаточное отношение второй ступени.
Общее передаточное отношение определяется следующим образом:
Определение передаточное отношения
:
Для выполнения синтеза планетарного механизма необходимо определить числа зубьев всех колес, а также выбрать модули зубчатых колес. При этом требуется, чтобы были выполнены условия сборки, соосности и соседства для данного количества сателлитов и выбранного числа зубьев.
Так как для механизма II с заданным числом сателлитов
передаточное отношение может быть реализовано в пределах
, то выбирается передаточное отношение
.
Определение возможные значения,
с использованием графиков приложения [5] для данной схемы. Откуда
, выбрано
.
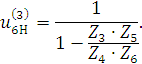
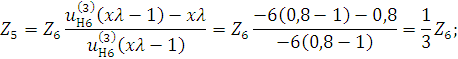
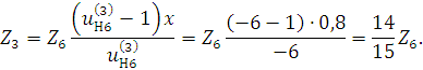
Для определения числа зубьев планетарного механизма применяются генеральные уравнения, при этом
Из полученных соотношений видно, что число зубьев шестого колеса должно быть кратно 3, 9, и 15 (наименьшее общее кратное 45), при этом необходимо учесть, что число зубьев зубчатых колес должно быть не меньше 18. Возможные комбинации чисел зубьев колес планетарного механизма для данного передаточного отношения определены в таблице 3.1.
Таблица 7.1. Возможные числа зубьев зубчатых колес
| | | | |
| 45 | 15 | 12 | 42 |
| 90 | 30 | 24 | 84 |
| 135 | 45 | 36 | 126 |
| 180 | 60 | 48 | 168 |
Окончательно выбрано
Определение диаметров зубчатых колес
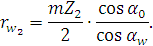
Определение передаточного отношения первой ступени
Следовательно выбрано
тогда диаметры колес равны:
Проверка необходимых условий
условие соосности:
условие соседства
условие сборки
где:
произвольные целые числа, такие, что
число сателлитов планетарного механизма;
отношение количества зубьев четвертого колеса к третьему;
отношение модулей зубчатых колес первой ступени к второй.
3. Исследование качественных характеристик внешнего эвольвентного зацепления
Зубчатые передачи являются наиболее распространенным видом механических передач. В зависимости от условий эксплуатации при проектировании зубчатых передач учитываются различные факторы, влияющие на повышение их прочности, надежности и износостойкости. Широко распространенным методом улучшения эксплуатационных качеств и расширения конструктивных возможностей зубчатых передач является смещение режущего инструмента при их изготовлении.
При проведении геометрического расчета взято во внимание, что зубчатые колеса эвольвентные цилиндрические прямозубые, нарезаны стандартным реечным инструментом.
Геометрический расчет зубчатой передачи с учетом выбранных коэффициентов смещения
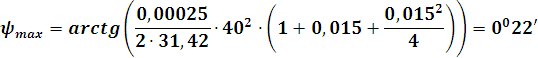
Определение угла эксплуатационного зацепления
:
Определение коэффициента воспринимаемого смещения
:
Определение коэффициента уравнительного смещения
Определение величины радиального зазора С:
Определение межосевого расстояния
:
Определение радиусов делительных окружностей
:
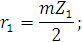
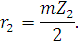
Определение радиусов основных окружностей
:
Определение радиусов начальных окружностей
:
Определение радиусов окружностей вершин
:
Определение радиусов окружностей впадин
:
Определение толщины зубьев
по делительным окружностям:
Определение шага зацепления по делительной окружности:
Определение коэффициента перекрытия:
Так как рабочие участки профилей зубьев перекатываются друг по другу со скольжением, то на этих участках возникают силы трения и происходит процесс изнашивания. Характеристикой вредного влияния скольжения являются коэффициенты
относительного скольжения, которые определяются по формулам:
















