148331 (594484), страница 5
Текст из файла (страница 5)
при следующих ограничениях, учитывающих требования пунктов:
S
а)* Σδis = 1 – каждый переход выполняется на одном рабочем месте;
S=1
m
б)* Σti δis ≤τ – не превышение продолжительностью каждой операции такта i=1ь конвейера;
S
в)* δjs ≤ Σδik - соблюдение условий предшествования для каждой пары i и j
k=1
при i j;
г)* Рi - Pjδis + Pi – Pjδjs≤ Pi - Pj - условия выполнения операции в одной позиции. В самом деле, если δis=1 и δjs=1, т.е. переходы выполняются на одном рабочем месте, то данное условие соблюдается лишь при Рi = Рj , что означает выполнение переходов i и j в одной и той же позиции.
Целевая функция и ограничения составляют математическую модель задачи синхронизации операций на сборочном конвейере. Аналитического решения указанной задачи пока не найдено; существуют лишь эвристические процедуры перебора, дающие с удовлетворительной для практических целей точностью приближенные результаты.
В рассматриваемом алгоритме решения поставленной задачи в качестве трудоемкости перехода берется величина:
ti = ti – ] ti/τ [,
где:] ti/τ [ – антье (целая часть числа).
4.5 Алгоритм методики формирования операций при их синхронизации
В рассматриваемом алгоритме сборочные операции формируются последовательно, начиная с первой.
На каждом шаге в формируемую операцию включается только один переход. Из множество переходов отбираются такие, которые на очередном шаге не имеют предшественников (предположим, что их предшественники уже включены в предыдущие или формируемую операцию).
Подмножество переходов, которые можно включить на ν –м шаге в формируемую операцию, не нарушая условия предшествования, называется u -допустимым подмножеством и обозначаются Du .
Пусть формируемая операция s должна выполняться в позиции Р. Тогда из u -допустимого подмножества следует отобрать переходы, имеющие позиционный код Р. Они образуют р – допускаемое подмножество (обозначаемое Dp), которое, как правило, содержит меньшее число переходов, чем u-допустимое подмножество, за счет наложения позиционных ограничений.
Третье налагаемое условие – не превышение продолжительностью операции такта конвейера – еще более ограничивает число переходов, которые на ν-м шаге можно включить в s.
Отбирая из числа р – допустимых переходы, удовлетворяющие условию:
ti ≤ τ- Tsν-1;
получим, наконец, t –допустимое подмножество Dt. Здесь:
ti – трудоемкость i –го перехода;
τ - такт конвейера;
T3ν-1 суммарная трудоемкость переходов, уже назначенных в s к моменту ν.
Так последовательно отбирая u –допустимые, р - допустимые и t – допустимые подмножества, на каждом ν –м шаге будем иметь совокупность переходов, которые в момент ν можно назначить в операцию s.
При этом возможны три ситуации:
-
На ν-м шаге t – допустимые подмножества является пустым (Dt =Ф), т.е. к моменту ν переходы, удовлетворяющие всем трем условиям, отсутствуют. В этом случае формирование операции s закончено, и переходят к формированию следующей операции (s +1)-й.
-
На ν-м шаге t -допустимое подмножество содержит один переход. Тогда он назначался в операцию s, и переходят к (ν+1)-му шагу ее формирования.
-
На ν-м шаге t – допустимое подмножество содержит несколько переходов.
-
В этом случае из Dt выбирают переход в соответствии с некоторым приоритетным правилом. Наиболее распространены следующие правила выбора переходов:
-
равновероятный выбор;
-
выбор перехода с минимальной длительностью выполнения;
-
выбор перехода с максимальной длительностью выполнения;
-
выбор перехода, для которого максимальна или минимальна длительность выполнения всех следующих за ним переходов;
-
выбор перехода, для которого максимально число всех следующих за ним переходов;
-
выбор перехода, для которого максимально отношение длительности выполнения всех следующих за ним переходов к длительности его выполнения;
-
рандомизированный, но не равновероятный выбор: переход выбирается с заранее заданной вероятностью по одному из вышеуказанных правил, т.е. каждое правило имеет свой «вес».
При наличии двух и более переходов, имеющих одинаковую степень приоритета, выбирается переход с меньшим порядковым номером.
Использование различных приоритетных правил приводят, вообще говоря, к разным решениям задачи синхронизации операций. Однако нельзя указать какое – либо одно универсальное правило, приходящее всегда к наилучшему решению. Результат, полученный при использовании того или иного правила, зависят от особенностей техпроцесса, операции которого синхронизируются.
4.6 Пример
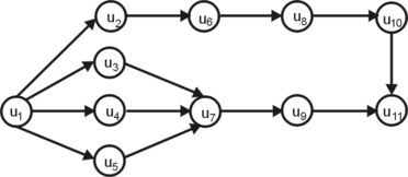
Условие: синхронизировать операции техпроцесса сборки, представленного графом на рис.1 и таблицей исходных данных, при такте конвейера τ=10 мин.
Особенности задачи:
В данном примере имеется две группы позиционных ограничений. Первая группа (Р) характеризует переходы, которые нельзя выполнять на одном рабочем месте, если они имеют разные коды, например, ограничения по профессии исполнителя: код 1 – слесарь-сборщик, код 2 – сварщик.
Ограничения второй группы (Р) также не допускают выполнения на одном рабочем месте переходов с разными ненулевыми кодами, но при этом переходы с кодами Р=0 совместимы с любыми другими (по группе Р), например: код 1 – левая сторона конвейера; код 2 – правая сторона конвейера; код 0 – возможность выполнения перехода на любой стороне конвейера.
Т.о. каждому переходу приписана пара кодов (Р,Р) и наличие позиционных ограничений равносильно требованию: любая операция может содержать только те переходы, которые имеют одинаковые пары кодов.
Совмещение переходов, например: u1 ,u2 ,u3 ; имеющих пары кодов (1,0),(1,1) и (1,0)не нарушает позиционных ограничений, также как и объединение в какой-то другой операции переходов u4 ,u6 ,u11 (пары кодов 2,0; 2,2; 2,0). Нельзя объединять в одну операцию такие переходы, как u6 , u7 ; u2 ,u7 ; подмножество. Оно также включает только переход u1 , т.е. Dto = u1 .
3. Назначаем переход u1 в первую операцию и фиксируем, что Р=1, ибо u1 приписана пара кодов (1,0).
4. Заполним графу z1 таблицы 2, имея в виду, что назначение в первую т.к. запрещено совмещение пар кодов 2,2 и 1,2, а также 1,1 и 1,2.
В рассматриваемом примере будем использовать приоритет по максимальной длительности выполнения перехода.
Решение.
-
Заполним графу zo таблицы u-допустимых подмножеств, для чего против каждого перехода проставим количество предшественников, которое он имеет в начальный момент формирования первой операции.
-
Заметим, что в начальный момент формирования первой операции только переход u1 является u-допустимым, т.е. Duo= {u1}. Т.к. коды позиционных ограничений для первой операции еще не установлены, определим сразу t-допустимое операцию перехода u1 , бывшего предшественником переходов u2 u3 ,u4 ,u5 делает их доступными для выполнения. По графеz1 находим Du1 = {u2 u3 u4 u5 }.
5.Значение второго кода позиционных ограничений Р пока не установлено, поэтому отбираем в Р-допустимое подмножество переходы, совместимые с u1 по первому коду, т.е.D1,p(1) = u2 , u3 . Переходы u4 ,u5 , имеющие код Р = 2, не являются р-допустимыми, т.к. в позиции с кодом Р = 1.
6. Определяем t-допустимое подмножество Dt(1) = u2 . Переход u3 не является t-допустимым, т.к. при его назначении в первую операцию вместе с уже назначенным переходом u1 суммарная продолжительность выполнения операции составит 11 мин, что превышает такт конвейера.
7. Назначаем в первую операцию u2 и устанавливаем, что P = 1. Следовательно, теперь в первую очередь можно включать только переходы, имеющие коды позиционных ограничений 1,0 или 1,1 , а код 1,2 является запрещенным.
8. С помощью z2 находим Du(2)=u3 u4 u5 u6 , а затем D1,1(2)=u3 ; D(2)t =Ф. Формирование первой операции закончено: Ώ1 = u1, u2.
Аналогично формируется вторая операция. Из графы z2 следует, что Du(2)=u3u4u5u6 . Коды Р и Р для второй операции пока не установлены, поэтому определяем D(2)t= u3u4u5u6 .
Находим max t3t4t5t6 , выбираем u4 и фиксируем Р=2. По графе z3 определяем Du(3)=u3u5u6 , а затем D2,0(3)=u5u6 . Dt(3)=u5u6 , max t5t6 .
Выбираем u6 и замечаем, что P=2. Определяем Du(4)=u3u5u8 , D2,2(4)=u5 . Dt(4)=u5 и выбираем u5. Далее определяем Du(5)=u3u8 , D2,2(5)=Ф и Dt(5)=Ф. Формирование второй операции закончено, Ώ2= u4u5u6 .
Продолжив вычисления, определим Ώ3=u8 , Ώ4=u3u7 , Ώ5=u9u10 , Ώ6=u11 .
Коэффициент использования рабочего времени 0,83.
Рис.4.1. Граф технологической последовательности сборки изделия
Табл.4.2.
Исходные данные к расчету
| N перехода | ti , мин. | p | ~ p | Предшественники |
| u1 | 6 | 1 | 0 | |
| u2 | 2 | 1 | 1 | u1 |
| u3 | 5 | 1 | 0 | u1 |
| u4 | 7 | 2 | 0 | u1 |
| u5 | 1 | 2 | 2 | u1 |
| u6 | 2 | 2 | 2 | u2 |
| u7 | 3 | 1 | 2 | u3, u4, u5 |
| u8 | 6 | 1 | 1 | u6 |
| u9 | 5 | 2 | 0 | u7 |
| u10 | 5 | 2 | 0 | u8 |
| u11 | 8 | 2 | 0 | u9, u10 |
Табл.4.3.
Таблица u-допустимых подмножеств
| Z0 | Z1 | Z2 | Z3 | Z4 | Z5 | Z6 | Z7 | Z8 | Z9 | Z10 | Z11 | |
| u1 | 0 |
|
|
|
|
|
|
|
|
|
|
|
| u2 | 1 | 0 | ||||||||||
| u3 | 1 | 0 | 0 | 0 | 0 | 0 | 0 | |||||
| u4 | 1 | 0 | 0 | |||||||||
| u5 | 1 | 0 | 0 | 0 | 0 | |||||||
| u6 | 1 | 1 | 0 | 0 | ||||||||
| u7 | 3 | 3 | 3 | 2 | 2 | 1 | 1 | 0 | ||||
| u8 | 1 | 1 | 1 | 1 | 0 | 0 | ||||||
| u9 | 1 | 1 | 1 | 1 | 1 | 1 | 1 | 1 | 0 | |||
| u10 | 1 | 1 | 1 | 1 | 1 | 1 | 0 | 0 | 0 | 0 |
| |
| u11 | 2 | 2 | 2 | 2 | 2 | 2 | 2 | 2 | 2 | 1 | 0 |
Табл.4.1.
















