63075 (588892), страница 6
Текст из файла (страница 6)
F(t+)=1-e-(Mc-λ) t (3.16)
где F(t+) – значении функции распределения времени ожидания (ФРВО) конца обслуживания вызова системой в момент tдоп.
Для расчета производительности управляющего устройства исходными являются параметры F(t+), tдоп , λ. Подставляя их в (3.16), итеративным приближением находим минимальную производительность управляющего устройства Мс.
Пропускная способность коммутационного поля рассчитывается независимо от параметров (производительности, быстродействия) управляющего устройства и приведена ниже:
π =
где А=λ/μ – интенсивность поступающей нагрузки;
[0]=
Для полнодоступного пучка φХ=0, х=0, V-1, φv=1,
π=Ev(A)=
(3.17)
Исходными для расчета пропускной способности коммутационного поля являются, параметры π и А. Подставляя их в (3.17), итеративным приближением находим минимальную емкость пучка, обеспечивающую требуемую пропускную способность.
На проектируемую систему коммутации задан поступающий простейший поток вызовов с нагрузкой А=90 Эрл. Средняя продолжительность разговора μ-1=3 минуты (μ=20ч-1, минимальная производительность управляющего устройства Мс=5,5 с-1. Определим функцию распределения времени ожидания конца обслуживания вызова системой коммутации каналов F(t+) на уровне tдоп=0,6с и минимальной емкости V=10 каналов. Находим параметр поступающего потока вызова λ=Α*μ=1800 ч-1=0,5 с-1.
Решение произведем на языке программирования Pascsal.
program 3.l6;
uses crt;
const e=3.27;
var Ft,ly,t,mc:real;
begin
clrscr;
writeln('e=',e:4:2);
write('inter ly=');read(ly);
write('inter t=');read(t);
write('inter mc=');read(mc);
Ft:=1-exp((-(mc-ly)*t)*ln(e));
writeln('Ft=',Ft:4:4);
end.
inter ly=0.5
inter t=0.6
inter mc=3
Ft=0.9714
program 3.17;
uses crt;
const v=10;
var Pi,A,ly,u,sum,fi,fv:real;
z:array[1..v] of integer;i:integer;
begin
clrscr;
write('inter ly=');read(ly);
write('inter u=');read(u);
writeln('inter v=',v);
A:=ly/u;
writeln('A=',A:4:4);
sum:=0;
fi:=1;
fv:=1;
for i:=1 to v do
fi:=fi*i;
sum:=sum+exp(i*ln(A))/fi;
fv:=fv*i;
Pi:=exp(v*ln(A))/fv;
writeln('Pi=',Pi:4:10);
end.
inter ly=0.5 inter u=3
inter v=10 Pi:=0,0000000001.
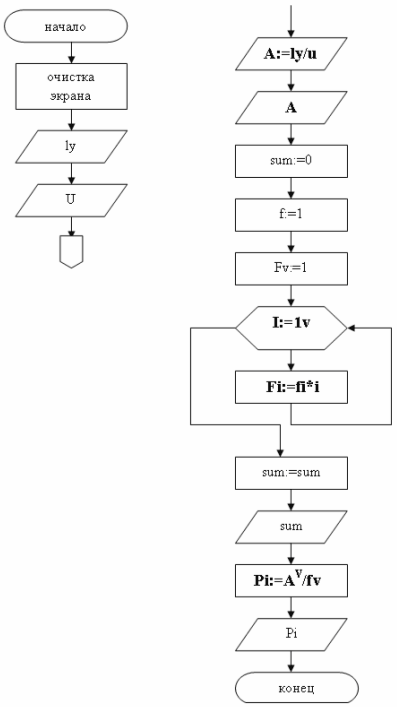
Рисунок 3.2 - Структурная схема алгоритма программы 3.16
Рисунок 3.3 – Структурная схема алгоритма программы 3.17
3.2.2 Определение надежности систем коммутации с ненадежными элементами
Современные системы распределения информации представляют собой весьма сложный комплекс программно – аппаратных средств, и в связи с этим надежность всей системы зависит от надежности, как программного обеспечения, так и аппаратных средств.
Понятие надежности программного обеспечения связано с тем, что вычислительный процесс обслуживания вызовов, организуемый управляющим устройством, базируется в оперативном запоминающем устройстве, с информацией о текущем состоянии системы, хранящейся в оперативном запоминающем устройстве с информацией о текучем состоянии системы, хранящийся в периферийном управляющем устройстве. Разночтение между содержимым ОЗУ и ПУУ – вещь совершенно нормальная, ибо именно оно и служит для организации вычислительного процесса, в результате которого УУ «выравнивает» (проводит во взаимно однозначное соответствие) содержимое ОЗУ и ПУУ согласно алгоритму функционирования системы. Однако под действием случайных влияний (помех) содержимое ОЗУ и ПУУ может самопроизвольно (без ведома УУ) измениться и не вписаться в рамки разрешенных логических состояний, свойственных нормальному протеканию процесса обслуживания вызова. Поэтому УУ вынуждено тратить часть своей производительности на восстановление (регенерацию) истинного или, по крайней мере, разрешенного состояния системы. Регенерация производится автоматически операционной системой УУ без вмешательства оператора как в моменты спада нагрузки, так и на фоне обслуживания вызовов, и призвана удерживать пропускную способность системы от последствий помех. Способы и методы, с помощью которых достигается поставленная цель – построение надежного программного обеспечения, - есть сложная самостоятельная задача. Известные методы расчета пропускной способности систем распределения информации часто сводится к использованию одной из двух моделей, учитывающих только неисправность линий (под линией кроме самого комплекта соединительной линии принимается и соответствующие линейно – кабельные сооружения связи) как наименее надежного элемента системы.
В первой модели занятость линии определяется двумя потоками: собственно вызов (с интенсивностью λ, интенсивностью обслуживания μ, интенсивностью нагрузки A=λ/μ) и потоком моментов выхода из строя линий, образуемым конечным числом источников нагрузки – числом исправных линий. В состоянии с k исправными линиями интенсивность выхода одной из них из строя равна kω, интенсивность ее обслуживания θ, интенсивность нагрузки AL=ω/θ. Если предложить, что линии выходят из строя намного реже, чем поступают вызовы, имеем два независимых процесса: процесс обслуживания вызовов, который описывается формулой Эрланга с переменным числом исправных линий, и процесс выхода из строя и восстановления линий, где число исправных линий описывается распределением Энгсета. Следовательно, вероятность потери вызова на V-линейном пучке.
В=
Во второй модели также имеются два потока: простейший поток вызовов с интенсивностью нагрузки A=λ/μ и простейший поток моментов выхода из строя линий, причем последний имеет абсолютный приоритет и интенсивность отказов AL=ω/θ. Вероятность потери источника вызова B=EV(A+AL), а полезная нагрузка A0= λ(1-B)tm, где tm- средняя длительность обслуживания источника вызова. Так как обслуживание вызова может быть прервано, то tm
μ-1, A0=A[1-EV(AL=a)]-A[EV(AL+A)-EV(A)].
Рассмотрим систему распределения информации, которая в общем виде (рисунок 3.4) состоит из абонентских комплектов, коммутационного поля, комплектов соединительной линии и управляющих устройств. К управляющим устройствам относятся центральное и периферийные управляющие устройства.
Рисунок 3.4 - Модель СМО с надежными элементами
Коммутационное поле имеет N входов, выходы КП разбиты на h направлений, пучок линий в j-м направлении содержит Vj линий (j=
). Вызову, поступившему на вход системы, может потребоваться соединение с одной и только одной линией определенного для данного вызова направления, причем безразлично, с какой именно и по какому пути.
Поток вызовов, поступающий на вход системы, будем считать примитивным (пуассоновской нагрузкой второго рода), если число источников нагрузки N
100α/μ или простейшим (пуассоновской нагрузкой первого рода) при N>100α/μ. В первом случае параметр свободного источника вызовов α, интенсивность обслуживания вызова μ, интенсивность поступающей нагрузки a0=α/μ. Во втором случае параметр потока вызовов λ=Nα, интенсивность обслуживания μ, интенсивность нагрузки – А0=λ/μ. Вероятность того, что поступающий вызов i-го входа потребует соединения с j- м направлением может зависеть как от номера входа, так и от номера направления. Будем считать, что эта вероятность зависит только от j. В этих условиях характер потока вызовов в направлении сохранится, его интенсивность аj=kja0(Aj=kjA0). Структурные параметры КП предполагаются известными. Элементами системы обладают конечной надежностью.
Последнее означает, что на элементы системы воздействует поток неисправностей, который может быть примитивным или простейшим с интенсивность нагрузке АА.К. для абонентских комплектов, АК.Э для коммутационных элементов КП, АМ.С.для монтажных соединений АЛ для линейных (исходящих, входящих комплектов), АШ для шнуровых комплектов, АР для периферийных управляющих устройств, АС для центрального управляющего устройства. Поток неисправностей всегда примитивны, однако в тех случаях, когда параметр потока неисправностей одного элемента весьма мал, а число элементов велико, характер потока близок к простейшему. Интенсивности восстановления неисправных элементов системы соответственно равны ra.r.,…, rc.
Любой вызов обслуживается центральным управляющим устройством, имеющим Vс - кратный резерв, которое будучи в неисправном состоянии, через Vр периферийных управляющих устройств получает информацию о поступлении вызова, его требованиях (например, номере в направлении с которым нужно установить соединение или в номере входа по которому поступил вызовов), о состоянии сомой системы, то есть о том, какими путями в КП проходят установленные соединения и какие элементы системы исправны. Неисправные элементы системы обнаруживаются мгновенно.
На основании такой системы ЦУУ принимают и осуществляют решения об обслуживании данного вызова или отказе занятие соединительных путей КП происходит случайно. В случая неисправности ЦУУ всех поступающих системы вызова теряются. При неисправности АК теряются вызовы, поступающие на этот комплект. Восстановление неисправных элементов системы, работающей необслуживаемом режиме, начинается с момента прибытияре5монтно - восстановительной бригады.
За основу расчета примем факт что реальная способность системы определяется числом только исправных элементов. Образующих фактическую структуру системы. Таким образом, определение пропускной способности системы с ненадежными элементами, по сути, сводится нахождению фактической структуры (или нагрузки) и расчету пропускной способности известными методами для систем с абсолютно надежными элементами.
Коммутатор с ненадежными линиями.
Пусть N=n, j=h, Vj=V, s=1, где n – число входов в коммутатор; s – число звеньев коммутации. Надежность коммутационных элементов и монтажных соединений внутри коммутатора намного выше надежности выходов из коммутатора, то есть Ак.э.=Ам.с.=0, Ал>ю предположим, что линии (выходы из коммутатора) выходят из строя намного реже, чем поступают вызовы. Тогда имеем два независимых процесса: обслуживания вызовов с переменным числом dл обслуживающих (исправных) линий, а также выхода и восстановления линий, число неисправных линий в котором равно V-dл. следовательно, с учетом (3.16) вероятность потерь по времени
, (3.18)
где
- условные потери для вызовов первого потока в состоянии с y занятыми линиями второго потока и (V-y) занятыми первого потока.
где
– потери по формуле Энгсета на dл- линейном пучке;
– потери по формуле Эрланга на dл линейном пучке.
Далее приведена программа для расчета ненадежных линий в коммутаторе на языке BASIC. Программа вычисляет вероятность потерь = Р в полнодоступном пучке с ненадежными линиями при известной емкости пучка V = 1, интенсивности нагрузки поступающего простейшего потока вызовов B = 25,56 на центральную станцию от оконечных станций, интенсивности нагрузки поступающего простейшего потока неисправностей А = 3.
10 INPUT A, B, V
20 V1 = V
30 A1 = B
40 GOSUB 220
50 D = 1
60 W = 1
70 Z = E1
80 IF V <= 0 GOTO 160
90 W = (W * A) / D
100 V1 = V - D
110 GOSUB 220
120 H = W * E1















