151324 (594679), страница 10
Текст из файла (страница 10)
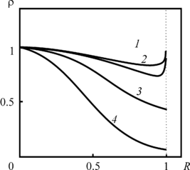
| Рис. 2.24. Зависимость плотности радиоактивного загрязнителя в нулевом (1, 3) и первом (2, 4) приближениях от «относительного расстояния» для различных постоянных распада 1,2 – At = 0.1, 3,4 – 1. Графики построены для t = 10. Другие расчётные параметры Pd = 102, |
Анализ рис. 2.25 показывает, что с увеличением времени кривые, отвечающие плотности загрязнителя в различных горизонтальных плоскостях, приближаются друг к другу, что вызвано, прежде всего, уменьшением
в результате радиоактивного распада.
На рис. 2.26 представлена зависимость плотности загрязнителя при отсутствии радиоактивного распада от времени. При этом уменьшение
определяется только процессами диффузии. Чем больше величина
, т.е. чем ближе по абсолютной величине коэффициент диффузии к коэффициенту температуропроводности, тем быстрее уменьшается плотность, и наоборот.
| Рис. 2.25. Зависимость плотности радиоактивного загрязнителя в первом приближении от времени для различных z: 1 – z = 0.5, 2 – 0.7, 3 – 0.9, 4 – 1. Графики построены для R = 0.5. Другие расчётные параметры At = 0.3, Pd = 102, |
| Рис. 2.26. Зависимость плотности нерадиоактивного загрязнителя в первом приближении от времени для различных |
При наличии радиоактивного загрязнителя картина в большей степени определяется процессами радиоактивного распада, что хорошо видно на рис. 2.27. Особенно существенна разница в масштабе оси времени между 2.26 и 2.27, что вызвано большим временем «диффузионной релаксации» в сравнении со средним временем жизни нуклида.
Из рис. 2.28, 2.29 следует, что увеличение времени закачки приводит к «сглаживанию» плотности загрязнителя в первом приближении на границе зоны загрязнения, что позволяет в этом приближении получать хорошие результаты для всех постоянных распада и на всех расстояниях.
| Рис. 2.27. Зависимость плотности нерадиоактивного загрязнителя в первом приближении от времени для различных постоянных распада: 1 – At = 0.1, 2 – 0.3, 3 – 1, 4 – 3. Графики построены для R = 0.9 и z = 0.5. Другие расчётные параметры Pd = 102, |
| Рис. 2.28. Зависимость плотности радиоактивного загрязнителя в первом приближении от расстояния до оси скважины, отнесённого к максимальному радиусу зоны загрязнения для безразмерного времени t = 1. При различных постоянных распада: 1 – At = 0.1, 2 – 0.3, 3 – 1, 4 – 3. Графики построены для z = 0.5. Другие расчётные параметры Pd = 102, |
| Рис. 2.29. Зависимость плотности радиоактивного загрязнителя в первом приближении от расстояния до оси скважины, отнесённого к максимальному радиусу зоны загрязнения для безразмерного времени t = 10. При различных постоянных распада: 1 – At = 0.1, 2 – 0.3, 3 – 1, 4 – 3. Графики построены для z = 0.5. Другие расчётные параметры Pd = 102, |
Как видно из рис. 2.30 и 2.31, увеличение времени закачки уменьшает вертикальную составляющую градиента плотности радиоактивного загрязнителя в первом приближении.
| Рис. 2.30. Зависимость |
| Рис. 2.31. Зависимость |
Существенное влияние на распределение загрязнения вдоль вертикальной оси оказывает δ – увеличение коэффициента диффузии несущего пласта (или уменьшение его коэффициента температуропроводности) приводят к более значительному изменению плотности загрязнителя по высоте пласта.
| Рис. 2.32. Зависимость плотности радиоактивных примесей в первом приближении от z для безразмерного времени t = 10 на расстоянии 0.9Rd от оси скважины для различных |
| Рис. 2.33. Зависимость |
Различия в физических свойствах «кровли» и «подошвы» приводит к смещению максимума графика
в сторону пласта, обладающего меньшим коэффициентом диффузии.
Итак, на основе асимптотического метода создана методика расчетов концентрации примесей радиоактивных и химически активных веществ при их захоронении в подземных горизонтах.
2.6. Стационарное решение задачи массопереноса в нулевом и первом приближении
Отметим, что чрезвычайно важным является нахождение стационарного решения, позволяющего установить максимальные размеры зоны загрязнения. Положим в уравнениях (1.5.14) – (1.5.16), описывающих распространение загрязнителя в пластах, первое слагаемое
равным нулю. При этом уравнения принимают вид
| | (2.6.1) |
| | (2.6.2) |
| | (2.6.3) |
Поделив левые и правые части всех уравнений на
, значение которого определяется выражением (1.5.12), запишем стационарную задачу вместе с граничными условиями и условиями сопряжения
| | (2.6.4) |
| | (2.6.5) |
| | (2.6.6) |
| | (2.6.7) |
| | (2.6.8) |
| | (2.6.9) |
| | (2.6.10) |
Будем искать решение задачи (2.6.4) – (2.6.10) в виде асимптотического ряда по параметру
, появляющемуся при формальной замене коэффициента диффузии
на частное
. В соответствии с принятыми обозначениями это соответствует следующим заменам:
, а
.
| | (2.6.11) |
Подставив выражения (2.6.11) в (2.6.4) – (2.6.10) и сгруппировав слагаемые по степеням параметра разложения
, получим следующую постановку параметризованной задачи (вместе с граничными условиями)
| | (2.6.12) |
| | (2.6.13) |
| | (2.6.14) |
| | (2.6.15) |
| | (2.6.16) |
| | (2.6.17) |
| | (2.6.18) |
Приравнивая коэффициенты при
в уравнении (2.6.14) и учитывая условие (2.6.15), получим, что в нулевом приближении плотность загрязнителя является функцией только от r, т.е. в каждом вертикальном сечении одинакова по высоте несущего пласта
. Далее, приравняв к нулю коэффициенты при
в уравнении (2.6.14), получим
| | (2.6.19) |
Левую часть этого уравнения, не зависящую от z, обозначим через
:
| | (2.6.20) |
Тогда
, следовательно
| | (2.6.21) |
| | (2.6.22) |
Здесь
,
– неизвестные пока функции.
Из условий сопряжения (2.6.15) при сомножителе
получим
| | (2.6.23) |
| | (2.6.24) |
Тогда уравнение (2.6.20) примет вид
| | (2.6.25) |
Для нулевого приближения из (2.6.12) и (2.6.13) с учётом условий сопряжения (2.6.16)
| | (2.6.26) |
Продифференцировав последние выражения и подставив результат в (2.4.25), получим
| | (2.6.27) |
Решение этого уравнения представим как
| | (2.6.28) |
где
| | (2.6.29) |
Полученные уравнения (2.6.26), (2.6.28) и определяют решение стационарной задачи в нулевом приближении.
,
,
.
,
,
,
,
,
,
.
.
,
,
.
.
,
.
.
,















