179271 (628148), страница 2
Текст из файла (страница 2)
Потребление продуктов питания учитывается в натуральных единицах и по стоимости.
Натуральные показатели вычисляются в среднем на душу населения или в среднем на потребительскую единицу.
К стоимостным показателям относятся стоимость питания в домашних хозяйствах, которая состоит из денежных расходов на покупку продуктов, предназначенных для личного потребления внутри домашнего хозяйства, расходов на питание вне дома и стоимость натуральных поступлений продуктов питания. Кроме того, используются структурные показатели, отражающие долю расходов на питание в потребительских расходах, структуру расходов по видам продуктов питания, и показатели, характеризующие качество питания: его калорийность и содержание белков, жиров и углеводов в потребленных продуктах.
Важным показателем является уровень индивидуального потребления как средний размер потребления на душу населения. Он рассчитывается в виде отношения годового объема потребленных товаров по видам к средней годовой численности населения как в целом, так и по отдельным его социальным группам, группам по доходу, возрасту, характеру занятий, другим признакам (полу, природно-климатическим и социальным условиям).
Помимо потребления товаров и услуг на душу населения применяется расчет и на условную потребительскую единицу, или на эквивалентного потребителя. В качестве таковой признано потребление взрослого мужчины, занятого механизированным трудом. По отношению к нему разработана шкала коэффициентов потребления продовольственных товаров.
Изучение потребления непродовольственных товаров по программе выборки бюджетов домашних хозяйств осуществляется по следующим видам: расходы на одежду, белье, обувь, ткани, мебель и предметы домашнего обихода, товары культурно-бытового назначения, транспортные средства, гигиенические, парфюмерные и фармацевтические средства, табачные изделия, строительные материалы и другие непродовольственные товары. Натуральные показатели потребления вычисляются по потреблению обуви и тканей. По остальным непродовольственным товарам рассчитываются лишь стоимостные показатели, а также структура потребления. В приложении 1 приведены данные структуры потребительских расходов и расходов на конечное потребление домашних хозяйств по Архангельской области.
«К товарам недлительного пользования относятся, например, одежда, обувь, ткани, чулочно-носочные изделия – нормативный срок их службы установлен до трех лет. К товарам однократного пользования относятся продукты питания.
Товарами длительного пользования считаются предметы сроком службы в три и более лет. Для ряда товаров длительного пользования, используемых, как правило, совместно членами домохозяйства, средний уровень потребления преимущественно рассчитывается на домохозяйство. Это показатели обеспеченности населения соответствующими предметами. Их расчет ведется в натуральных единицах (на домохозяйство, на 100, на 1000 домохозяйств или на 10000 человек). Обеспеченность понимается как степень распространенности данных товаров в личном пользовании граждан. Такого рода показатели лишь косвенно характеризуют потребление».6
Годовое потребление предметов длительного и недлительного пользования представляет собой стоимостное выражение годового износа предметов.
Потребляемые населением товары удовлетворяют различные потребности. По степени их значимости они делятся на товары первой необходимости (продукты питания, жилье и т.п.), товары, менее необходимые (книги, телевизоры, стиральные машины и др.), предметы роскоши (деликатесные продукты питания, особо модная одежда, ювелирные изделия, дорогостоящая мебель и др.).
Возрастающую роль в потреблении населения играют разнообразные услуги. Оценка их имеет свою специфику. Услуги – особый вид потребительской стоимости, существующей в форме полезной деятельности для человека и общества. Время производства услуг совпадает со временем их потребления (услуга оказывается).
В статистике потребления объектом исследования выступают лишь услуги, оказываемые населению, удовлетворяющие потребности человека. Услуги же коллективного характера, удовлетворяющие общественные потребности (в сфере управления, обороны, правопорядка, науки и т.п.), к этой группе не относятся, хотя согласно международным статистическим стандартам они включаются в объем валового выпуска (производства) и потребления (промежуточного и конечного) услуг и отражаются в счетах производства и использования доходов Системы национальных счетов, в том числе и сектора домашних хозяйств.
Не входят в объем производства (и соответственно потребления) домашние и личные услуги, создаваемые членами домохозяйства для собственного конечного потребления, поскольку их производство полностью автономно и не влияет на остальную экономику. К ним относятся: уборка, украшение и техническое обслуживание жилья; приготовление и подача пищи; уход за детьми, воспитание и самообучение; уход за больными, инвалидами и престарелыми; транспортировка членов домашнего хозяйства или их вещей; ремонт и техническое обслуживание потребительских товаров длительного пользования, выполняемые на дому.
В объем услуг, производимых для собственного конечного использования, учитываются два вида услуг, включаемых по счету производства в общий выпуск товаров и услуг. Это услуги по проживанию в собственном жилище (они оцениваются приближенно, в размере затрат на обеспечение проживания в жилище) и домашние услуги, производимые наемными работниками (слугами, поварами, садовниками и т.п.). Их стоимость определяется оплатой труда этих работников, включая и все виды компенсаций в натуральной форме (питание, жилье и т.п.).
Различаются услуги материальные (производственные), воплощающиеся в материально-вещественной форме (ремонт одежды, обуви, предметов культурно-бытового и хозяйственного назначения), и услуги нематериальные, которые проявляются в форме деятельности, удовлетворяющей бытовые, культурные, образовательные, медицинские и другие потребности человека.
Услуги подразделяются на платные (рыночные) и бесплатные (нерыночные).
Программой выборочного обследования бюджетов домашних хозяйств предусмотрен учет расходов на оплату жилища и жилищно-коммунальных услуг, расходов на пошив и ремонт одежды и обуви, на ремонт электротоваров, культтоваров, металлоизделий, квартир, на возведение и ремонт домов и других построек, на техническое обслуживание и ремонт автомобилей и других мототранспортных средств, на оплату за обучение в системе образования, медицинские услуги, санаторно-курортные услуги, культурно-просветительные услуги, услуги пассажирского транспорта и связи, услуги правового характера и прочие виды личных услуг. К показателям потребления платных услуг относятся размер оплаты в среднем на 100 лиц и структура расходов по видам услуг.
1.5. Методы изучения дифференциации доходов населения, уровня и границ бедности
Процесс расслоения общества, резко обострившийся в России в связи с переходом к рыночным условиям хозяйствования, обусловил необходимость внедрения в статистическую практику страны блока показателей, которые широко используются в международной статистической практике для анализа социально-экономической дифференциации населения. Показатели неравенства в распределении доходов (расходов) между отдельными группами населения и показатели бедности населения являются наиболее важными блоками модельного набора социальных индикаторов уровня жизни населения.
Для анализа неравенства в экономическом положении строится распределение населения по уровню среднедушевого денежного дохода, позволяющее проводить сравнительную оценку благосостояния отдельных групп населения. Особое внимание при этом уделяется низко доходным социальным группам, поскольку данный аспект изучения необходим для выработки целенаправленной социальной политики государства. В условиях отсутствия сплошного статистического учета доходов всех типов домашних хозяйств для построения распределения населения по уровню среднедушевого денежного дохода используются методы имитационного моделирования. Исходная предпосылка построения соответствующей модели заключается в том, что распределение занятых в экономике по размеру заработной платы и всего населения по среднедушевому денежному доходу подчинено закону логнормального распределения. Исходя из этой гипотезы; эмпирическое распределение, построенное на основе данных выборочных бюджетных обследований, преобразуется в ряд распределения, соответствующий среднему значению группировочного признака в генеральной совокупности.
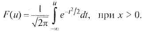
Такое среднее значение, т.е. среднедушевой денежный доход, рассчитывается с помощью баланса денежных доходов и расходов населения. До 1993г. подобной корректировки данных выборочных бюджетных обследований в условиях российской экономики не требовалось, поскольку оценка среднедушевого денежного дохода, полученная по выборке, незначительно отличалась от оценки среднего дохода в генеральной совокупности. Однако в настоящее время в связи с отсутствием в выборке семей с очень высокими доходами возникает необходимость соответствующей корректировки распределения, построенного на основе выборочных данных. «Для нахождения частот распределения населения по доходам используется функция логарифмически нормального распределения, которая имеет следующий вид:
где - среднедушевой денежный доход за месяц, рассчитанный по данным баланса денежных доходов и расходов населения;
- среднее квадратическое отклонение случайной величины ln x, которое определяется по формуле:
При этом:
где xi – среднемесячный доход i-го члена выборочной совокупности;
N – средняя численность выборочной совокупности за рассматриваемый период».7
В приложении 2 и 3 приведены данные о покупательной способности и распределении населения Архангельской области по размеру среднедушевого денежного дохода в 2001-2005 гг.
Учитывая, что абсолютная величина группировочного признака (среднедушевой денежный доход) при построении такого распределения со временем меняется, что приводит к изменению величины интервалов, при анализе динамики социально-экономической дифференциации населения используются данные о распределении доходов (расходов) по квинтильным группам населения. «Для характеристики распределения населения по доходу рассчитывается ряд показателей:
• модальный доход, т.е. уровень дохода, наиболее часто встречающийся среди населения;
• медианный доход – показатель уровня дохода индивида, находящегося в середине ранжированного ряда распределения. Половина населения имеет доход ниже медианного, а вторая половина - выше;
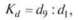
• децильный коэффициент дифференциации доходов населения (Kd), характеризующий, во сколько раз минимальные доходы 10% самого богатого населения превышают максимальные доходы 10% наименее обеспеченного населения:
где d9 и d] — соответственно девятый и первый дециль;
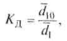
• коэффициент фондов (КД), определяемый как соотношение между средними доходами населения в десятой и первой децильных группах:
где d] и d]0 — среднедушевой доход в месяц соответственно у 10% населения, имеющего минимальный доход, и у 10% самой богатой его части.
Учитывая, что при расчете среднего дохода для 10% населения в знаменателе показателей d] и d]0 находятся одинаковые значения, коэффициент фондов можно представить в следующем виде:















