126309 (578057)
Текст из файла
Размещено на http://www.allbest.ru/
Министерство образования и науки российской Федерации
Федеральное агентство по образованию
Государственное образовательное учреждение
Высшего профессионального образования
Новосибирский государственный технический университет
Кафедра прикладной механики
Самостоятельная работа №2 по курсу «Детали машин»
на тему: «Ременные и цепные передачи»
Факультет:
Группа:
Студент:
Преподаватель:
Новосибирск
Содержание
1. Ременные передачи
1.1 Общие сведения
1.1.1 Классификация
1.1.2Схемы ременных передач
1.2 Достоинства и недостатки
1.3 Область применения
1.4 Кинематика
1.4.1 Силы и напряжения в ремне
1.5 Геометрия
1.5.1 Расчет геометрических параметров
1.5.2 Допускаемые углы обхвата ременных передач
1.6 Расчет долговечности ремня
2. Цепные передачи
2.1 Общие сведения
2.2 Типы цепей
2.3 Достоинства и недостатки
2.4 Область применения
2.5 Кинематика
2.6 Геометрия
2.7 Критерии работоспособности
3. Список использованной литературы
1.Ременные передачи
1.1 Общие сведения
Ременные передачи – это передачи гибкой связью (рис. 14.1), состоящие из ведущего 1 и ведомого 2 шкивов и надетого на них ремня 3. В состав передачи могут также входить натяжные устройства и ограждения. Возможно применение нескольких ремней и нескольких ведомых шкивов. Основное назначение – передача механической энергии от двигателя передаточным и исполнительным механизмам, как правило, с понижением частоты вращения.
ременной передача шкив вал
Рис.
1.1.1 Классификация передач
По принципу работы различаются передачи трением (большинство передач) и зацеплением (зубчатоременные). Передачи зубчатыми ремнями по своим свойствам существенно отличаются от передач трением и рассматриваются особо в 14.14.
Ремни передач трением по форме поперечного сечения разделяются на плоские, клиновые, поликлиновые, круглые, квадратные.
Условием работы ременных передач трением является наличие натяжения ремня, которое можно осуществить следующими способами:
-
предварительным упругим растяжением ремня;
-
перемещением одного из шкивов относительно другого;
-
натяжным роликом;
-
автоматическим устройством, обеспечивающим регулирование натяжения в зависимости от передаваемой нагрузки.
При первом способе натяжение назначается по наибольшей нагрузке с запасом на вытяжку ремня, при втором и третьем способах запас на вытяжку выбирают меньше, при четвертом - натяжение изменяется автоматически в зависимости от нагрузки, что обеспечивает наилучшие условия для работы ремня.
Клиновые, поликлиновые, зубчатые и быстроходные плоские изготовляют бесконечными замкнутыми. Плоские ремни преимущественно выпускают конечными в виде длинных лент. Концы таких ремней склеивают, сшивают или соединяют металлическими скобами. Места соединения ремней вызывают динамические нагрузки, что ограничивает скорость ремня. Разрушение этих ремней происходит, как правило, по месту соединения.
1.1.2 Схемы ременных передач
Передачи с одним ведомым валом
с параллельными осями валов
с непараллельными осями валов
с одинаковым направлением вращения
с обратным направлением вращения
Передачи с несколькими ведомыми валами
Примечания: 1. Схемы 1, 3, 5 — передачи с двумя шкивами; схемы 2, 4, 6, 7, 8, 9 — передачи с натяжными или направляющими роликами.
2. Обозначения: вщ — ведущий шкив; вм — ведомый шкив: HP — натяжной или направляющий ролик
1.2 Достоинства и недостатки
Достоинства
Недостатки
Возможность передачи крутящим моментом между валами, расположенными на относительно большом расстоянии
Громоздкость
Плавность и бесшумность работы передачи
Непостоянство передаточного числа из-за проскальзывания ремня
Предельность нагрузки, самопредохранение от перегрузки. Способность ремня передать определенную нагрузку, свыше которой происходит буксование (скольжение) ремня по шкиву
Повышение нагрузки на валы и подшипники
Возможность работы с высокими скоростями
Невысокий КПД (0,92.. .0,94)
Простота устройства, небольшая стоимость, легкость технического обслуживания
Необходимость защиты ремней от попадания
Малая стоимость
Необходимость защиты ремней от попадания воды
Электризация ремня и поэтому недопустимость работы во взрывоопасных помещениях
Ременные передачи в основном применяются для передачи мощности до 50 кВт (зубчатыми до 200, поликлиновыми до 1000 кВт)
1.3 Область применения
Ремни должны обладать достаточно высокой прочностью при действии переменных нагрузок, иметь высокий коэффициент трения при движении по шкиву и высокую износостойкость. Ременные передачи применяются для привода агрегатов от электродвигателей малой и средней мощности; для привода от маломощных двигателей внутреннего сгорания. Наибольшее распространение в машиностроении находят клиноременные передачи (в станках, автотранспортных двигателях и т. п.). Эти передачи широко используют при малых межосевых расстояниях и вертикальных осях шкивов, а также при передаче вращения несколькими шкивами. При необходимости обеспечения ременной передачи постоянного передаточного числа и хорошей тяговой способности рекомендуется устанавливать зубчатые ремни. При этом не требуется большего начального натяжения ремней; опоры могут быть неподвижными. Плоскоременные передачи применяются как простейшие, с минимальными напряжениями изгиба. Плоские ремни имеют прямоугольное сечение, применяются в машинах, которые должны быть устойчивы к вибрациям (например, высокоточные станки). Плоскоременные передачи в настоящее время применяют сравнительно редко (они вытесняются клиноременными). Теоретически тяговая способность клинового ремня при том же усилии натяжения в 3 раза больше, чем у плоского. Однако относительная прочность клинового ремня по сравнению с плоским несколько меньше (в нем меньше слоев армирующей ткани), поэтому практически тяговая способность клинового ремня приблизительно в два раза выше, чем у плоского. Это свидетельство в пользу клиновых ремней послужило основанием для их широкого распространения, в особенности в последнее время. Клиновые ремни могут передавать вращение на несколько валов одновременно, допускают umax = 8 – 10 без натяжного ролика.
Круглоременные передачи (как силовые) в машиностроении не применяются. Их используют в основном для маломощных устройств в приборостроении и бытовых механизмах (магнитофоны, радиолы, швейные машины и т. д.).
1.4 Кинематика ременных передач
Окружные скорости ( м/с ) на шкивах:
и
где d1 и d2 – диаметры ведущего и ведомого шкивов, мм; n1 и n2 – частоты вращения шкивов, мин-1.
Окружная скорость на ведомом шкиве v2 меньше скорости на ведущем v1 вследствие скольжения:
Передаточное отношение:
Обычно упругое скольжение находится в пределах 0,01…0,02 и растет с увеличением нагрузки.
1.4.1Силы и напряжения в ремне
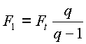
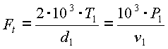
Окружная сила на шкивах (Н):
где T1 – вращающий момент, Н м, на ведущем шкиве диаметром d1, мм; P1 – мощность на ведущем шкиве, кВт.
С другой стороны, Ft = F1 - F2, где F1 и F2 - силы натяжения ведущей и ведомой ветвей ремня под нагрузкой. Сумма натяжений ветвей при передаче полезной нагрузки не меняется по сравнению с начальной: F1 + F2 = 2F0. Решая систему двух уравнений, получаем:
F1 = F0 + Ft/2, F2 = F0 – Ft/2
Сила начального натяжения ремня F0 должна обеспечивать передачу полезной нагрузки за счет сил трения между ремнем и шкивом. При этом натяжение должно сохраняться долгое время при удовлетворительной долговечности ремня. С ростом силы
несущая способность ременной передачи возрастает, однако срок службы уменьшается.
Соотношение сил натяжения ведущей и ведомой ветвей ремня без учета центробежных сил определяют по уравнению Эйлера, выведенному им для нерастяжимой нити, скользящей по цилиндру. Записываем условия равновесия по осям x и y элемента ремня с центральным углом da. Принимаем, что
и
, тогда,
Рис.
где dFn – нормальная сила реакции, действующая на элемент ремня от шкива; f –коэффициент трения ремня по шкиву. Из имеем:
Подставим значение
в пренебрегая членом
в связи с его малостью. Тогда
и
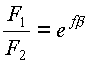
После потенцирования имеем:
где e – основание натурального логарифма, b - угол, на котором происходит упругое скольжение, при номинальной нагрузке
.
Полученная зависимость показывает, что отношение F1/F2 сильно зависит от коэффициента трения ремня на шкиве и угла
. Но эти величины являются случайными, в условиях эксплуатации могут принимать весьма различные значения из числа возможных, поэтому силы натяжения ветвей в особых случаях уточняют экспериментально.
Обозначая
и учитывая, что
, имеем
и
Ремни обычно неоднородны по сечению. Условно их рассчитывают по номинальным (средним) напряжениям, относя силы ко всей площади поперечного сечения ремня и принимая справедливым закон Гука.
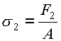
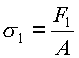
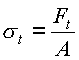
Нормальное напряжение от окружной силы Ft:
где A – площадь сечения ремня, мм2.
Нормальное напряжение от предварительного натяжения ремня
.
Нормальные напряжения в ведущей и ведомой ветвях:
и
.
Центробежная сила вызывает нормальные напряжения в ремне, как во вращающемся кольце:
где s ц – нормальные напряжения от центробежной силы в ремне, МПа; v1 – скорость ремня, м/с;
- плотность материала ремня, кг/м3.
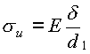
При изгибе ремня на шкиве диаметром d относительное удлинение наружных волокон ремня как изогнутого бруса равно 2y/d, где y – расстояние от нейтральной линии в нормальном сечении ремня до наиболее удаленных от него растянутых волокон. Обычно толщина ремня
. Наибольшие напряжения изгиба возникают на малом шкиве и равны:
Максимальные суммарные напряжения возникают на дуге сцепления ремня с малым (ведущим) шкивом:
Рис.
Эти напряжения используют в расчетах ремня на долговечность, так как при работе передачи в ремне возникают значительные циклические напряжения изгиба и в меньшей мере циклические напряжения растяжения из-за разности натяжения ведущей и ведомой ветвей ремня.
Характеристики
Тип файла документ
Документы такого типа открываются такими программами, как Microsoft Office Word на компьютерах Windows, Apple Pages на компьютерах Mac, Open Office - бесплатная альтернатива на различных платформах, в том числе Linux. Наиболее простым и современным решением будут Google документы, так как открываются онлайн без скачивания прямо в браузере на любой платформе. Существуют российские качественные аналоги, например от Яндекса.
Будьте внимательны на мобильных устройствах, так как там используются упрощённый функционал даже в официальном приложении от Microsoft, поэтому для просмотра скачивайте PDF-версию. А если нужно редактировать файл, то используйте оригинальный файл.
Файлы такого типа обычно разбиты на страницы, а текст может быть форматированным (жирный, курсив, выбор шрифта, таблицы и т.п.), а также в него можно добавлять изображения. Формат идеально подходит для рефератов, докладов и РПЗ курсовых проектов, которые необходимо распечатать. Кстати перед печатью также сохраняйте файл в PDF, так как принтер может начудить со шрифтами.
















