151324 (594679), страница 11
Текст из файла (страница 11)
Найдём теперь коэффициенты при
в асимптотическом разложении стационарной задачи массопереноса. Уравнения (2.6.12) – (2.6.14) для слагаемых, содержащих
имеют вид
| | (2.6.30) |
| | (2.6.31) |
| | (2.6.32) |
Условия сопряжения представляются как
| | (2.6.33) |
| | (2.6.34) |
причем, решение
отыскивается в форме квадратного многочлена (2.6.22) относительно z, где
и
определены выражениями (2.6.20) и (2.6.21), а
неизвестно. Для его определения перепишем (2.6.32) в виде
| | (2.6.35) |
где оператор
. Учитывая соотношение (2.6.22), а также линейность оператора
, получим
| | (2.6.36) |
Интегрируя последнее выражение и используя условия сопряжения (2.6.34), перейдём к уравнению
| | (2.6.37) |
Решения уравнений для первых коэффициентов асимптотического разложения для настилающего и подстилающего пластов почти не отличаются от решений соответствующих уравнений в нулевом приближении, поэтому справедливы соотношения
| | (2.6.38) |
Воспользовавшись (2.6.23), (2.6.26) и (2.6.28), получим
| | (2.6.39) |
| | (2.6.40) |
| | (2.6.41) |
| | (2.6.42) |
Уравнение (2.6.37) с учетом (2.6.38) – (2.6.42), запишется как
| | (2.6.43) |
Решение этого уравнения
| | (2.6.44) |
Для нахождения постоянной интегрирования С необходимо воспользоваться граничным условием (2.6.17) для коэффициента при
:
. Однако, как следует из (2.6.22), удовлетворить ему не представляется возможным. Это вынуждает ослабить условие (2.6.17). Для того, чтобы прояснить возможное “ослабление”, рассмотрим задачу для остаточного члена
. Подставляя
|
| (2.6.45) |
в параметризованную задачу, получим
| | (2.6.46) |
| | (2.6.47) |
| | (2.6.48) |
с граничными условиями и условиями сопряжения
| | (2.6.49) |
| | (2.6.50) |
| | (2.6.51) |
| | (2.6.52) |
| | (2.6.53) |
Усредним задачу по толщине пласта. При усреднении второй производной по вертикальной координате воспользуемся условиями сопряжения (2.6.49)
| | (2.6.54) |
Окончательно постановка усредненной задачи для остаточного члена с учетом (2.6.54) представится как
| | (2.6.55) |
| | (2.6.56) |
| | (2.6.57) |
с граничными условиями и условиями сопряжения
| | (2.6.58) |
| | (2.6.59) |
| | (2.6.60) |
| | (2.6.61) |
Усредненная задача для остаточного члена (2.6.55) – (2.6.61) имеет тривиальное решение тогда и только тогда, когда
| | (2.6.62) |
и
| | (2.6.63) |
то есть, когда в усредненной задаче для остаточного члена отсутствует источник и средние значения нулевого коэффициента разложения на поверхности задания граничных условий обращается в нуль.
В справедливости последнего уравнения легко убедиться, усреднив (2.6.35) с учетом условий сопряжения (2.6.34). Следовательно, если заменить граничное условие для
на среднеинтегральное
| | (2.6.64) |
то рассматриваемый метод решения обеспечивает возможность обращения в нуль решения усреднённой задачи для остаточного члена асимптотического разложения. Это, естественно, повышает ценность решения для практических приложений. В силу этого целесообразно в асимптотических решениях выделить соответствующий класс решений. Асимптотическое приближение параметризованной задачи, полученной из (2.6.4) – (2.6.10), построенное при условии, что решение усредненной задачи для остаточного члена является тривиальным, назовем точным в среднем асимптотическим решением.
Для точного в среднем решения из дополнительного граничного условия (2.6.64) и выражения для первого коэффициента разложения (2.6.22) получим
| | (2.6.65) |
Откуда
| | (2.6.66) |
Подставляя полученное таким образом выражение
в (2.6.22), для первого коэффициента разложения получим
| | (2.6.67) |
| | (2.6.68) |
В первом приближении решение стационарной задачи имеет вид
| | (2.3.69) |
где
и
определяются выражениями (2.4.26), (2.4.28) и (2.4.67), (2.4.68)
2.7. Анализ результатов расчёта стационарной задачи
На рис.2.34 представлены графики зависимости стационарного распределения примесей в нулевом приближении от расстояния до оси скважины. Нулевое приближение в данном случае является наиболее значимым, оно определяет общий вид зависимости
. При этом величина плотности загрязнителя спадает по экспоненциальному закону и, как следует из графиков, даже для среднеживущих и наиболее опасных радионуклидов (90Sr, 137Cs) на расстояниях 200 h оказывается порядка процентов от максимальной, наблюдающейся в зоне закачки.
| Рис. 2.34. Зависимость плотности радиоактивных примесей в пористом пласте для стационарного случая (нулевое приближение) от расстояния до скважины при различных постоянных распада: 1 – At = 0.01, 2 – 0.1, 3 – 1. Другие расчётные параметры Pd = 102, |
На рис 2.35 отражена картина распределения поля радиоактивного загрязнителя в стационарном случае вдоль вертикальной координаты (нулевое приближение). «Срезы» приведены для расстояний 0, 100h и 200h от оси скважины. Видно, что для среднеживущих нуклидов (Т1/2 30 лет) в настилающем и подстилающем пластах плотности загрязнителя быстро спадают, и уже на расстояниях 0,5h становятся ничтожно малыми.
| Рис. 2.35. Зависимость плотности радиоактивных примесей для стационарного случая (нулевое приближение) от координаты z при различных расстояниях до скважины: 1 – r = 0, 2 – 100, 3 – 200. Другие расчётные параметры At = 0.01, Pd = 102, |
В общем случае, увеличение параметра Pd приводит к «вытянутости» графика вдоль радиального направления, уменьшение At (что соответствует увеличению среднего времени жизни нуклида) – к «расширению» графика вдоль осей r и z. При этом поле загрязнителя остаётся ограниченным в пространстве.
2.8. Сравнение результатов аналитического решения
с численными и с экспериментом
На рис. 2.36 приведены результаты, полученные с помощью модифицированного метода асимптотического разложения и результаты решения задачи массопереноса методом сеток. При этом численным методом решалась задача (1.5.14) – (1.5.21), т.е. также в пренебрежении радиальной диффузией.
Разностные схемы задачи:
,
,
,
.
| Рис. 2.36. Зависимость плотности радиоактивного загрязнителя от расстояния до оси скважины. Графики построены (для безразмерного времени t = 100): методом сеток – 1 и методом асимптотического разложения – 2. Другие расчётные параметры At = 0.1, Pd = 102, |
Сравнения кривых, приведённых на рис. 2.36 позволяет сделать вывод о хорошем соответствии результатов, полученных численными методами и аналитическими вычислениями.
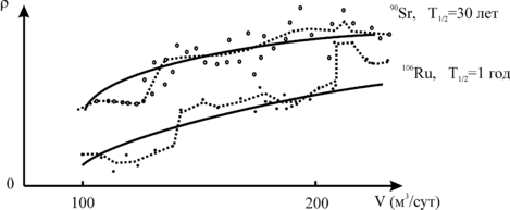
На рис. 2.37 приведено сравнение теоретических результатов (сплошные линии) и экспериментальных данных (из кн. Рыбальченко А.И. и др. [64] Глубинное захоронение жидких радиоактивных отходов. – М.: ИздАТ, 1994; пунктирные линии).
Рис. 2.37. Сопоставление зависимости плотности радиоактивных нуклидов от интенсивности закачки на расстоянии 200 м до оси скважины для момента времени t = 5 лет. V – интенсивность закачки
Сравнение экспериментальных и теоретических кривых позволяет сделать вывод о неплохом качественном совпадении имеющихся результатов.
2.9. Выводы
Во второй главе нами найдены решения задачи массопереноса в нулевом и первом приближениях. Анализ результатов расчётов пространственно-временных зависимостей полей концентраций вредных примесей и температур в глубоко залегающих пластах позволяет установить следующее: нулевое приближение может быть успешно использовано для расчёта средних значений концентраций вредных веществ и температуры в проницаемых пластах и с достаточной точностью описывает поля концентраций и температур в окружающих породах и зону возмущений концентрации и температуры в среде; первое приближение удовлетворительно описывает поля концентраций как в пласте, так и в окружающих породах и позволяет устранить главный недостаток нулевого приближения, то есть учесть зависимость от
в интервале пласта.
Построенные решения для полей концентрации загрязнителя в нулевом и первом приближениях свидетельствуют о наличии погранслоев на малых расстояниях от оси скважины и малых времен, откуда возникает задача построения соответствующих погранслойных функций. Решение стационарной задачи позволило установить соотношения для предельных размеров зоны заражения.
,
,
.
,
,
,
.
.
,
.
,
,
,
.
.
.
,
,
,
,
,
,
,
.
.
,
.















