183499 (596673), страница 10
Текст из файла (страница 10)
Каждое техническое решение должно найти «своего» клиента, максимально удовлетворяя его ожидания, запросы и, вместе с этим, принося прибыль предприятию. Цель же данной работы – определить прогноз существования на рынке каждой услуги методом математического моделирования для того, чтобы позиционировать каждую услугу для конкретной группы абонентов.
Применение методов экономического прогнозирования IP-услуг необходимо также для оптимизации инвестиций, тарифной политики, позиционирования на рынке в условиях роста продаж, насыщения и последующего спада.
Методы прогнозирования, как часть маркетинговых исследований, можно классифицировать на эвристические, при применении которых преобладают субъективные оценки, и на экономико-математические, методы с преобладанием объективных оценочных факторов. К числу последних методов относятся и статистические варианты экономических прогнозов.
Эвристические методы предполагают, что подходы, используемые для формирования прогноза, не изложены в явной форме и неотделимы от лица, делающего прогноз, при разработке которого доминируют интуиция, прежний опыт, творчество и воображение. К данной категории методов относится социологические исследования и экспертные оценки. Причем, опрашиваемые респонденты, делают свои выводы, как только на интуиции, так и используя определенные причинно-следственные связи и данные статистических расчетов.
При использовании экономико-математических методов, подходы к прогнозированию четко сформулированы и могут быть воспроизведены другими лицами, которые неизбежно придут к получению такого же прогноза.
Наиболее распространены в настоящее время статистические методы, которые в свою очередь разделяются на методы экстраполяции и методы моделирования. При экстраполяции в качестве базы прогнозирования используется прошлый опыт, который пролонгируется на будущее. Делается предположение, что система развивается эволюционно, в достаточно стабильных условиях. Рекомендуемый срок прогноза не должен превышать одной трети от длительности предыдущей расчетной базы [31]. При статистическом моделировании строится прогнозная модель, характеризующая зависимость изучаемого параметра от ряда факторов, влияющих на него. Она связывает условия, которые как ожидается, будут иметь место, и характер их влияния на изучаемый параметр. Данные модели не используют функциональные зависимости, они основаны только на экспериментальных статистических зависимостях. При построении прогнозных моделей чаще всего используется парный или многофакторный регрессионный анализ.
Основными недостатками статистических методов являются:
-
плохая способность к описанию динамических (изменяющихся во времени) объектов,
-
сложность проведения анализа системы при вариациях ее параметров (инвестиции, тарифы и т.д.),
-
ограниченная область прогноза (приблизительно 1/3 от базы),
-
невозможность учета быстрых изменений внешней среды.
Данные недостатки отчасти преодолеваются применением детерминирования при математическом моделировании на основе балансных дифференциальных уравнений [31]. Этот метод требует учета многих факторов, влияющих на зависимые переменные (например, число абонентов и прибыль) в виде функциональных зависимостей. Основным требованием при применении этого метода является условие устойчивого спроса на товар или услугу. Телекоммуникационные услуги, а особенно Интернет – услуги вполне удовлетворяют этому требованию. Поэтому в данной работе для прогнозирования и анализа будут применены методы дифференциальных уравнений в сочетании с эвристическим методом социологических исследований.
Для отработки методов будут рассмотрены три типа моделей:
-
поведение абонентов на рынке конкурентных услуг, прибыль не учитывается;
-
расчет числа абонентов и прибыли на рынке монопольной услуги;
-
создание общей модели поведения абонентов и изменения прибыли на рынке конкурентных услуг.
3.4 Методология создания модели
В настоящее время на рынке Интернет – услуг наиболее популярны такие виды подключений и варианты выхода в глобальную сеть, как: dial-up, on line, ISDN, ADSL.
Услуги dial-up и ADSL являются конкурентными, поэтому при математическом моделировании необходимо учитывать влияние конкурентов, а также нужно оценить занимаемую ими долю сегментов рынка. Сегодня региональный филиал Томсктелеком занимает лидирующее положение на региональном рынке Интернет-подключений. Доля услуг этого предприятия на рынке на начало 2006 года составляет 53,9 %. Вместе с этим, необходимо отметить, что три крупных оператора-конкурента в сумме также претендуют на немалую долю рынка, и было бы неверным не учитывать влияние деятельности и маркетинговой политики этих предприятий. Все эти факторы вносят существенные коррективы в процессы моделирования и прогнозирования услуг. Поэтому обязательно нужно учитывать такие коэффициенты, как количество абонентов конкурентов, коэффициент, зависящий от изменения тарифов конкурентного предприятия и влияющий на число реально имеющихся на сегодняшний день клиентов, а также вероятность перехода клиентов от предприятия к конкурентам и от конкурентов к предприятию. Конкурентная ситуация на рынке Интернет представлена в таблице 3.1.
Таблица 3.1 –Распределение рынка Интернет среди его участников.
| Операторы Интернет | Доля рынка выделенного Интернет, % |
| ООО « Стек » | 18,4 |
| ООО « Томика » | 8,8 |
| ООО « Консультант » | 1,4 |
| ЗАО « Томсккосмоссвязь» | 2,1 |
| ООО « CISA+ » | 1,0 |
| ООО « НТС » | 0,5 |
| ООО « Томская транковая компания» | 13,9 |
| Региональный филиал Томсктелеком | 53,9 |
Более подробное распределение сегментов рынка с его полным описанием предложено в Приложении А.
При рассмотрении монопольной услуги, такой как ISDN, влияние внешних условий (закон « О связи », введение повременной тарификации и др.) практически незначительно, поэтому данными условиями мы можем пренебречь. Значит при моделировании ISDN целесообразно сосредоточиться на изменении внутренних факторов и их характеризующих переменных в первую очередь, распределение доходов между следующими статьями затрат: затраты на оборудование, заработную плату и рекламу.
На примере услуги dial-up мы можем показать взаимосвязь между действиями конкурентов и предприятием, оказывающим услугу. При повышении тарифов на услугу число абонентов резко уменьшится, при плохом качестве связи они тоже могут уйти к конкурентам (см. рисунок 3.2), поэтому необходимо грамотно распределять затраты на оплату труда + затраты на рекламу.
Рисунок 3.2 - Влияние маркетинговой политики предприятия на численность абонентов.
В разные периоды времени изменение затрат может меняться и это неизбежно. На начальном периоде, когда только услуга начинает выходить на рынок телекоммуникаций необходимо выделять большую долю денег на закупку нового дорогостоящего оборудования, с учетом того, чтобы данное оборудование в будущем хотя бы не устарело за свой амортизационный срок. А также требуется выделить деньги на начало рекламной компании.
На последующем этапе, когда оборудование уже закуплено, основная часть затрат может быть выделена на заработную плату и рекламу. При повышении тарифов и сохранении себестоимости услуги, существует возможность увеличения прибыли, но это грозит переходом абонентов к конкурентам. Но так как услуга ISDN является монопольной, абоненты не имеют возможности уйти к другому оператору. Предприятие не потеряет, но и не приобретет новых абонентов, поэтому на начальном этапе развития услуги, целесообразно ввести льготные тарифы, например таких как, подключение ДВО (дополнительных видов обслуживания) без абонентской платы, абонент платит только за подключение данной услуги, чтобы сформировать жизнеспособную сеть.
Правильно организовать рекламную компанию, значит показать преимущества одной услуги перед другой – это залог гарантированного привлечения целевой аудитории, тех абонентов, которые никуда не уйдут и точно, будут получать услугу именно у вас и сформировать действующую сеть. Данные абоненты нашли то, что им нужно.
На предприятии должен быть опытный специалист высокой квалификации, не менее категории инженер, который разбирается в технических сложностях услуги и поможет сделать правильный выбор варианта технического решения. Значит затраты на заработную плату возрастут. Но суммарные затраты не могут быть выше доходов от услуг, услуга должна приносить прибыль предприятию. Поэтому соотношение коэффициентов при моделировании должно обеспечивать вид кривой, растущей постоянно вверх, либо быть в стадии насыщения стабильным. Это возможно при рентабельности услуги. Нужно решить в каком, соотношении будут распределены средства, чтобы в наибольшей степени выгодно для предприятия получить прибыль.
При активном продвижении услуги может ощущаться нехватка средств на развитие, например, могут быть заполнены все кассеты ISDN подключения и может не быть свободных номеров в каком – либо районе города. Поэтому должно регулярно проводиться исследования телекоммуникационного рынка спроса на услуги и своевременное распределение средств на развитие. Данными вопросами я и занимаюсь в настоящей дипломной работе.
4. Математическое моделирование Интернет - услуг
4.1 Математическое моделирование dial-up подключений
Сначала рассмотрим моделирование услуги предоставления доступа в Интернет по dial-up, так как данная услуга является показателем потенциальных абонентов для монопольной услуги ISDN и конкурентной ей услуги ADSL.
В качестве базы для моделирования могут быть взяты данные Интернет-провайдера: затраты, существующие тарифы, результаты практики внедрения, результаты проведенных маркетинговых исследований [31].
Приведенная модель позволяет в условиях стремительного роста абонентской базы, оптимальным образом планировать распределение инвестиционных потоков с целью своевременной модернизации и развития сети для обеспечения высокого качества Интернет – услуг.
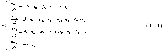
В основе динамического моделирования лежит система дифференциальных уравнений первого порядка. Рассматриваются объемы услуг, потребляемые клиентами предприятия и клиентами конкурентов, а также потенциально возможный потребляемый объем услуг.
Здесь важны такие параметры как эффективность маркетинговых, в том числе и рекламных усилий фирмы, вероятности переходов клиентов между предприятиями, прирост количества клиентов во времени.
На первом этапе моделирования рассмотрим только поведение абонентов потребляющих услугу, считая, что их численность прямо пропорционально влияет на полученные доходы.
В системе (1) – (4):
– количество абонентов предприятия,
– количество абонентов конкурентов,
– количество потенциальных абонентов на сегодняшний день, т.е тех у кого есть компьютер,
– количество субъектов, не имеющих компьютер, но имеющих потенциальную возможность его приобретения,
– коэффициент, зависящий от влияния таких факторов как реклама, изменение тарифов, информация, получаемая потенциальными абонентами от реально существующих,
4 – коэффициент, зависящий от изменения тарифов анализируемого предприятия и влияющий на число реально имеющихся на сегодняшний день клиентов и отличный от нуля только в случае увеличения тарифов,
4 – аналогичный коэффициент для конкурентов,
















