FARMA (651302)
Текст из файла
ОМСКИЙ ГОСУДАРСТВЕННЫЙ ИНСТИТУТ ВЕТЕРИНАРНОЙ МЕДИЦИНЫ
Контрольная работа
по Ветеринарной фармакологии
Выполнил:
Студент заочного факультета
4-го курса , I группы, шифр-94111
Алтухов М.А. IV вариант
Проверил_________________
Омск 1998 г.
1. Общий принцип химиотерапии. Особенности действия и применения антибиотиков группы пенициллина и стрептомицина. Осложнения, возникающие при неправильном применении антибиотиков указанных групп; их профилактика.
.Термин «химиотерапия» (спето—химия, terapia—лечение) введен П. Эрлихом, применявшим для лечения инфекционных и прото-зойных болезней химические вещества точного химического строения (органические краски и др.). В современном представлении любое лекарственное вещество имеет точное химическое строение, и действие его обусловлено определенными химическими или физическими процессами. Термин «химиотерапия» теперь употребляют для выражения дей-
ствия лекарственных веществ на возбудителей заразных заболеваний, находящихся в организме животных.
Избирательное химиотерапевтическое влияние происходит чаще всего потому, что препарат адсорбируется в возбудителе в количествах, более значительных, чем в тканях животного, или нарушает такие процессы метаболизма, которые крайне необходимы для жизни возбудителя и не имеют существенного значения для макроорганизма. Чем выше доза лекарственного вещества, тем ярче проявляется его химиотерапевтический эффект. Но большинство этих препаратов в какой-то мере неблагоприятно влияет на животных, а отрицательное действие их тем слабее, чем меньше доза вещества. Чтобы правильно выбрать дозу, обеспечивающую надежное лечебное действие и не оказывающую токсического влияния, нужно применять препараты с высоким химиотерапевтическим индексом (соотношение доз максимальных переносимых и минимальных лечебных). В ветеринарии при заразных заболеваниях лекарственные вещества применяют и для профилактики.
АНТИБИОТИКИ
Антибиотики—специфические продукты жизнедеятельности микроорганизмов, животных и растений, обладающие противомикробным действием. Кроме того, известно, что некоторые из них действуют губительно на гельминтов, простейших и других возбудителей болезней человека и животных. Название «антибиотики» (anti—против, bios— жизнь) дано тогда, когда было известно губительное влияние их только на возбудителей болезней. Позже выяснено, что многие антибиотики стимулируют отдельные биохимические процессы в организме животных, а это ведет к улучшению общего их состояния, ускорению роста, повышению продуктивности, активизации защитных реакций
Несмотря на большую специфичность, антибиотики действуют по общим фармакологическим законам, они очень эффективны, но только при четком выполнении разработанных условий. Если условия не соблюдают, то антибиотики малоэффективны, а в некоторых случаях могут причинить и вред.
Термин «антибиотики» был принят в 1942 г., но этому предшествовали большие и сложные исследования. Один из первых отечественных ученых Н. Н. Благовещенский еще в 1890 г. предложил использовать продукты жизнедеятельности синегнойной палочки для подавления сибиреязвенных бактерий в организме животных. К этому времени представление об антибиотических веществах у отдельных микробов было бесспорным, и Р. Эммерих предпринял попытки получить эти вещества. Ему удалось выделить из синегнойной палочки пиоцианазу (1889 г.). Почти одновременно Н. Ф. Гамалея выделил из того же микроорганизма пиокластин.
Разные антибиотики неодинаково действуют на различные микроорганизмы, неодинаково влияет каждый из них и на макроорганизм.
Общие закономерности химиотерапевтического и химиопрофилак-тического действия антибиотиков. Основными причинами широкого использования их являются: 1) специфический механизм действия; 2) широкий и четко выраженный спектр противомикробного действия и нейтрализации токсинов; 3) эффективность в очень малых дозах; 4) сохранение активности в условиях макроорганизма; 5) ярко выраженное и быстро проявляющее лечебное и профилактическое действие; 6) очень низкая токсичность для животных.
Во многих случаях антибиотики нарушают структурные образования клеток (чаще всего это касается мембран возбудителей или орга-нелл). Пенициллин препятствует образованию оболочки микробной клетки и тем самым резко дезорганизует основные жизненные процессы всей клетки
Одним из основных видов противомикробного действия антибиотиков является ингибирование ферментов. Исследования показывают, что наиболее часто антибиотики тормозят ферментные реакции и несколько реже препятствуют образованию самих ферментов, но, кроме того, наблюдается и то и другое влияние. Чаще всего подавляется активность оксидаз, фосфоролидаз, редуктаз, то есть таких ферментов, которые совершенно необходимы для метаболизма большого числа бактерий, особенно патогенных.
В механизме противомикробного действия антибиотиков (так же, как и сульфаниламидов) большое значение имеет имитация по принципу стереоизометрии. Доказательством может служить высокая бактерицидность пенициллина с наличием в нем диметилцистеина правой конфигурации; в отличие от этого пенициллин синтезированный, содержащий диметилцистеин левой конфигурации, не действует противомикробно.
Важную роль в действии антибиотиков играет появление значительного количества антиметаболитов; часто наблюдается ослабление функций метальных групп, а все процессы метилирования, как известно, являются важнейшими в жизнедеятельности живого вещества, и нарушение их ведет к гибели микроба.
Избирательная адсорбция большого количества антибиотиков сопровождается значительными морфологическими, электронными и тинториальными изменениями мембраны клеток. Изменяются и другие жизненно важные свойства ее, что ведет к ослаблению эндогенного дыхания и способности нейтрализовать даже такие слабые яды, как органические кислоты, антивитамины и др.
Каждый антибиотик действует на большую группу грамположи-тельных или грамотрицательных бактерий (а многие из них действуют на грамположительные и грамотрицательные). Антибиотики с таким широким спектром противомикробного действия эффективны при многих заболеваниях органов пищеварения и дыхания, матки и вымени, а также при травматических повреждениях.
Но химиотерапевтическая активность антибиотиков сильно варьирует в зависимости от многих условий. Поэтому, прежде чем назначить лечение животным, нужно определить чувствительность возбудителя болезни к антибиотикам. Это позволит значительно повысить эффективность антибиотикотерапии и антибиотикопрофилактики.
Чувствительность микроорганизмов к антибиотикам определяют по минимальной концентрации препарата, подавляющей рост микробов в точно определенных условиях. Она часто бывает неодинаковой у различных штаммов, у разных колоний одного штамма и даже у отдельных особей популяции.
Химиотерапевтические дозы и концентрации. Важным преимуществом антибиотиков по сравнению с другими химио-терапевтическими средствами является высокая активность их в очень малых концентрациях. Например, для подавления роста гемолитиче-ского стрептококка требуется концентрация фенола 1:800. При таких же условиях противомикробная концентрация стрептоцида меньше в 250 раз (1:200000), а пенициллина—в 100000 раз (1:80000000). Такие небольшие концентрации антибиотика можно легко создать в органах животного, поэтому лечебные дозы этих препаратов очень низкие (в микрограммах), а лечебный эффект высокий.
Антибиотики дозируют из расчета на 1 кг массы животного и только иногда на животное в целом. В зависимости от путей введения дозы рассчитывают следующим образом: при введении антибиотика через рот доза его в 2—4 раза больше, чем при внутримышечном или подкожном введении, а при внутримышечном—доза в 1,5—2 раза больше, чем при внутривенном. Доза антибиотика зависит от вида болезни и тяжести ее течения; например, при сепсисе вводят максимальные дозы вещества и по возможности внутривенно. Одному и тому же животному в зависимости от общего состояния его назначают разные дозы антибиотика; слабым животным обычно вводят '/2 или 1/3 обычной дозы. Дозы зависят от закономерностей распределения антибиотиков в тканях и (значительное повышение химиотерапевтического эффекта), а при неправильной—антагонизм (ослабление эффекта).
В силу комплексного влияния антибиотиков на возбудителя, токсины и макроорганизм они имеют ряд преимуществ перед другими веществами. Антибиотики излечивают живогных при многих заболеваниях, которые раньше были неизлечимы, а при заболеваниях, излечиваемых другими средствами, они намного больше сокращают сроки общего выздоровления.
Динамика распределения разных антибиотиков несколько различна. Например, после их внутримышечного введения в терапевтических дозах окситетрациклин хорошо проникает в кровь и многие органы; олеандомицин также хорошо проникает в кровь и органы, но он слабее адсорбируется и быстрее выводится; в отличие от этих веществ моно-мицин не обнаруживается в большинстве органов, но бывает в больших количествах в почках и легких.
В течение первого часа антибиотики распределяются наиболее равномерно в разных органах, а затем для большинства их характерно скопление в наиболее высоких концентрациях в органах выделения (почки), в печени, сердце, легких, стенке желудка и кишечника и несколько меньше в поперечнополосатой мускулатуре.
Выделение антибиотиков начинается почти сразу же после появления их в крови, а в дальнейшем оно все больше и больше возрастает (опять-таки по мере увеличения концентрации антибиотика в организме). Высокий темп выделения сохраняется, пока основная масса вещества не будет выведена. Следы антибиотиков (концентрации в 5—160 раз меньше терапевтических) сохраняются в большинстве тканей животного от нескольких часов до 2—4 сут.
Основные преимущества антибиотиков следующие: 1) наиболее выраженный и наиболее устойчивый ростостимулирующий эффект; 2) положительное влияние на общее состояние, развитие и резистентность животных; 3) улучшение течения беременности и развития плода; 4) сохранение качества мяса; 5) низкая стоимость препаратов и возможность получения их в неограниченных количествах; 6) стойкость препаратов при хранении и доступные методы массового применения их. Однако антибиотики положительно влияют только в том случае, если учитывают все условия, обеспечивающие высокую их эффективность.
П
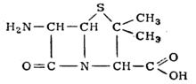
енициллины— органические кислоты, имеющие в своей основе тиазолидиновое ядро (7) и р-лактамовое кольцо (2) с открытой аминогруппой в шестом положении (3). Один из водородов аминогруппы через группу СО замещается радикалом разного строения {4): пен-тенилом (СНз-СНа-СН; CH-CI-^-), гептилом [СНз(СН2)5СНг=], оксибензилом (HO-QH4CH2==) и Др. Наибольшее практическое значение имеет пенициллин, у которого радикал замещен бензилом (СбНвСНг^), а получаемый препарат называется бензилпеницил-л ином.
Бензилпенициллин продуцируется зелеными плесенями — PenicH-linurn.
Пенициллин, как кислота, нестойкий, легко разрушается и действует кратковременно. Для устранения этих недостатков его переводят в соли (натриевую и калиевую). Для пролонгирования действия солей пенициллина готовят комплексные препараты с новокаином, а для расширения спектра действия—с экмолином.
Активность пенициллина зависит от серии и способа очистки препарата. Поэтому его дозируют в единицах действия. 1 ЕД соответствует 0,5988 мкг химически чистой натриевой соли бензилпеницил-лина. В форме порошка пенициллин не влияет антимикробно, он активен только в растворах. Более того, микробы (даже чувствительные к пенициллину) могут длительно находиться в порошке пенициллина, не снижая своей вирулентности. Хранят пенициллин во флаконах фабричной упаковки. Стерилизовать раствор нельзя, так как это разрушает пенициллин. Хороший растворитель пенициллина — изотонический раствор натрия хлорида (0,9%-ный) на дистиллированной воде. Раствор пенициллина лучше всего сохранять при рН 6—6,5.
Механизм противомикробного действия пенициллина при разных условиях неодинаков. На первый план выступает нарушение синтеза ацетилмурамовой кислоты — составной части мукопептида. Муко-пептид необходим для стенки бактериальной клетки, и недостаток его нарушает способность клетки ассимилировать аминокислоты и многие другие необходимые ей вещества. У таких клеток нарушается способность делиться; образуются крупные формы бактерий, очень неустойчивые и легко лизирующиеся.
Учитывая, что активность пенициллина значительно выше in vivo, чем in vitro, вполне возможно допустить, что важным звеном его противомикробного влияния является создание условий в организме, неблагоприятных для микробов, и повышение устойчивости животных. Поэтому антимикробное действие его бывает неодинаковым и зависит от условий, в которых находится животное. В частности, недостаток белков в корме и нарушение протеолитических процессов в организме снижают лечебную эффективность пенициллина.
Пенициллин легко резорбируется после инъекции внутримы-шечно или под кожу. В пищеварительном тракте он всасывается только в кишечнике, но значение в этом отношении имеет только тонкий отдел, так как в толстом он разлагается пенициллиназой, вырабатываемой сапрофитной грамотрицательной микрофлорой. После резорбции он быстро распространяется по всему организму и скоро разрушается или выделяется (с мочой или желчью). Разные препараты имеют неодинаковую скорость выведения.
Реакция животных разных видов на пенициллин очень сходная. Наиболее чувствительны молодые животные; реакция утомленных животных, особенно в жаркое время, сильнее выражена. Пенициллин с успехом применяют с лечебной и профилактической целью при роже свиней, мыте лошадей, крупозной пневмонии лошадей, плевропневмонии крупного рогатого скота, при заболеваниях органов дыхания у свиней, при лептоспирозах, некробациллезах, пастереллезах, инфекционных бронхопневмониях, эмфизематозном карбункуле, злокачественном отеке, актиномикозе, актинобациллезе, сибирской язве, стахиботриотоксикозе. Пенициллин благоприятно влияет при инфекционном стоматите кроликов, дифтерии кур, чуме собак, желудочно-кишечных инфекциях молодняка, при маститах и др.
Характеристики
Тип файла документ
Документы такого типа открываются такими программами, как Microsoft Office Word на компьютерах Windows, Apple Pages на компьютерах Mac, Open Office - бесплатная альтернатива на различных платформах, в том числе Linux. Наиболее простым и современным решением будут Google документы, так как открываются онлайн без скачивания прямо в браузере на любой платформе. Существуют российские качественные аналоги, например от Яндекса.
Будьте внимательны на мобильных устройствах, так как там используются упрощённый функционал даже в официальном приложении от Microsoft, поэтому для просмотра скачивайте PDF-версию. А если нужно редактировать файл, то используйте оригинальный файл.
Файлы такого типа обычно разбиты на страницы, а текст может быть форматированным (жирный, курсив, выбор шрифта, таблицы и т.п.), а также в него можно добавлять изображения. Формат идеально подходит для рефератов, докладов и РПЗ курсовых проектов, которые необходимо распечатать. Кстати перед печатью также сохраняйте файл в PDF, так как принтер может начудить со шрифтами.
















