FARMA (651302), страница 3
Текст из файла (страница 3)
Т
естостерона пропионат—Testosteroni propionas. Андростен-4-ол-17р-он-3-пропионат. Синтетический препарат, обладающий биологическими и лечебными свойствами естественного мужского полового гормона тестостерона. Он в 2—3 раза активнее метилтестостерона и обладает более продолжительным действием. Тестостерона пропионат назначают самцам при тех же показаниях, что и метилтестостерон: при половом недоразвитии, при сосудистых и нервных расстройствах. Применение препарата при соответствующих показаниях и в соответствующих дозах приводит к усилению половой функции, стимулированию роста недоразвитых половых органов, развитию вторичных половых признаков. Препарат рекомендуют также самцам при импотенции вследствие переутомления, а женским особям при метритах и вагинитах. Назначают внутрь в дозах: коровам 0,04—0,08 г; собакам 0,005—0,01 г.
Из андрогенов заслуживают внимания также тестостерон энантат, тестэнат и тестобромлецит.
Анаболитичейкие стероидные вещества по строению близки к кортикостероидам и андрогенам. По действию они ближе всего стоят к тестостерону, но имеют сильно выраженную анаболитическую активность. Ценное в действии этих веществ — активизация синтеза пластического белка и более высокое усвоение азота. Такого рода действие сочетается с улучшением использования серы, фосфора и калия.
У истощенных животных это сопровождается восстановлением мускулатуры, кальцификацией остопорозных костей и увеличением общей живой массы. Попытки использовать эти вещества для откорма здоровых животных пока не увенчались успехом. Анаболитические стероиды рекомендуют применять при исхудании животных, слабости и нарушениях протеолиза. Действие препаратов в какой-то форме связано со значительным изменением функции печени. Поэтому при заболеваниях пе чени их не применяют.
3. Механизм действия кальция пангамата, аскорбиновой кислоты и флавоноидов. Практическое использование этих веществ.
Коферменты рибофлавина имеют большое значение в регулировании обмена веществ: одни из них осуществляют окислительное дезами-нирование аминокислот, другие принимают участие в их синтезе.
Рибофлавин считается веществом, регулирующим уровень сахара в организме. Так же, как тиамин и никотиновая кислота, он необходим для окисления молочной кислоты вначале в пировиноградную, а затем -в углекислоту. Он участвует и в азотистом обмене, так как большинство донаторов водорода окисляется при помощи ферментов, образованных рибофлавином. Очень важное действие рибофлавина — улучшение использования в организме животных таких аминокислот, как триптофан, гистидин, фенилаланин и треонин. Превращение таких аминокислот, как гликокол, цистин, тирозин, возможно только с участием рибофлавина. При недостатке рибофлавина или при инактивации его не только нарушается использование этих кислот, но и образуются весьма ядовитые вещества из них.
Данные о комплексных соединениях рибофлавина в организме дают основание считать, что он принимает участие в образовании дыхательных ферментов. В результате у животных улучшается обмен веществ и нормализуется функциональная деятельность центральной нервной системы, рецепторного аппарата сосудистой системы (особенно капилляров), секреторных желез желудка и кишечника: печени, кожи и слизистых оболочек, зрительного пурпура и др. ^ Применяют рибофлавин с профилактической и лечебной целью при состояниях гипорибофлавиноза, для стимуляции роста и продуктивности животных, для активизации окислительно-восстановительных реакций, клеточного дыхания, синтеза белков и жиров, для улучшения регулирующего влияния нервной системы, стимуляции гемопоэза, повышения защитной роли печени, кожи и слизистых оболочек.
Д
ля лечения больных животных лучше всего использовать корма, богатые данным витамином, для профилактики применяют премиксы с рибофлавином.
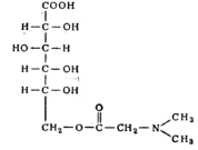
Кальция пангамат (витамин B15) — Calcii pangamas. Кислота его имеет следующую формулу:
Белый аморфный порошок характерного аминного запаха и горь-кого вкуса, хорошо растворимый в воде (1 : 1), нерастворимый в спир-те, эфире и ацетоне. Разрушается в щелочной среде. Термоустойчив.
В выпускаемом препарате имеется не менее ои"/о пангамата каль-ция,рколо 30% глюконата кальция и не более 8,5% воды.
Наиболее характерным для кальция пангамата является метилирующее влияние, активизация окислительных процессов и повышение детоксицирующих реакций в организме.
Одно из интересных свойств кальция пангамата' его способность передавать метальные радикалы другим молекулам. Дело в том, что пангамат кальция может образовывать многометильные соединения, которые, в свою очередь, могут являться метильным донатором в биосинтезе многих важных для организма соединений. Наиболее полно изучено участие его в биосинтезе креатина: окисляясь в присутствии аденозинфосфорной кислоты и неорганического фосфора, он передает метильную группу на непосредственного предшественника креатина — гуанидинуксусную кислоту; в этих же направлениях он влияет в биосинтезе холина, метионина, адреналина, стеринов и стероидных гормонов.
Поступление в организм соединений с подвижными метильными группами предотвращает жировую инфильтрацию печени. И здесь пангамат кальция действует так же активно, как метионин, холин, бетаин, фолиевая кислота и цианкобаламин. Кроме того, он активизирует ферменты дыхания Кребса, благодаря чему восстанавливается нарушенная обменная активность миокарда. Пангамат кальция благоприятно влияет при ишемии миокарда. Улучшая кислородный обмен в организме, препарат действует весьма благоприятно при многих гипокси-ческих и аноксических состояниях организма, ревмокардите, ишемии миокарда, аритмиях сердечных сокращений, цианозах, усиливает биосинтез холина, а через него и ацетилхолина.
Пангамат кальция уменьшает содержание молочной кислоты в мышцах и увеличивает йодное число липидов. При подкожном введении кальция пангамата вызывает кратковременную лейкопению, а затем умеренный лейкоцитоз. В медицинской клинике он показан при атеросклерозе и склерозе коронарных сосудов, при миокардитах, облитерирующем атеросклерозе ног,, легкой форме диабета, при разных формах коронарной недостаточности, при ревматизме, гепатитах, циррозах печени, при спазмах сосудов мозга, эри-тремиях.
Весьма существенно детоксицирующее влияние соединений кальция пангамата. Они действуют благоприятно при отравлениях наркотиками, салицилатами, карбахолином, кортизоном, четыреххлористым углеродом, дихлорэтаном, антибиотиками тетрациклинового ряда и др. Полагают, что такое влияние их связано с метилирующей способностью и активизацией окислительных процессов в организме.
В животноводстве препарат назначают для ослабления токсических симптомов при отравлениях наркотиками, четыреххлористым углеродом, тетрациклиновыми антибиотиками, кортикостероидами, как лечебное средство при хронических гепатитах и начальных стадиях цирроза печени; при разных формах ослабления активности сердечной мышцы; при гипоксических состояниях организма животных; при за- болеваниях, сопровождающихся нарушением липидного обмена и усвое-ния кислорода тканями.
Кальция пангамат применяют внутрь и под кожу в дозах (ориентировочно): 1—3 мг/кг. Действие его проявляется медленно, препарат назначают длительно (10—20 дней).
В чистом виде аскорбиновая кислота — бесцветные кристаллы или белый кристаллический порошок без запаха, кислого вкуса, растворяется в воде (при 0°С—13,6%, при 24°—22,4%, при 50°—38,2%, при 100°С—57,5%). Термостабильна, устойчива при хранении. Водные ее растворы можно хранить только в ампулах, так как она легко окисляется в присутствии воздуха. Сохраняется она только в кислой среде, а в щелочной быстро разрушается. Несовместима с перекисью водорода, калия перманганатом и другими окислителями, а также с йодом, карбонатами и гидрокарбонатами, с препаратами серебра.
В основе фармакологической активности аскорбиновой кислоты лежит способность ее к окислительно-восстановительным реакциям в органическом субстрате. Окисление может протекать как обратимое и как необратимое. В первом случае она окисляется до дегидроаскорби-новой кислоты (ДАК), из которой восстанавливается в свое исходное состояние. Если кислота окисляется в 2,3-дикетогулоновую кислоту, то этот процесс уже является необратимым, так как дикетогулоновая кислота превращается в фурфурол и 002.
Аскорбиновая кислота принимает участие в таких жизненно важных процессах, как превращение нуклеиновых кислот, окисление тирозина, влияет на образование коллагена и близких к нему веществ, входящих в состав основного промежуточного вещества эндотелия сосудов, а также ретикулярной и соединительной ткани, хряща, кости, дентина.
Отмечено, что дифференцирование и созревание фибробластов и остеобластов осуществляются обязательно с участием аскорбиновой кислоты. Способствуя образованию коллагена и его разновидностей, аскорбиновая кислота обеспечивает целостность и функциональную активность сосудов. Весьма благоприятно влияние аскорбиновой кислоты на адренергические нервы и на ретикулоэндотелиальную системуПод влиянием аскорбиновой кислоты существенно повышается активность ретикулоэндотелиальной системы; фагоцитарная активность ее возрастает в несколько раз. Положительное влияние аскорбиновой кислоты зависит от степени и стадии воспалительного процесса. Она особенно полезна тогда, когда процесс только начинается и нет еще таких признаков, как отек и повышение температуры.
Аскорбиновая кислота влияет на углеводный и белковый обмен веществ. Влияние на углеводный обмен, как полагают, осуществляется через вегетативную иннервацию. Наиболее характерно для ее действия снижение гликогена в печени и мышцах, а также выравнивание уровня пировиноградной кислоты в крови.
Оказывая прямое влияние на отдельные процессы белкового обмена веществ, аскорбиновая кислота, в частности, регулирует интерме-диарный обмен тирозина и фенилаланина, выравнивает уровень поли-пептидов крови. Полностью установить механизм этого действия пока не удалось, но доказано, что аскорбиновая кислота влияет на уровень каталазы и глютатиона крови, усиливает действие катепсина. Кроме того, она повышает расщепление аргинина, активизирует энтеразу печени, ускоряет образование каталазы крови.
Ценной стороной фармакодинамики аскорбиновой кислоты является стабилизация сульфгидрильных групп некоторых ферментов, без нарушения их основных свойств.
Аскорбиновая кислота умеренно, но на длительный срок повышает устойчивость животных ко многим ядам как эндогенного, так и экзогенного происхождения. Например, смертельные дозы новарсенола для кроликов должны быть в 1,5 раза больше, если за 30 мин до этого животным ввести аскорбиновую кислоту. В противоположность при С-витаминных недостаточностях они почти в 2 раза меньше, чем для здоровых животных. По данным клинических исследований, аскорбиновая кислота снижает токсичность не только мышьяковых препаратов, но и соединений свинца, фенолов.
Избыток аскорбиновой кислоты в корме не сказывается отрицательно на животном. Токсические дозы при внутреннем введении в 20—50 раз больше терапевтических.
Аскорбиновую кислоту применяют для поддержания нормального обмена веществ, в частности при отклонениях протеолитических и гликолитических процессов; для активации коллагенобразования в сосудистой и костной системах; при ревматических процессах в центральной нервной системе, сердце, поперечнополосатой мускулатуре; для повышения резистентности организма и профилактики при инфекционных заболеваниях; при гипофункции надпочечников и гипофиза; гипохромных анемиях (для улучшения усвоения железа)'; в качестве вспомогательного противоядия при отравлении тяжелыми металлами, (в том числе и ртутью), барбитуратами, алкоголем, для улучшения заживания ран, ускорения восстановления поврежденной роговицы, для понижения порозности сосудов, при хронических нефритах и плевритах Дозы внутривенно: коровам 0,5—2,0 г; лошадям 0,5—1,5; собакам 0,03—0,08 г. Дозы внутрь: коровам 0,7—4,0 г; овцам 0,2—1,0; свиньям 0,3—0,6; собакам 0,07—0,2; лисицам и песцам 0,05—0,1; соболям и норкам 0,005—0,05 г.
4. Сравнительная оценка средств, применяемых при пироплазмозе у лошадей. Спектр действия, эффективность, лекарственная форма, способ введения, токсичность.
Вопрос 3
Азидин—Azidinurn. Легкий, аморфный порошок желтого цвета, горького вкуса. Легко растворяется в воде. Водные растворы (рН 6—6,5) устойчивы. Хранят по списку Б, в закрытых банках. Обладает выраженным химиотерапевтическим действием при бабезиозе, пироплазмозе и франсаиеллезе крупного рогатого скота и пироплазмидо-зах овец. При профилактике бабезиоза и пироплазмоза его действие длится 10—15 дней, а франсаиеллеза и смешанной инвазии (пироплазмоза и франсаиеллеза) только в инкубационный период.
Применяют подкожно и внутримышечно однократно в форме 7%-ного водного раствора (приготовленного перед употреблением). Дозы на 1 кг массы животного: с лечебной целью 0,003—0,0035 г, повторно (если необходимо) вводят в той же дозе через сутки; с профи-лактической целью 0,0015—0,002 г один раз в 10—15 дней.
















