126309 (578057), страница 2
Текст из файла (страница 2)
1.5 Геометрия
Основные геометрические параметры
и
— диаметры ведущего и ведомого шкивов; а — межосевое расстояние; В — ширина шкива; L — длина ремня;
— угол обхвата;
— угол между ветвями ремня (рис.6).
Рис. Основные геометрические параметры ременных передач
Углы
и
, соответствующие дугам, по которым происходит касание ремня и обода шкива, называют углами обхвата. Перечисленные геометрические параметры являются общими для всех типов ременных передач.
1.5.1 Расчет геометрических параметров
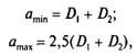
1. Межосевое расстояние
где L — расчетная длина ремня; D1 и D2 — диаметры ведущего и ведомого шкивов.
Для нормальной работы плоскоременной передачи должно соблюдаться условие:
при этом а должно быть не более 15 м.
2. Расчетная длина ремня
на сшивку добавляют еще 100—300 мм.
3. Диаметр ведущего шкива (малого), мм
где
— мощность на ведущем валу, кВт;
— угловая скорость ведущего вала, рад/с.
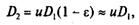
4. Диаметр ведомого шкива
(5)
где и — передаточное число;
— коэффициент скольжения.
При диаметре D > 300 мм шкивы изготовляют с четырьмя—шестью спицами. Для шкивов, имеющих отклонения от стандартных размеров, производят расчет на прочность. Обод рассчитывают на прочность как свободно вращающееся кольцо под действием сил инерции; спицы рассчитывают на изгиб.
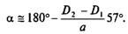
1.5.2 Допускаемые углы обхвата ременных передач
Вследствие вытяжки и провисания ремня при эксплуатации углы обхвата
измеряются приближенно:
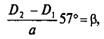
В формуле выражение
где
— угол между ветвями ремня (для плоскоременной передачи (
< 30°)). Угол
между ветвями ремня влияет на величину углов обхвата (
и
). Рекомендуется принимать также значение диаметров шкивов (
и
), чтобы соблюдалось условие
где для плоскоременной передачи
= 150°, для клиноременной —
= 120°.
1.6 Расчет долговечности ремня
Ремень испытывает переменные циклические напряжения
, приводящие к усталостным повреждениям ремня и выходу его из строя. Кривые усталости Велера для ремней приближенно имеют вид
где m и C – постоянные, определяемые экспериментально; max – максимальные нормальные напряжения в ремне; NE – эквивалентное число циклов нагружения за срок службы ремня.
Здесь zш –число шкивов в передаче; Lh – ресурс ремня, ч.; i – коэффициент, учитывающий разную деформацию изгиба ремня на меньшем и большем шкивах; L – длина ремня, м. При передаточном отношении
, с увеличением передаточного отношения влияние изгиба на большем шкиве уменьшается, а
увеличивается, приближаясь к значению zш. Расчет ремней на долговечность требует накопления экспериментальных данных о параметрах кривых усталости, в связи с чем в настоящее время этот расчет пока применяют не для всех типов передач.
2.Цепные передачи
2.1 Общие сведения
Цепные передачи – это передачи зацеплением и гибкой связью, состоящие из ведущей 1 и ведомой 2 звездочек и охватывающей их цепи 3. В состав передачи также часто входят натяжные и смазочные устройства, ограждения. Возможно применение нескольких ведомых звездочек. Цепь состоит из соединенных шарнирно звеньев, за счет чего обеспечивается гибкость цепи. Передачи используют в сельскохозяйственных, подъемно-транспортных, текстильных и полиграфических машинах, мотоциклах, велосипедах, автомобилях, нефтебуровом оборудовании.
2.2 Типы цепей
Цепи по назначению разделяют на три группы:
-
грузовые – используют для закрепления грузов;
-
тяговые – применяют для перемещения грузов в машинах непрерывного транспорта (конвейерах, подъемниках, эскалаторах и др.);
-
приводные – используют для передачи движения.
Основные типы цепей: грузовые круглозвенная, пластинчатая шарнирная; тяговая пластинчатая; приводные роликовая однорядная, роликовая двухрядная, роликовая с изогнутыми пластинами, втулочная, зубчатая с внутренними направляющими пластинами, зубчатая с боковыми направляющими пластинами, фасоннозвенная крючковая, фасоннозвенная втулочно-штыревая. Грузовые и тяговые цепи подробно рассматривают в курсе подъемно- транспортных машин, в данном курсе основное внимание уделяется приводным цепям.
Основной геометрической характеристикой цепи является шаг P – расстояние между осями соседних шарниров. Большинство стандартных цепей имеют шаг, кратный 1 дюйму (25,4 мм).
Наиболее широко применяют роликовые цепи , которые образуются из последовательно чередующихся внутренних и наружных звеньев. Внутренние звенья состоят из внутренних пластин 1 и запрессованных в их отверстия гладких втулок 2, на которых свободно вращаются ролики 3. Наружные звенья состоят из наружных пластин 4 и запрессованных в их отверстия валиков 5. Концы валиков после сборки расклепывают. Благодаря натягу в соединениях наружных пластин с валиками и внутренних пластин со втулками и зазору между валиком и втулкой образуется шарнирное соединение. Для повышения сопротивления усталости значения натягов принимают значительно бόльшими, чем предусмотрено стандартными посадками. Пластическое деформирование пластин в зоне отверстий, неизбежное при столь больших натягах, существенно повышает сопротивление усталости пластин (в 1,6…1,7 раза). Многорядные цепи с числом рядов от двух до восьмисобирают из деталей с такими же размерами, что и однорядные, кроме валиков имеющих соответственно большую длину. Нагрузочная способность цепей почти прямо пропорциональна числу рядов, что позволяет в передачах с многорядными цепями уменьшить шаг , радиальные габариты звездочек и динамические нагрузки.
При больших динамических, в частности ударных нагрузках, частых реверсах применяют роликовые цепи с изогнутыми пластинами В связи с тем, что пластины работают на изгиб, они обладают повышенной податливостью.
При работе цепных передач в условиях, вызывающих возрастание трения в шарнирах (запыленные и химически активные среды) используют открытошарнирные пластинчатые цепи. Будучи открытым, шарнир такой цепи самоочищается от попадающих в него абразивных частиц. Наружные звенья такой цепи не отличаются от аналогичных звеньев роликовой цепи. Внутренние звенья образуются из пластин 2, имеющих отверстия в форме восьмерки, и фасонных валиков 3, заменяющих втулку. Валик 4 свободно проходит через отверстие в пластине 2 и взаимодействует с фасонным валиком 3. Замена тонкостенных втулки и ролика не только удешевляет цепь, но и резко повышает сопротивление усталости деталей цепи. Благодаря этому открытошарнирные цепи оказались значительно долговечнее роликовых при работе в тяжелонагруженных передачах.
Зубчатые цепи к настоящему времени вытеснены более дешевыми и технологичными прецизионными роликовыми цепями, которые не уступают зубчатым по кинематической точности и шумовым характеристикам. Зубчатые цепи используют преимущественно для замены разрушившихся цепей в старом оборудовании. Из-за ограниченности применения зубчатые цепи не рассматриваются.
Соединение концов роликовых, втулочных и открытошарнирных цепей в замкнутый контур осуществляют с помощью соединительных и переходных звеньев. Соединительное звено, используемое при четном числе звеньев цепи, отличается от обычного наружного тем, что одна из его пластин надевается на концы валиков свободно и фиксируется на валиках замками и шплинтами. В случае необходимости использования цепи с нечетным числом звеньев применяют изогнутые переходные звенья, которые являются слабым местом цепи.
В обозначении приводных цепей указывают число рядов цепи (если оно больше одного), тип цепи, ее шаг и разрушающую силу. Пример обозначения в соответствии с ГОСТ 13568-75 - 2ПР-25,4-114000 – двухрядная приводная роликовая цепь с шагом
25,4 мм и разрушающей силой
114000 Н.
2.3 Достоинства и недостатки
Достоинства
Недостатки
Возможность применения в значительном диапазоне межосевых расстояний;
Неизбежность износа шарниров цепи из-за отсутствия условий для жидкостного трения;
Меньшие, чем у ременных передач, габариты;
Непостоянство скорости движения цепи, особенно при малых числах зубьев звездочек;
Отсутствие проскальзывания;
Необходимость более точной установки валов, чем для клиноременной передачи;
Относительно малые силы, действующие на валы;
Необходимость смазывания и регулировки.
Возможность передачи движения нескольким звездочкам;
Высокий КПД;
Возможность легкой замены цепи.
2.4 Область применения
Цепная передача применяются в сельзкохозяйственных машинах, велосипедах, мотоциклах, автомобилях, строительно-дорожных машинах, в нефтяном оборудовании и т.д. Преимущественное распространение имеют открытые Цепная передача, работающие без смазки, или с периодической ручной смазкой, с однорядными втулочно-роликовыми цепями, непосредственно встроенные в машины. Диапозон применения цепных передач намного больше, чем ременных (у цепных передач намного выше диапозон межосевых расстояний, менее жесткие требования к габаритам).
2.5 Кинематика
В ведущей ветви цепи в процессе стационарной работы передачи действует постоянная сила
, состоящая из окружной силы
и силы натяжения ведомой ветви
.
Сила натяжения ведомой ветви
где
- натяжение цепи от силы тяжести;
- натяжение от центробежных сил.
Натяжение цепи от действия центробежных сил определяют по аналогии с ременными передачами
















