DEN (561168)
Текст из файла
МОСКОВСКИЙ ГОСУДАРСТВЕННЫЙ АВИАЦИОННЫЙ ИНСТИТУТ
(ТЕХНИЧЕСКИЙ УНИВЕРСИТЕТ)
КАФЕДРА 406
Курсовая работа
по дисциплине «антенны и устройства свч»
тема: расчёт и проектирование зеркальной антенны.
ВЫПОЛНИЛ:
Лизунков Д. П.
ГРУППА: 04-315
ПРОВЕРИЛ:
Пономарёв Л. И.
МОСКВА – 2003
Введение.
В настоящее время зеркальные антенны широко применяются в радиостанциях различного назначения - радиолокационных, навигационных, радиорелейных и в ряде других радиосистем СВЧ диапазона.
Зеркальные антенны являются антеннами оптического типа. Они состоят из слабонаправленного облучателя и металлического отражателя (зеркала). Форма поверхности зеркала выбирается такой, чтобы сферический фронт волны, падающей от облучателя на зеркало, после отражения преобразовывался в плоский фронт волны. Лучи, расходящиеся от облучателя, после отражения от зеркала образуют параллельный пучок, формируя остронаправленную диаграмму направленности шириной от десятка градусов до долей градуса.
Широкоугольное сканирование в однозеркальных антеннах осуществляется механическим вращением всей антенной системы в заданной плоскости.
Зеркальные антенны нашли широкое применение благодаря следующим свойствам: сравнительно простоте конструкции, надежности работы, хорошим диапазонным свойствам, способности формировать диаграммы направленности различной формы и ряда других положительных особенностей.
Однако зеркальные антенны обладают рядом существенных недостатков: затенение облучателем поля зеркальной антенны, механический способ сканирования, который является единственно возможным в однозеркальных антеннах, не обеспечивает высокой скорости управления диаграммой направленности при большом весе и сложности механизма вращения, уровень боковых и задних лепестков в диаграмме направленности однозеркальных антенн трудно поддается ослаблению.
Анализ задания.
В процессе проектирования необходимо выбрать оптимальную схему и тип облучающей системы, определить геометрические размеры зеркала, амплитудное распределение поля в раскрыве зеркала, рассчитать диаграмму направленности антенны, её коэффициент усиления, коэффициент полезного действия и разработать конструкцию в целом. В сантиметровом диапазоне волн широко используется двухщелевой облучатель, который представляет собой прямоугольный волновод, заканчивающийся прямоугольным резонатором с двумя симметрично расположенными полуволновыми щелями в его широкой стенке. Недостатком двухщелевого облучателя являются ограничения на относительно небольшую пропускаемою мощность, связанную с малой электрической прочностью щелей, и узкополосность облучателя, вызванная узкополосностью щелевых излучателей.
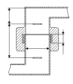
Электрическая схема антенны.
Геометрические размеры зеркала:
Исходя из уровня боковых лепестков, выбираем по таблице следующие параметры:
Ширина диаграммы направленности: 266*/2R.
Откуда R=16,5 см – радиус параболоида.
- коэффициент использования поверхности (КИП) зеркальной антенны.
N=2; =0,67 – параметры, определяющие скорость спадания амплитудного распределения к краю круглого раскрыва.
При аппроксимации диаграммы направленности щелевого облучателя функцией cos2() максимальная эффективность зеркальной антенны g=0,82 достигается при =56.
2-угол раскрыва зеркала.
Фокусное расстояние зеркальной антенны:
f=14,8 см.
Глубина зеркала:
h=4,6 см.
Схема двухщелевого облучателя.
Двухщелевой облучатель имеет простую конструкцию и небольшие размеры, что обеспечивает незначительное затенение зеркала. Излучающие щели располагаются на резонаторе прямоугольного сечения, который возбуждается прямоугольным волноводом. Щели в резонаторе прорезают симметрично относительно питающего волновода и синфазно возбуждают. Для согласования с резонатором и уменьшения влияния его на поле, создаваемое щелями, питающий прямоугольный волновод сужается по узкой стенке. Для обеспечения герметизации облучателя щели закрываются пластинками из диэлектрика. Для улучшения согласования питающего волновода и резонатора со щелями в широкую стенку резонатора напротив разветвления ввинчивается реактивный штырь.
Расстояние между щелями d подбирается таким образом, чтобы диаграммы направленности облучателя в плоскостях Е и Н мало отличались (d = /2 = 2 см.). Длина щелей выбирается резонансной (2l 0,48 = 1,92 см.). Ширина щели d1 рассчитывается из условия обеспечения необходимой электрической прочности и требуемой полосы пропускания:
P=1 кВт – подводимая к антенне мощность.
N=2 – количество щелей.
, в – длина волны в генераторе и прямоугольном волноводе.
a, b – размеры волновода.
Епред=30 кВ/см – напряженность электрического поля, при которой происходит пробой в воздухе.
d1=0,1 см.
С учетом обеспечения необходимой полосы пропускания в 4% d1=0,2 см.
Диаграмма направленности щелевого облучателя:
d=/2 – расстояние между щелями.
k=2/ - волновое число.
Диаграмма направленности облучателя в плоскости Н:
Диаграмма направленности облучателя в плоскости Е:
Амплитудное распределение поля вдоль зеркала:
Е(х)-амплитудное распределение поля в раскрыве зеркала в зависимости от диаграммы направленности рупорного облучателя имеет вид:
,где F()-диаграмма направленности облучателя:
Значение угла , соответствующее координате раскрыва зеркала x, рассчитывается так:
A(x) - аппроксимирующая функция.
После подстановки, амплитудное распределение поля в раскрыве зеркала принимает вид:
Амплитудное распределение поля в раскрыве зеркала, построенное в зависимости от диаграммы направленности облучателя, практически совпадает с аппроксимирующей функцией, что свидетельствует о правильном выборе облучающей системы.
Диаграмма направленности зеркальной антенны:
Диаграмма направленности зеркальной антенны может быть аппроксимирована следующей функцией:
J1, Jn-функции Бесселя первого и n-ого порядка.
Диаграмма направленности антенны при =0=4 см.
Ширина диаграммы направленности: 27,9.
Уровень боковых лепестков: q = 0,0468 (или -26,6 дБ).
Диаграмма направленности антенны при =4%=3,84 см.
Ширина диаграммы направленности: 27,68.
Уровень боковых лепестков не изменился.
Диаграмма направленности антенны при=4%=4,16 см.
Ширина диаграммы направленности: 28,36.
Уровень боковых лепестков не изменился.
При изменении рабочей длинны волны в пределах заданной полосы частот происходит незначительное расширение(сужение) диаграммы направленности при сохранении уровня боковых лепестков.
Коэффициент усиления антенны (КУ):
КУ (G) антенны показывает во сколько раз необходимо увеличить подводимую мощность при переходе от направленной антенны к абсолютно ненаправленной антенне, чтобы получить то же значение напряженности поля в точке приема.
Коэффициент усиления зеркальной антенны равен:
S = R2 =855,3 см2– площадь раскрыва.
- КИП антенны.
g = эффективность зеркальной антенны.
- коэффициент полезного действия антенны.
Так как угол раскрыва зеркала был выбран из условия максимальной эффективности антенны, то при g=0,82 КУ будет равен: G = 597,694.
Коэффициент направленного действия антенны (КНД):
КНД (D) является мерой концентрации излучения в пространстве, которое осуществляется антенной. КНД – это число, показывающее во сколько раз необходимо увеличить мощность излучения при переходе от данной антенны к абсолютно ненаправленной антенне, чтобы сохранить неизменной напряженность поля в точке приема.
Коэффициент направленного действия зеркальной антенны равен:
D = 641,428.
Коэффициент полезного действия антенны (КПД):
Коэффициент полезного действия может быть рассчитан как отношение КУ антенны к её КНД: G/D.
Точность изготовления антенны:
Технические допуски на точность изготовления зеркальных антенн определяются допустимой величиной отклонения фазового фронта в раскрыве зеркала от синфазного. Источниками фазовых ошибок в раскрыве антенны могут быть:
-
отклонение формы зеркала от расчетной;
-
смещение фазового центра облучателя из фокуса параболоида;
-
отклонение волнового фронта поля облучателя от сферического;
При отклонении реального профиля зеркала от расчетного на величину фазовая ошибка , возникающая в раскрыве зеркала, равна:
При <, искажения диаграммы направленности будут незначительны, откуда получаем следующий допуск на точность изготовления зеркала:
Максимальная точность выполнения профиля зеркала должна быть у вершины:
0,25 см
При смещении из фокуса фазового центра облучателя вдоль оси параболоида, в раскрыве зеркала возникает ошибка:
Полагая <, получаем допустимое смещение облучателя из фокуса:
, где 0=56 – угол раскрыва зеркала.
1,134 см
При смещении облучателя вдоль оси параболоида фазовая ошибка в раскрыве зеркала имеет квадратичный характер. Поэтому направление основного лепестка диаграммы направленности остается неизменным, увеличивается лишь его ширина и возрастает уровень бокового излучения.
При небольшом смещении облучателя в направлении, перпендикулярном оси параболоида, в раскрыве зеркала возникает линейная фазовая ошибка, что приводит к отклонению диаграммы направленности зеркальной антенны от оси параболоида в сторону, противоположную смещению облучателя, на угол
=3,94.
Форма диаграммы направленности при этом не меняется, так как <2,
где 27 – ширина диаграммы направленности антенны при несмещенном облучателе.
Коэффициент усиления антенны с учетом неточности изготовления зеркала:
При практической реализации зеркало антенны всегда выполняется с некоторыми погрешностями. Отклонение профиля реального зеркала от идеального при правильно организованном технологическом процессе, как правило, имеет случайный характер. Максимальная величина случайной ошибки определяется уровнем технологии и для зеркальных антенн с вероятностью 99% может быть определена следующим образом:
n=3 для обычного серийного производства; n=4…5 – при специальной технологии.
Можно считать, что отклонение профиля подчиняется нормальному закону распределения с нулевым средним значением и дисперсией ()2. При этом с вероятностью 99% максимальное отклонение профиля равно:
Дисперсия фазовой ошибки в раскрыве, обязанная случайному характеру , равна:
2 =0,002 при n=3.
С учетом этого коэффициент усиления зеркальной антенны будет равен:
G =596,5.
Расчет фидерного тракта антенны.
Параметры прямоугольного волновода:
В сантиметровом диапазоне волн в качестве фидерной линии применяют прямоугольные волноводы с волной Н10. Выбирая размеры поперечного сечения волновода, исходят из условия нахождения основной волны Н10 в докритическом режиме, а высших типов волн, в частности Н20 и Н01, в закритическом режиме.
При этом критическая длинна волны определяется так: кр=2а.
Размер широкой стенки волновода: 0,6 Размер узкой стенки волновода: b</2; b<2см; b=1,5см. Поперечное сечение такого волновода имеет вид: Максимальная (предельная) мощность, пропускаемая волноводом с волной Н10, определяется соотношением: Епред=30 кВ/см – напряженность электрического поля, при которой происходит пробой в воздухе. Допустимой мощностью называют предельную мощность пропускания, умноженную на коэффициент запаса электрической прочности, учитывающий неоднородности, вызывающие местные концентрации электрического поля, климатические факторы и наличие стоячей волны. Допустимая мощность Рдоп определяется как: Рдоп = (1/3…1/5)Рпред. Рдоп=400 кВт. При повороте волновода на 900, производить скругление изгиба не требуется, так как данная антенна работает в достаточно узкой полосе частот. Параметры круглого волновода: Осевая симметрия поля, необходимая для сохранения постоянства передачи электромагнитной энергии при вращении подвижной части волноводного тракта относительно неподвижного, имеется в круглых волноводах с симметричными волнами типа Е01 и Н01. Поперечное сечение такого волновода имеет вид: Из-за сложности возбуждения волны Н01 в круглом волноводе в чистом виде (одновременно возбуждаются волны типа Н11, Е01, Н21,Е11) использование вращающихся сочленений на основе данного типа волны не получило широкого практического применения. Диаметр основного круглого волновода сочленения D определяется из условия распространения волны Е01 (D>0,76) и затухания высших типов волн (D<0,97), т.е. 3,04 см D = 3,82 см. Rв = 1,91 см. Проверка круглого волновода на максимальную пропускаемую мощность не производится, так как в прямоугольном волноводе с волной Н10 электрический пробой наступает быстрее, чем пробой в круглом волноводе при любом типе волны. 1=6,7 см; 1=5,1см – длины волн в круглом волноводе. Дроссельно-фланцевые соединения: Для соединения отрезков волноводных линий передачи используются дроссельные соединения в круглых, вращающихся друг относительно друга, волноводах и контактные фланцевые соединения в прямоугольных волноводах. В качестве дроссельной секции в круглом волноводе применяется полуволновая замкнутая линия, состоящая из двух параллельных четвертьволновых участков, длиной 1,68см., с разными волновыми сопротивлениями. Использование притертого фланца при тщательной обработке и строгой параллельности фланцевых поверхностей позволяет получить в месте соединения двух отрезков волноводных линий хороший электрический контакт. Переход от прямоугольного волновода к круглому: Для согласования волнового сопротивления прямоугольного волновода с круглым волноводом используются индуктивные диафрагмы, которые впаиваются с двух сторон в прорези в узких стенках прямоугольного волновода, емкостные диафрагмы в виде кольцевого выступа в круглом волноводе, индуктивные штыри, впаиваемые в прорези в широкой стенке прямоугольного волновода, положение и размеры которых подбираются экспериментально. Подавление паразитных типов волн: При переходе от прямоугольного волновода с волной Н10 к круглому волноводу в последнем возникают волны: рабочая - Е01 и более низкая паразитная - Н11. Волна Н11 имеет несимметричную структуру поля и её энергия в круглом волноводе равна Схема сочленения с резонансными кольцами имеет вид: Схема установки резонансных колец в круглом волноводе: Принцип действия резонансных колец заключается в следующем. Линии электрического вектора перпендикулярны кольцу, поэтому при точной ориентировке кольца в волноводе в нем не возбуждаются токи и волна Е10 распространяется без потерь. В то же время волна Н11 возбуждает в кольце токи, имеющие резонанс при длине кольца, равной длине волны в воздухе. Текущие в кольце токи возбуждают в волноводе волну типа Н11 с фазой поля, сдвинутой на 1800 по отношению к фазе возбуждающего поля. Поэтому в круглом волноводе за кольцом поля волны Н11 взаимно уничтожаются. r0 = 0,075 см - радиус круглой проволоки для изготовления колец. r = 0,8 см – внутренний радиус кольца. L=(2n+1) - расстояние между фильтрующими кольцами; n=1,2…. L=6,4 см. Расстояние от кольца до дна основного круглого волновода выбирается из конструктивных соображений. Так как оно больше четверти длины волны Н11, то практически не влияет на резонансную частоту кольца. L1=n* - расстояние от кольца до дна основного круглого волновода; n=1,2…. L1=2,55 см Список литературы. Расчет антенн СВЧ. Пособие к курсовому проектированию под редакцией Воскресенского Д. И, часть 1. МАИ, 1970. Расчет антенн СВЧ. Пособие к курсовому проектированию под редакцией Воскресенского Д. И, часть 2. МАИ, 1973. Пономарев Л. И. Апертурные антенны СВЧ. МАИ, 1983. Расчет и конструирование вращающихся сочленений. Пособие к курсовому проектированию под редакцией Мякишева Б. Я. МАИ, 1962. Фельдштейн, Явич. Справочник по элементам волноводной техники. «Советское радио», 1967. Воскресенский, Гостюхин, Пономарев, Максимов. Антенны и устройства СВЧ. МАИ, 1999.
1%, поэтому необходимы специальные устройства для гашения этой волны (допустимое содержание паразитных волн составляет 0,1%). В конструкциях таких сочленений для подавления паразитных волн широко применяют «гасящие объемы» и резонансные кольца.
Характеристики
Тип файла документ
Документы такого типа открываются такими программами, как Microsoft Office Word на компьютерах Windows, Apple Pages на компьютерах Mac, Open Office - бесплатная альтернатива на различных платформах, в том числе Linux. Наиболее простым и современным решением будут Google документы, так как открываются онлайн без скачивания прямо в браузере на любой платформе. Существуют российские качественные аналоги, например от Яндекса.
Будьте внимательны на мобильных устройствах, так как там используются упрощённый функционал даже в официальном приложении от Microsoft, поэтому для просмотра скачивайте PDF-версию. А если нужно редактировать файл, то используйте оригинальный файл.
Файлы такого типа обычно разбиты на страницы, а текст может быть форматированным (жирный, курсив, выбор шрифта, таблицы и т.п.), а также в него можно добавлять изображения. Формат идеально подходит для рефератов, докладов и РПЗ курсовых проектов, которые необходимо распечатать. Кстати перед печатью также сохраняйте файл в PDF, так как принтер может начудить со шрифтами.
















