Решение задач (555136)
Текст из файла
Задача 1. По каналу связи последовательно передано три знака. Описать пространство элементарных событий и события:
-
принят только первый знак;
-
принят, по крайней мере, один знак;
-
приняты два и только два знака;
-
принято меньше двух знаков;
-
принят один знак
Решение. Используем цифры 0, 1 для обозначения событий: 0 - знак искажен, 1 - знак принят. Тогда пространство элементарных событий запишется в виде
-
Ω={000, 100,010,001, 110, 101,011, 111} и имеет размерность восемь.
-
Событие A1 - принят только первый знак: A1 = {100};
-
Событие A2 - принят по крайней мере один знак:
-
A2 = {100 + 010 + 001 + 110 + 101 + 011 + 111} = Ω\{000};
-
Событие A3 - приняты два и только два знака: A3 =
{110 + 011 + 101};
• Событие A4 - принято меньше двух знаков: A4 = {000 +
100 + 010 + 001};
• Событие A5 — принят один знак: A5 = {100 + 010 + 001}.
Из полученных результатов следует, что
-
события A1 и A3 - несовместные
-
события A4, A3 - несовместные
-
события A3, A5 - несовместные
-
A5 влечет A4 (A5 ⊂ A4)
-
события A1 и A2 - совместны,
-
A2 и A3, A1 и A4, A1 и A5, A2 и A4 — совместные;
-
A1 ⊂ A5 ⊂ A4 ; A3 ⊂ A2 ; A1 = A5 + A2.
Изобразим эти события на схеме Эйлера-Венна.(1.5)
Задача 2 Игральная кость брошена дважды.
-
Описать пространство элементарных событий Ω.
-
Описать пространство элементарных событий, если его элементами служат суммы выпавших очков.
-
Назвать элементы Ω, составляющие события:
● A-суммаочковравна7;
● B - хотя бы на одной кости выпала 1;
● C - сумма очков делится на 3.
4. Описать словами события:
● D = {(11),(12),(21)};
● E = {(46), (55), (64)}.
5. Изобразить события A, B, C, D, E на диаграмме
Эйлера-Венна.
Решение.
-
Ω = {11,12,13,14,15,16, 21, 22,..., 66},
2. Ω = {2,3,4,5,6, 7,8,9,10,11,12}
3. ● A = {16,61,34, 43, 25, 52};
● B = {11,12, 21,13,31,14, 41,15, 51,16, 61}
● C = {12, 21,36,63,45, 54,33,15, 51, 24,42,66}.
● D = {СУММА ОЧКОВ РАВНА 2 ИЛИ 3 };
● E = {СУММА ОЧКОВ РАВНА 10}.
Задача 3 Даны две электрические схемы:
Описать событие: С = {ЦЕПЬ ЗAМКНУТA} для каждого случая.
Решение. Введем обозначения: событие A - контакт 1 замкнут; событие В - контакт 2 замкнут; событие С - цепь замкнута, лампочка горит.
-
Для параллельного соединения цепь замкнута, когда хотя бы один из контактов замкнут, поэтому С = A + В;
-
Для последовательного соединения цепь замкнута, когда замкнуты оба контакта, поэтому С = A · В.
Задача. 1.1.4 Составлены две электрические схемы:
Событие A — цепь замкнута, событие A i - i–й контакт замкнут. Для какой из них справедливо соотношение
A1 · (A2 + A3 · A4) · A5 = A?
Решение. Для первой схемы A = A1 · (A2 · A3 + A4 · A5), так как параллельному соединению соответствует сумма событий, а последовательному соединению — произведение событий. Для второй схемы A = A1 • (A2 + A3 • A4 • A5). Следовательно, данное соотношение справедливо для второй схемы.
Задача. 1.1.5 Упростить выражение (A + B)(B + C)(C+ A).
Решение. Воспользуемся свойствами операций сложения и умножения событий.
(A + B)(B + C)(A + C) =
(AB + AC + B B + BC)(A + C) =
= (AB + AC + B + BC)(A + C) =
(AB + AC + B)(A + C) = (B + AC)(A + C) =
= BA + BC + ACA + ACC = B A + BC + AC.
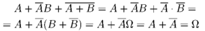
Задача. 1.1.6 Доказать, что события A,AB и A+B образуют полную группу.
Решение. При решении задачи воспользуемся свойствами операций над событиями. В начале покажем, что эти события попарно несовместны.
A теперь покажем, что сумма этих событий дает пространство элементарных событий.
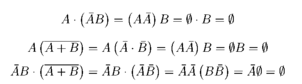
Задача. 1.1.7 С помощью схемы Эйлера–Венна проверить правило де-Моргана:
___ _ _
AB = A+B.
__
а) Заштриховано событие AB.
__ __
б) Событие A — вертикальная штриховка; событие B — горизонтальная штриховка. Событие
__ __
{A+B} — заштрихованная область.
Из сопоставления рисунков а) и в) следует:
___ _ _
AB = A+B.
Задача. 1.2.1 Сколькими способами можно рассадить 8 человек:
-
В один ряд?
-
За круглым столом?
Решение.
1. Искомое число способов равно числу перестановок из 8, т.е.
P8 = 8! = 1 · 2 · 3 · 4 · 5 · 6 · 7 · 8 = 40320
2. Так как за круглым столом выбор первого человека не влияет на чередование элементов, то первым можно взять любого, а оставшихся упорядочим относительно выбранного. Это действие можно осуществить 8!/8 = 5040 способами.
Задача. 1.2.2 На курсе изучается 5 предметов. Сколькими способами можно составить расписание на субботу, если в этот день должны быть две различные пары?
Решение. Искомое число способов есть число размещений
из 5 по 2, так как нужно учесть порядок пар:
Задача. 1.2.3 Сколько экзаменационных комиссий, состоящих из 7 человек, можно составить из 15 преподавателей?
Решение. Искомое число комиссий (без учета порядка) — это число сочетаний из 15 по 7:
Задача. 1.2.4 Из корзины, содержащей двадцать пронумерованных шаров выбирают на удачу 5 шаров. Определить число элементов пространства элементарных событий этого опыта, если:
шары выбираются последовательно один за другим с возвращением после каждого извлечения;
шары выбирают один за другим, не возвращая;
выбирают сразу 5 шаров.
Решение.
Число способов извлечь первый шар из корзины равно 20. Так как извлеченный шар вернулся в корзину, то число способов извлечь второй шар также равно 20 и т.д. Тогда число способов извлечь 5 шаров в этом случае равно 20 · 20 · 20 · 20 · 20 = 3200000.
Число способов извлечь первый шар из корзины равно 20. Так как извлеченный шар после извлечения не вернулся в корзину, то число способов извлечь второй шар стало равно 19 и т.д. Тогда число способов извлечь 5 шаров без возвращения равно 20 · 19 · 18 · 17 · 16 = A52 0
Число способов извлечь из корзины 5 шаров сразу равно числу сочетаний из 20 по 5:
Задача. 1.2.5 Подброшены две игральные кости. Найти вероятность события A того, что выпадет хотя бы одна единица.
Решение. На каждой кости может выпасть любое число очков от 1 до 6. Поэтому пространство элементарных событий содержит 36 равновозможных исходов. Событию A благоприятствуют 11 исходов: (1,1), (1,2), (2,1), (1,3), (3,1), (1,4), (4,1), (1,5), (5,1), (1,6), (6,1), поэтому
Задача. 1.2.6 На красных карточках написаны буквы у, и, я, к, ц, ф, н, на синих — буквы а, а, о, т, т, с, ч. После тщательного перемешивания, что вероятнее: с первого раза из букв на красных карточках составить слово «функция» или из букв на синих карточках слово «частота»?
Решение. Пусть событие A — наудачу составленное из 7 букв слово «функция», событие B — наудачу составленное из 7 букв слово «частота». Так как упорядочиваются два множества из 7 букв, то число всех исходов для событий A и B равно n = 7!. Событию A благоприятствует один исход m = 1, так как все буквы на красных карточках различны. Событию B благоприятствуют m = 2! · 2! исходов, так как буквы «а» и «т» встречаются дважды. Тогда P(A) = 1/7! , P(B) = 2! • 2! /7! , P(B) > P(A).
Задача. 1.2.7 На экзамене студенту предлагается 30 билетов; в каждом билете два вопроса. Из 60 вопросов, вошедших в билеты, студент знает только 40. Найти вероятность того, что взятый студентом билет будет состоять
-
из известных ему вопросов;
-
из неизвестных ему вопросов;
-
из одного известного и одного неизвестного вопроса.
Решение. Пусть A — событие, состоящее в том, что на оба вопроса студент знает ответ; B — не знает ответа на оба вопроса; C — на один вопрос знает ответ, на другой — не знает. Выбор двух вопросов из 60 можно осуществить n = C260 = 602·59 = 1770 способами.
1. Имеется m = C240 = 402·39 = 780 возможностей выбора известных студенту вопросов. Тогда P(A) = mn = 1778700 = 0,44
2. Выбор двух неизвестных вопросов из 20 можно осуществить m = C220 = 202·19 = 190 способами. В таком случае
P(B) = mn = 1179700 = 0,11
3. Существует m = C14 0 ·C21 0 = 40·20 = 800 способов выбрать билет с одним известным и одним неизвестным вопроcом. Тогда P(C) = 1870700 = 0,45.
Задача. 1.2.8 По трем каналам послана некоторая информация. Каналы работают независимо друг от друга. Найти вероятность того, что информация достигнет цели
-
только по одному каналу;
-
хотя бы по одному каналу.
Решение. Пусть A — событие, состоящее в том, что информация достигает цели только по одному каналу; B — хотя бы по одному каналу. Опыт — передача информации по трем каналам. Исход опыта — информация достигла цели. Обозначим Ai — информация достигает цели по i-му каналу. Пространство элементарных событий имеет вид:
Характеристики
Тип файла документ
Документы такого типа открываются такими программами, как Microsoft Office Word на компьютерах Windows, Apple Pages на компьютерах Mac, Open Office - бесплатная альтернатива на различных платформах, в том числе Linux. Наиболее простым и современным решением будут Google документы, так как открываются онлайн без скачивания прямо в браузере на любой платформе. Существуют российские качественные аналоги, например от Яндекса.
Будьте внимательны на мобильных устройствах, так как там используются упрощённый функционал даже в официальном приложении от Microsoft, поэтому для просмотра скачивайте PDF-версию. А если нужно редактировать файл, то используйте оригинальный файл.
Файлы такого типа обычно разбиты на страницы, а текст может быть форматированным (жирный, курсив, выбор шрифта, таблицы и т.п.), а также в него можно добавлять изображения. Формат идеально подходит для рефератов, докладов и РПЗ курсовых проектов, которые необходимо распечатать. Кстати перед печатью также сохраняйте файл в PDF, так как принтер может начудить со шрифтами.
















