126309 (578057), страница 3
Текст из файла (страница 3)
где
- скорость движения цепи, м/с.
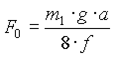
Натяжение от силы тяжести при горизонтальном (и близком к нему) положении линии, соединяющей оси звездочек, определяется как для гибкой нерастяжимой нити
где
- погонная масса цепи, кг/м;
- ускорение свободного падения,
;
- межосевое расстояние, м;
- стрела провисания цепи, мм.
При вертикальном (и близком к нему) положении линии центров звездочек
Если ветви ремней параллельны, сила на валы
. В общем случае, если ветви цепи не параллельны, силу на вал определяют, как и для ременной передачи, из треугольника ОАВ (рис. 14.9). Расчетная сила, действующая на валы передачи
где
- коэффициент, учитывающий вес цепи, для горизонтальной передачи принимают
, для вертикальной
.
При работе цепной передачи движение цепи определяется движением шарнира звена, вошедшего последним в зацепление с ведущей звездочкой. Скорость шарнира
(м/с) при постоянной угловой скорости ведущей звездочки
, 1/с
где
- делительный диаметр малой (ведущей) звездочки, мм.
В произвольном угловом положении звездочки, когда ведущий шарнир повернут относительно перпендикуляра к ведущей ветви цепи под углом
, скорость цепи
Так как угол
изменяется в пределах от 0 до
, то скорость цепи изменяется от
до
.
Поперечная скорость цепи
Мгновенная угловая скорость ведомой звездочки
где
- делительный диаметр большой (ведомой) звездочки, мм;
- угол поворота шарнира на ведомой звездочке (по отношению к перпендикуляру на ведущую ветвь цепи), угол
изменяется в пределах от 0 до
.
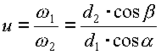
Мгновенное передаточное отношение :
Из зависимости следует:
Непостоянство скорости цепи вызывает динамические нагрузки и удары, не позволяет использовать цепные передачи в приводах с высокими требованиями по кинематической точности вращения валов.
2.6 Геометрия
Мощности, для передачи которых применяют цепные передачи, изменяются от долей до сотен киловатт, обычно до 100 кВт; межосевые расстояния достигают 8 м.
Частоты вращения звездочек и скорость цепи ограничиваются величиной силы удара в зацеплении, износом шарниров и шумом передачи. Скорость цепи обычно до 15 м/с, но в передачах высокого качества при эффективном смазывании достигает 35 м/с.
Средняя скорость цепи, м/c,
где
– число зубьев малой звездочки;
– частота ее вращения, мин-1;
P – шаг цепи, мм.
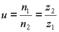
Передаточное отношение определяют из условия равенства средней скорости цепи на звездочках :
Отсюда передаточное отношение
Здесь
- число зубьев большой (ведомой) звездочки;
- частота ее вращения, мин-1.
Передаточное отношение ограничивается габаритами передачи, диаметром большой звездочки, малостью угла охвата цепью малой звездочки. Обычно u не превышает 7.
Числа зубьев звездочек. Минимальные числа зубьев звездочек ограничиваются износом шарниров, динамическими нагрузками и шумом передачи. Чем меньше число зубьев звездочки, тем больше износ, так как угол поворота звена при набегании цепи на звездочку и сбегании с нее равен
.
Минимальное число зубьев малой звездочки для силовых передач общего назначения выбирают по эмпирической зависимости
При низких частотах вращения
может быть уменьшено до 13. Для высокоскоростных передач с
м/с принимают
.
Число зубьев большой (ведомой) звездочки:
По мере износа шаг цепи увеличивается и ее шарниры поднимаются по профилю зуба звездочки на больший диаметр, что может привести в конечном счете к выходу цепи из зацепления со звездочкой. При этом предельно допустимое увеличение шага цепи тем меньше, чем больше число зубьев звездочки. Поэтому максимальное число зубьев большой звездочки:
Предпочтительно принимать нечетное число зубьев звездочек (особенно малой), что в сочетании с четным числом звеньев цепи способствует равномерному износу шарниров цепи и зубьев звездочек. По этой же причине желательно выбирать число зубьев малой звездочки из ряда простых чисел.
Делительные диаметры звездочек определяют по расположению центров шарниров цепи на зубьях звездочек. Из рассмотрения треугольника АОВ на схеме малой звездочки цепной передачи следует:
где
- угловой шаг,
,
- число зубьев малой звездочки. Тогда делительные диаметры малой и большой звездочек (мм):
Межосевое расстояние и длина цепи. Минимальное межосевое расстояние определяют из условий:
-
размещения звездочек
где
и
- наружные диаметры звездочек.
- угол охвата цепью малой звездочки.
Оптимальное межосевое расстояние
При
наблюдается ускоренный износ шарниров цепи в связи с повышенной частотой входа каждого шарнира в зацепление. При
даже небольшой износ каждого шарнира цепи вызывает значительное удлинение цепи, что приводит к нарушению зацепления цепи с зубьями звездочек. Обычно межосевое расстояние ограничивают величиной
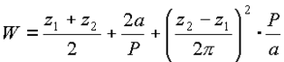
Формула для определения длины цепи получена по аналогии с формулой для длины ремня, число звеньев получают делением длины цепи на шаг. Число звеньев цепи
зависит от межосевого расстояния
, шага
и чисел зубьев звездочек
и
:
Полученное значение
округляют до ближайшего большего четного числа. Четное число звеньев цепи позволяет избежать применения переходных звеньев при соединении концов цепи.
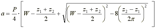
Межосевое расстояние (без учета провисания цепи) определяют из как больший корень квадратного уравнения:
Цепь должна иметь некоторое провисание во избежание повышенной нагрузки на цепь и валы от силы натяжения и радиального биения звездочек. Для этого межосевое расстояние уменьшают на (0,002…0,004)
.
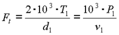
Окружная сила на звездочках (Н):
где
- вращающий момент на ведущей звездочке,
,
- делительный диаметр ведущей звездочки,
,
- мощность на ведущей звездочке,
,
2.7 Критерии работоспособности
Цепные передачи выходят из строя по следующим причинам:
1.Износ шарниров, приводящий к удлинению цепи, увеличению шага цепи и, как следствие, к нарушению ее зацепления с зубьями звездочек.
2.Усталостное разрушение пластин по проушинам, характерное для закрытых быстроходных тяжелонагруженных передач, работающих при хорошем смазывании, когда износ шарниров не является определяющим.
3.Проворачивание валиков и втулок в пластинах в местах запрессовки, связанное с низким качеством изготовления.
4.Усталостное выкрашивание и разрушение роликов.
5.Недопустимое провисание ведомой ветви цепи, характерное для передач с нерегулируемым межосевым расстоянием при отсутствии натяжных устройств.
6.Износ зубьев звездочек.
Ресурс цепных передач в стационарных машинах должен составлять 10…15 тыс. ч., он чаще всего ограничивается долговечностью цепи.
3.Список источников
-
http://www.bmstu.ru/~rk3/okdm/lect/lect_13.htm
-
http://www.bmstu.ru/~rk3/okdm/lect/lect_14.htm
-
ru.wikipedia.org/wiki/Цепная_передача
-
Детали машин: Учебник для студентов машиностроительных и механических специальностей вузов. – 4-е изд., перераб. и доп. – М.: Машиностроение, 1989. – 496 с.
-
Под ред. Скороходова Е. А. Общетехнический справочник.. — М.: Машиностроение, 1982. — С. 416.
-
Гулиа Н. В., Клоков В. Г., Юрков С. А. Детали машин.. — М.: Издательский центр "Академия", 2004. — С. 416. — ISBN 5-7695-1384-5
Размещено на Allbest.ru
















