курсовая по антеннам (561178)
Текст из файла
МОСКОВСКИЙ ГОСУДАРСТВЕННЫЙ АВИАЦИОННЫЙ ИНСТИТУТ
(ТЕХНИЧЕСКИЙ УНИВЕРСИТЕТ)
КАФЕДРА 406
Курсовая работа
по дисциплине «антенны и устройства свч»
тема: расчёт и проектирование зеркальной антенны.
Вариант №40.
ВЫПОЛНИЛ:
Ратов Дмитрий Викторович
ГРУППА: 04-315
ПРОВЕРИЛ:
Пономарёв Леонид Иванович
МОСКВА – 2003
Введение.
В настоящее время зеркальные антенны широко применяются в радиостанциях различного назначения - радиолокационных, навигационных, радиорелейных и в ряде других радиосистем СВЧ диапазона.
Зеркальные антенны являются антеннами оптического типа. Они состоят из слабонаправленного облучателя и металлического отражателя (зеркала). Форма поверхности зеркала выбирается такой, чтобы сферический фронт волны, падающей от облучателя на зеркало, после отражения преобразовывался в плоский фронт волны. Лучи, расходящиеся от облучателя, после отражения от зеркала образуют параллельный пучок, формируя остронаправленную диаграмму направленности шириной от десятка градусов до долей градуса.
Широкоугольное сканирование в однозеркальных антеннах осуществляется механическим вращением всей антенной системы в заданной плоскости.
Зеркальные антенны нашли широкое применение благодаря следующим свойствам: сравнительно простоте конструкции, надежности работы, хорошим диапазонным свойствам, способности формировать диаграммы направленности различной формы и ряда других положительных особенностей.
Однако зеркальные антенны обладают рядом существенных недостатков: затенение облучателем поля зеркальной антенны, механический способ сканирования, который является единственно возможным в однозеркальных антеннах, не обеспечивает высокой скорости управления диаграммой направленности при большом весе и сложности механизма вращения, уровень боковых и задних лепестков в диаграмме направленности однозеркальных антенн трудно поддается ослаблению.
Анализ задания.
В процессе проектирования необходимо выбрать оптимальную схему и тип облучающей системы, определить геометрические размеры зеркала, амплитудное распределение поля в раскрыве зеркала, рассчитать диаграмму направленности антенны, её коэффициент усиления, коэффициент полезного действия и разработать конструкцию в целом.
Рупорный облучатель является наиболее распространенным облучателем зеркальных антенн сантиметрового диапазона. Объясняется это возможностью получения диаграммы направленности заданной ширины в обеих плоскостях, большой диапазонностью и простотой их конструкции. Однако применение данного облучателя осложняется тем, что волновод, питающий рупор, вызывает заметное затенение зеркала и искажает диаграмму направленности антенны. Облучатель зеркальной антенны имеет фазовый центр, который располагается в фокусе параболоида вращения.
Электрическая схема антенны.
Расчёт основных характеристик и геометрических размеров антенны.
Рабочая длина волны: = 3,5 см.
Ширина диаграммы направленности: 2 7.
Допустимый уровень боковых лепестков: q = -24 дБ.
Полоса частот: 5%
Геометрические размеры зеркала:
По уровню боковых лепестков выбираем закон изменения поля в раскрыве зеркала:
0,35 - нормированное значение поля на краю раскрыва.
При этом распределении, ширина диаграммы направленности: 266,3*/2R.
Откуда R=16,6 см – радиус параболоида.
S=R2=865,7 см2 – площадь раскрыва зеркала.
При аппроксимации диаграммы направленности рупорного облучателя функцией cosn() максимальная эффективность зеркальной антенны g=0,82 достигается при =65, если n=1.
2-угол раскрыва зеркала.
Фокусное расстояние зеркальной антенны:
f=12,7 см.
Глубина зеркала:
h=5,4 см.
Диаграмма направленности рупорного облучателя:
Амплитудное распределение поля в раскрыве зеркальной антенны пропорционально диаграмме направленности облучателя.
Координата раскрыва зеркала, соответствующая углу , рассчитывается так:
Исходя из этого, получаем формулу для расчета диаграммы направленности облучателя:
Диаграмма направленности рупорного облучателя, построенная по известному закону изменения поля в раскрыве зеркала:
Ширина диаграммы направленности рупорного облучателя: 2110.
Найдём размеры раскрыва рупора с оптимальной длинной
в плоскости Н: в плоскости Е:
a =2,55 см. b =1,7 см.
Продольное сечение рупорного облучателя:
Оптимальная длинна рупорного
облучателя:
Rопт=0,52 см.
Зная размеры раскрыва рупорного облучателя, построим амплитудную диаграмму направленности рупора в плоскостях Е и Н.
Диаграмма направленности рупорного облучателя в плоскости Н:
Диаграмма направленности рупорного облучателя в плоскости Н, построенная в полярной системе координат, и её аппроксимация функцией cosn() при n=1:
Диаграмма направленности рупорного облучателя в плоскости Е:
f( - диаграмма направленности облучателя в плоскости Е.
F() - диаграмма направленности облучателя в плоскости Н.
Диаграммы направленности рупорного облучателя в плоскостях Е и Н практически совпадают, но так как в плоскости Е диаграмма направленности рупора шире чем в плоскости Н то расчет амплитудного распределения поля вдоль раскрыва антенны будем производить, используя формулу для диаграммы направленности облучателя в плоскости Е.
Амплитудное распределение поля вдоль зеркала:
Е(х)-амплитудное распределение поля в раскрыве зеркала в зависимости от диаграммы направленности рупорного облучателя имеет вид:
,где F()-диаграмма направленности облучателя:
Значение угла , соответствующее координате раскрыва зеркала x, рассчитывается так:
После подстановки, амплитудное распределение поля в раскрыве зеркала принимает вид:
A(x) - аппроксимирующая функция.
Амплитудное распределение поля в раскрыве зеркала, построенное в зависимости от диаграммы направленности рупорного облучателя, практически совпадает с аппроксимирующей функцией, что свидетельствует о правильном выборе самой аппроксимирующей функции и геометрических размеров зеркальной антенны.
Диаграмма направленности зеркальной антенны:
J0, J1-функции Бесселя нулевого и первого порядка.
Диаграмма направленности антенны при =0=3,5 см.
Ширина диаграммы направленности: 26,88.
Уровень боковых лепестков: q = -27,23 дБ.
Диаграмма направленности антенны при =5%=3,325 см.
Ширина диаграммы направленности: 26,53.
Уровень боковых лепестков не изменился.
Диаграмма направленности антенны при=5%=3,675 см.
Ширина диаграммы направленности: 27,3.
Уровень боковых лепестков не изменился.
При изменении рабочей длинны волны в пределах заданной полосы частот происходит незначительное расширение(сужение) диаграммы направленности при сохранении уровня боковых лепестков.
Коэффициент полезного действия антенны (КПД):
Так как диаграмма направленности рупорного облучателя симметрична относительно оси антенны и может быть аппроксимирована функцией cosn(), при n=1, то коэффициент полезного действия антенны () равен:
cos2n+1(0)
= 0,925
Коэффициент усиления антенны (КУ):
КУ (G) антенны показывает во сколько раз необходимо увеличить подводимую мощность при переходе от направленной антенны к абсолютно ненаправленной антенне, чтобы получить то же значение напряженности поля в точке приема.
Коэффициент усиления зеркальной антенны равен:
S = R2 – площадь раскрыва.
- коэффициент использования поверхности (КИП) зеркальной антенны, который полностью определяется характером амплитудного распределения поля в раскрыве зеркала.
- коэффициент полезного действия антенны.
g = эффективность зеркальной антенны.
Так как угол раскрыва зеркала был выбран из условия максимальной эффективности антенны, то при g=0,82 КУ будет равен:
G = 728,205.
КИП антенны: = 0,887.
Коэффициент направленного действия антенны (КНД):
КНД (D) является мерой концентрации излучения в пространстве, которое осуществляется антенной. КНД – это число, показывающее во сколько раз необходимо увеличить мощность излучения при переходе от данной антенны к абсолютно ненаправленной антенне, чтобы сохранить неизменной напряженность поля в точке приема.
Коэффициент направленного действия зеркальной антенны равен:
D = 787,659.
Точность изготовления антенны:
Технические допуски на точность изготовления зеркальных антенн определяются допустимой величиной отклонения фазового фронта в раскрыве зеркала от синфазного. Источниками фазовых ошибок в раскрыве антенны могут быть:
-
отклонение формы зеркала от расчетной;
-
смещение фазового центра облучателя из фокуса параболоида;
-
отклонение волнового фронта поля облучателя от сферического;
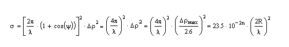
При отклонении реального профиля зеркала от расчетного на величину фазовая ошибка , возникающая в раскрыве зеркала, равна:
При <, искажения диаграммы направленности будут незначительны, откуда получаем следующий допуск на точность изготовления зеркала:
Максимальная точность выполнения профиля зеркала должна быть у вершины:
0,211 см
При смещении из фокуса фазового центра облучателя вдоль оси параболоида, в раскрыве зеркала возникает ошибка:
Полагая <, получаем допустимое смещение облучателя из фокуса:
, где 0=65 – угол раскрыва зеркала.
0,758 см
При смещении облучателя вдоль оси параболоида фазовая ошибка в раскрыве зеркала имеет квадратичный характер. Поэтому направление основного лепестка диаграммы направленности остается неизменным, увеличивается лишь его ширина и возрастает уровень бокового излучения.
При небольшом смещении облучателя в направлении, перпендикулярном оси параболоида, в раскрыве зеркала возникает линейная фазовая ошибка, что приводит к отклонению диаграммы направленности зеркальной антенны от оси параболоида в сторону, противоположную смещению облучателя, на угол
=2,62.
Форма диаграммы направленности при этом не меняется, так как <2,
где 27 – ширина диаграммы направленности антенны при несмещенном облучателе.
Коэффициент усиления антенны с учетом неточности изготовления зеркала:
При практической реализации зеркало антенны всегда выполняется с некоторыми погрешностями. Отклонение профиля реального зеркала от идеального при правильно организованном технологическом процессе, как правило, имеет случайный характер. Максимальная величина случайной ошибки определяется уровнем технологии и для зеркальных антенн с вероятностью 99% может быть определена следующим образом:
n=3 для обычного серийного производства; n=4…5 – при специальной технологии.
Можно считать, что отклонение профиля подчиняется нормальному закону распределения с нулевым средним значением и дисперсией ()2. При этом с вероятностью 99% максимальное отклонение профиля равно:
Дисперсия фазовой ошибки в раскрыве, обязанная случайному характеру , равна:
2 =0,0021 при n=3.
С учетом этого коэффициент усиления зеркальной антенны будет равен:
S=R2 – площадь раскрыва; g=0,82 – эффективность зеркальной антенны.
G = 726,677.
Расчет фидерного тракта антенны.
Параметры прямоугольного волновода:
В качестве фидерной линии в сантиметровом диапазоне волн обычно применяют прямоугольные волноводы с волной Н10. Поперечное сечение такого волновода имеет вид:
При этом критическая длинна волны определяется так: кр=2а.
Выбирая размеры поперечного сечения волновода, исходят из условия нахождения основной волны Н10 в докритическом режиме, а высших типов волн, в частности Н20 и Н01, в закритическом режиме. Из этих условий следуют неравенства:
-
размер широкой стенки: 0,6
размер узкой стенки: b</2; b<1,75см.
Определив по приведенным формулам ориентировочные размеры a и b, далее по справочнику выбираем стандартный волновод: a=23 мм; b=10мм.
Материал стенок волновода – латунь.
Максимальная (предельная) мощность, пропускаемая волноводом с волной Н10, определяется соотношением:
Епред=30 кВ/см – напряженность электрического поля, при которой происходит пробой в воздухе.
Допустимой мощностью называют предельную мощность пропускания, умноженную на коэффициент запаса электрической прочности, учитывающий неоднородности, вызывающие местные концентрации электрического поля, климатические факторы и наличие стоячей волны. Допустимая мощность Рдоп определяется как: Рдоп = (1/3…1/5)Рпред.
Рдоп=178 кВт.
При повороте волновода на 900, производить скругление изгиба не требуется, так как данная антенна работает в достаточно узкой полосе частот.
Параметры круглого волновода:
Осевая симметрия поля, необходимая для сохранения постоянства передачи электромагнитной энергии при вращении подвижной части волноводного тракта относительно неподвижного, имеется в круглых волноводах с симметричными волнами типа Е01 и Н01.
Поперечное сечение такого волновода имеет вид:
Из-за сложности возбуждения волны Н01 в круглом волноводе в чистом виде (одновременно возбуждаются волны типа Н11, Е01, Н21,Е11) использование вращающихся сочленений на основе данного типа волны не получило широкого практического применения.
Диаметр основного круглого волновода сочленения D определяется из условия распространения волны Е01 (D>0,76) и затухания высших типов волн (D<0,97), т.е.
2,66 см D = 3,34 см. R = 1,67 см. Проверка круглого волновода на максимальную пропускаемую мощность не производится, так как в прямоугольном волноводе с волной Н10 электрический пробой наступает быстрее, чем пробой в круглом волноводе при любом типе волны. Дроссельно-фланцевые соединения: Для соединения отрезков волноводных линий передачи используются дроссельные соединения в круглых, вращающихся друг относительно друга, волноводах и контактные фланцевые соединения в прямоугольных волноводах. В качестве дроссельной секции в круглом волноводе применяется полуволновая замкнутая линия, состоящая из двух параллельных четвертьволновых участков, длиной см., с разными волновыми сопротивлениями. Использование притертого фланца при тщательной обработке и строгой параллельности фланцевых поверхностей позволяет получить в месте соединения двух отрезков волноводных линий хороший электрический контакт. Переход от прямоугольного волновода к круглому: Для согласования волнового сопротивления прямоугольного волновода с круглым волноводом используются индуктивные диафрагмы, которые впаиваются с двух сторон в прорези в узких стенках прямоугольного волновода, емкостные диафрагмы в виде кольцевого выступа в круглом волноводе, индуктивные штыри, впаиваемые в прорези в широкой стенке прямоугольного волновода, положение и размеры которых подбираются экспериментально. Подавление паразитных типов волн: При переходе от прямоугольного волновода с волной Н10 к круглому волноводу в последнем возникают волны: рабочая - Е01 и более низкая паразитная - Н11. Волна Н11 имеет несимметричную структуру поля и её энергия в круглом волноводе равна Схема сочленения с «гасящими объемами» и резонансными кольцами имеет вид: «Гасящий объем» представляет собой круглый волновод, включаемый последовательно с возбуждающим прямоугольным и основным круглым волноводами сочленения. Если длину волновода сделать кратной целому числу полуволн типа Е01, то входное сопротивление волноводов для волны Е01 будет мало, и эта волна без затухания будет распространяться в основном круглом волноводе. Если одновременно сделать длину волновода кратной нечетному числу четвертей длин волн для волны Н11, то входное сопротивление гасящего волновода для этой волны будет велико, и волна Н11 в основном круглом волноводе распространяться не будет. Следовательно, длина «гасящего объема» определяется из условий: l=; l=3, где 1=5,86 см; 1=4,44см – длины волн в волноводе. После подстановки получаем: l=3 см. Диаметр гасящего волновода определяется из соотношения: d=3,1 см. Схема установки резонансных колец в круглом волноводе: Принцип действия резонансных колец заключается в следующем. Линии электрического вектора перпендикулярны кольцу, поэтому при точной ориентировке кольца в волноводе в нем не возбуждаются токи и волна Е10 распространяется без потерь. В то же время волна Н11 возбуждает в кольце токи, имеющие резонанс при длине кольца, равной длине волны в воздухе. Текущие в кольце токи возбуждают в волноводе волну типа Н11 с фазой поля, сдвинутой на 1800 по отношению к фазе возбуждающего поля. Поэтому в круглом волноводе за кольцом поля волны Н11 взаимно уничтожаются. r0 = 0,0655 см - радиус круглой проволоки для изготовления колец. r = 0,69 см – внутренний радиус кольца. L=(2n+1) - расстояние между фильтрующими кольцами; n=1,2…. L=5,55 см. Расстояние от кольца до дна основного круглого волновода выбирается из конструктивных соображений. Так как оно больше четверти длины волны Н11, то практически не влияет на резонансную частоту кольца. L1=2,2 см - расстояние от кольца до дна основного круглого волновода. Список литературы. Расчет антенн СВЧ. Пособие к курсовому проектированию под редакцией Воскресенского Д. И, часть 1. МАИ, 1973. Пономарев Л. И. Апертурные антенны СВЧ. МАИ, 1983. Расчет и конструирование вращающихся сочленений. Пособие к курсовому проектированию под редакцией Мякишева Б. Я. МАИ, 1962. Фельдштейн, Явич. Справочник по элементам волноводной техники. «Советское радио», 1967. Воскресенский, Гостюхин, Пономарев, Максимов. Антенны и устройства СВЧ. МАИ, 1999.
1%, поэтому необходимы специальные устройства для гашения этой волны (допустимое содержание паразитных волн составляет 0,1%). В конструкциях таких сочленений для подавления паразитных волн широко применяют «гасящие объемы» и резонансные кольца.
Характеристики
Тип файла документ
Документы такого типа открываются такими программами, как Microsoft Office Word на компьютерах Windows, Apple Pages на компьютерах Mac, Open Office - бесплатная альтернатива на различных платформах, в том числе Linux. Наиболее простым и современным решением будут Google документы, так как открываются онлайн без скачивания прямо в браузере на любой платформе. Существуют российские качественные аналоги, например от Яндекса.
Будьте внимательны на мобильных устройствах, так как там используются упрощённый функционал даже в официальном приложении от Microsoft, поэтому для просмотра скачивайте PDF-версию. А если нужно редактировать файл, то используйте оригинальный файл.
Файлы такого типа обычно разбиты на страницы, а текст может быть форматированным (жирный, курсив, выбор шрифта, таблицы и т.п.), а также в него можно добавлять изображения. Формат идеально подходит для рефератов, докладов и РПЗ курсовых проектов, которые необходимо распечатать. Кстати перед печатью также сохраняйте файл в PDF, так как принтер может начудить со шрифтами.
















