Решение задач (555136), страница 2
Текст из файла (страница 2)
Событию A благоприятствуют 3 исхода:
Событию B благоприятствуют 7 исходов: все исходы, кроме
Тогда n = 8; mA = 3; mB = 7; P(A) = 38 ; P(B) = 78.
Задача. 1.2.9 На отрезке единичной длины случайным образом появляется точка. Найти вероятность того, что расстояние от точки до концов отрезка больше 1/8.
Решение. По условию задачи искомому событию удовлетворяют все точки, появляющиеся на интервале (a; b).
Так как его длина s = 1 - 18 + 18 = 34, а длина всего отрезка S = 1, то искомая вероятность равна P = s/S = 3/14 = 0.75.
Задача. 1.2.10 В партии из n изделий k изделий являются бракованными. Для контроля выбирается m изделий. Найти вероятность того, что из m изделий l окажутся бракованными (событие А).
Решение. Выбор m изделий из n можно осуществить
способами, а выбор l бракованных из k бракованных —
способами. После выбора l бракованных изделий останется (m - l ) годных, находящихся среди (n - k) изделий. Тогда число исходов, благоприятствующих событию A, равно
·
Задача. 1.3.1 B урне 30 шаров: 15 красных, 10 синих и 5 белых. Найти вероятность того, что наугад вынутый шар — цветной.
Решение. Пусть событие A — вынут красный шар, событие B — вынут синий шар. Тогда события (A + B) — вынут цветной шар. Имеем P(A) = 13 50 = 12 , P(B) = 13 00 = 13. Так как
события A и B несовместны, то P(A + B) = P(A) + P(B) = 12 + 13 = 56 = 0.83.
Задача. 1.3.2 Вероятность того, что будет снег (событие A), равна 0.6, а того, что будет дождь (событие B), равна 0.45. Найти вероятность плохой погоды, если вероятность дождя со снегом (событие AB) равна 0.25.
Решение. События A и B совместны, поэтому P(A + B) = P(A) + P(B) - P(AB) = 0.6 + 0.45 - 0.25 = 0.8
Задача. 1.3.3 B первом ящике 2 белых и 10 черных шаров, во втором — 3 белых и 9 черных шаров, в третьем — 6 белых и 6 черных шаров. Из каждого ящика вынули по шару. Найти вероятность того, что все вынутые шары белые.
Решение. Событие A — вынут белый шар из первого ящика, B — из второго ящика, C – из третьего. Тогда P(A) = 122 = 16; P(B) = 132 = 14; P(C) = 162 = 12. Событие ABC — все вынутые
шары — белые. События A,B,C — независимые, поэтому
P(ABC) = P(A)·P(B)·P(C) = 16 · 14 · 12 = 418 = 0.02
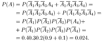
Задача. 1.3.4 B электрическую цепь последовательно включены 5 элементов, работающие независимо друг от друга. Вероятность отказов первого, второго, третьего, четвертого, пятого элементов соответственно равны 0.1; 0.2; 0.3; 0.2; 0.1. Найти вероятность того, что тока в цепи не будет (событие A).
Решение. Так как элементы включены последовательно, то тока в цепи не будет, если откажет хотя бы один элемент. Событие Ai(i =1...5) — откажет i -й элемент. События
Задача. 1.3.5 Цепь состоит из независимых блоков, соединенных в систему с одним входом и одним выходом.
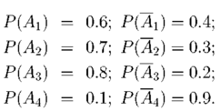
Выход из строя за время Т различных элементов цепи - независимые события, имеющие следующие вероятности P 1 = 0.1; P2 = 0.2; P3 = 0.3; P4 = 0.4. Отказ любого из элементов приводит к прерыванию сигнала в той ветви цепи, где находится данный элемент. Найти надежность системы.
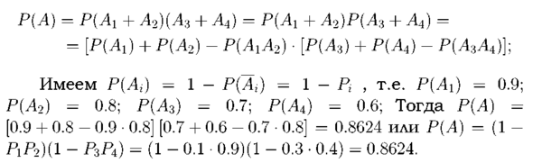
Решение. Если событие A — {СИСТЕМА НАДЕЖНА}, Ai — {i- й БЛОК РАБОТАЕТ БЕЗОТКАЗНО}, то A = (A1 + A2)(A3 + A4). События A1+A2, A3+A4 — независимые, события A1 и A2, A3 и A4 — совместные. По формулам умножения и сложения вероятностей
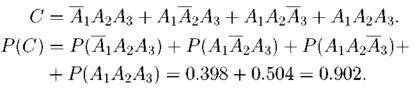
Задача. 1.3.6 Рабочий обслуживает 3 станка. Вероятность того, что в течение часа станок не потребует внимания рабочего, равна для первого станка 0.9, для второго станка — 0.8, для третьего станка — 0.7.
Найти вероятность того, что в течение некоторого часа
-
потребует внимания второй станок;
-
потребуют внимания два станка;
-
потребуют внимания не менее двух станков.
Решение. Пусть Ai — i-й станок потребует внимания рабочего,
— i-й станок не потребует внимания рабочего. Тогда
Пространство элементарных событий:
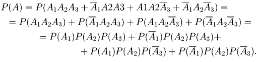
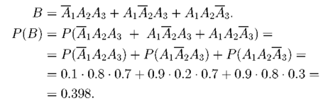
1. Событие A — потребует внимания второй станок: Тогда
Так как события несовместные и независимые. P(A) = 0.9·0.8·0.7 + 0.1·0.8·0.7 + 0.9·0.8·0.3 + 0.1·0.8·0.3 = 0.8
2. Событие B — потребуют внимания два станка:
3. Событие C — потребуют внимания не менее двух стан
ков:
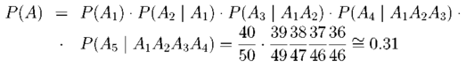
Задача. 1.3.7 B машину «Экзаменатор» введено 50 вопросов. Студенту предлагается 5 вопросов и ставится оценка «отлично», если на все вопросы получен верный ответ. Найти вероятность получить “отлично”, если студент подготовил только 40 вопросов.
Решение. A — {ПОЛУЧЕНА ОЦЕНКА «ОТЛИЧНО»}, Ai — {ОТВЕТИЛ НА i- й ВОПРОС}. Тогда A = A1A2A3A4A5, имеем:
Или, другим способом — c помощью формулы классической вероятности:
и
Задача. 1.3.8 Вероятности того, что нужная сборщику деталь находится в I, II, III, IV ящике, соответственно равны 0.6; 0.7; 0.8; 0.9. Найти вероятность того, что сборщику придется проверить все 4 ящика (событие A).
Решение. Пусть Ai — {Нужная сборщику деталь находится в i-м ящике.} Тогда
Имеем :
Так как события несовместны и независимы, то
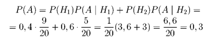
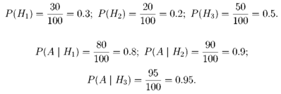
Задача. 1.4.1 Обследовалась группа из 10000 человек в возрасте свыше 60 лет. Оказалось, что 4000 человек являются постоянно курящими. У 1800 курящих обнаружились серьезные изменения в легких. Среди некурящих изменения в легких имели 1500 человек. Какова вероятность того, что наугад обследованный человек, имеющий изменения в легких, является курящим?
Решение. Введем гипотезы: H1 — обследованный является постоянно курящим, H2 — является некурящим. Тогда по условию задачи
4000 6000
P(H1)= ------- =0,4, P(H2)=--------- =0,6
10000 10000
Обозначим через A событие, состоящее в том, что обследованный имеет изменения в легких. Тогда по условию задачи
По формуле (1.15) находим
Искомая вероятность того, что обследованный человек является курящим, по формуле Байеса равна
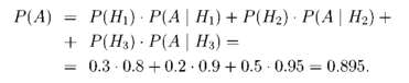
Задача. 1.4.2 В продажу поступают телевизоры трех заводов: 30% с первого завода, 20% — со второго, 50% — с третьего. Продукция первого завода содержит 20% телевизоров со скрытым дефектом, второго — 10% , третьего — 5%. Какова вероятность приобрести исправный телевизор?
Решение. Рассмотрим события: A — приобретен исправный телевизор; гипотезы H1, H2, H3 — телевизор поступил в продажу соответственно с первого, второго, третьего завода. По условию задачи
По формуле (1.15) находим
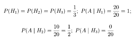
Задача. 1.4.3 Имеются три одинаковых по виду ящика. В первом 20 белых шаров, во втором — 10 белых и 10 черных шаров, в третьем — 20 черных шаров. Из наугад выбранного ящика вынут белый шар. Найти вероятность того, что этот шар из второго ящика.
Решение. Пусть событие A — вынут белый шар, гипотезы H1, H2, H3 — шар вынут соответственно из первого, второго, третьего ящика. Из условия задачи находим
Тогда
по формуле (1.15) находим
По формуле (1.16) находим
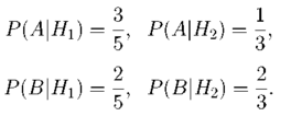
Задача. 1.4.4 Телеграфное сообщение состоит из сигналов «точка» и «тире». Статистические свойства помех таковы, что искажаются в среднем 2/5 сообщений «точка» и 1/3 сообщений «тире». Известно, что среди передаваемых сигналов «точка» и «тире» встречаются в соотношении 5 : 3. Определить вероятность того, что принят передаваемый сигнал, если:
а) принят сигнал «точка»;
б) принят сигнал «тире».
Решение. Пусть событие A — принят сигнал «точка», а событие B — принят сигнал «тире».
Можно сделать две гипотезы: H1 — передан сигнал «точка», H2 — передан сигнал «тире». По условию P(H1) : P(H2) =5 : 3. Кроме того, P(H1) + P(H2) = 1. Поэтому P(H1) = 5/8, P(H2) = 3/8. Известно, что
Вероятности событий A и B находим по формуле полной вероятности:
Искомые вероятности будут:
Задача. 1.4.5 Из 10 каналов радиосвязи 6 каналов защищены от воздействия помех. Вероятность того, что защищенный канал в течении времени t не выйдет из строя, равна 0.95, для незащищенного канала - 0.8. Найти вероятность того, что случайно выбранные два канала не выйдут из строя в течение времени t, причем оба канала не защищены от воздействия помех.
Решение. Пусть событие A - оба канала не выйдут из строя в течение времени t, событие A1 - выбран защищенный канал, A2 - выбран незащищенный канал.
Запишем пространство элементарных событий для опыта - {выбрано два канала}:
Ω = {A1A1, A1A2, A2A1, A2A2}
Гипотезы:
















