Решение задач (555136), страница 3
Текст из файла (страница 3)
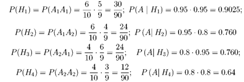
H1 - оба канала защищены от воздействия помех;
H2 - первый выбранный канал защищен, второй выбранный канал не защищен от воздействия помех;
H3 - первый выбранный канал не защищен, второй выбранный канал защищен от воздействия помех;
H4 — оба выбранных канала не защищены от помех. Тогда
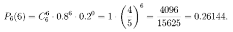
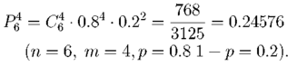
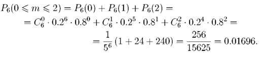
Задача. 1.5.1 По каналу связи передается 6 сообщений. Каждое из сообщений может быть искажено помехами с вероятностью 0.2 независимо от других. Найти вероятность того, что
-
4 сообщения из 6 не искажены;
-
не менее 3 из 6 переданы искаженными;
-
хотя бы одно сообщение из 6 искажено;
-
не более 2 из 6 не искажены;
-
все сообщения переданы без искажения.
Решение. Так как вероятность искажения 0.2, то вероятность передачи сообщения без помех — 0.8.
1. Используя формулу Бернулли (1.17), найдем вероят
ность передачи 4 сообщений из 6 без помех:
2. не менее 3 из 6 переданы искаженными:
3. хотя бы одно сообщение из 6 искажено:
4. хотя бы одно сообщение из 6 искажено:
5. все сообщения переданы без искажения:
Задача. 1.5.2 Вероятность того, того, что летом день будет ясным, равна 0.42; вероятность пасмурного дня равна 0.36 и переменной облачности - 0.22. Сколько дней из 59 можно ожидать ясных и пасмурных?
Решение. Из условия задачи видно, что надо искать наиболее вероятное число ясных и пасмурных дней.
Для ясных дней p = 0.42, n = 59. Составляем неравенства (1.20):
59 • 0.42 + 0.42 — 1 < m0 < 59 • 0.42 + 0.42.
Отсюда
24.2 ≤ mo ≤ 25.2 → mo = 25.
Для пасмурных дней p = 0.36, n = 59 и
0.36 • 59 + 0.36 — 1 ≤ M0 ≤ 0.36 • 59 + 0.36;
Следовательно 20.16 ≤ M0 ≤ 21.60; → M0 = 21.
Таким образом, наиболее вероятное число ясных дней mo =25, пасмурных дней - M0 = 21. Тогда летом можно ожидать mo + M0 =46 ясных и пасмурных дней.
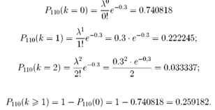
Задача. 1.5.3 На лекции по теории вероятностей присутствует 110 студентов курса. Найти вероятность того что
-
k студентов (k = 0,1,2) из присутствующих родились первого сентября;
-
хотя бы один студент курса родился первого сентября.
Решение. Вероятность родиться 1 сентября любому студенту курса
p =1/365 очень мала, поэтому используем формулу Пуассона (1.22). Найдем параметр Пуассона. Так как
n = 110, то λ = np = 110 • 1 /365 = 0.3.
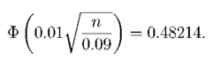
Задача. 1.5.4 Вероятность того, что деталь не стандартная, равна 0.1. Сколько деталей нужно отобрать, чтобы с вероятностью P = 0.964228 можно было утверждать, что относительная частота появления нестандартных деталей отклоняется от постоянной вероятности p = 0.1 по абсолютной величине не более, чем на 0.01 ?
Решение.
Требуемое число n найдем по формуле (1.25). Имеем:
p = 1.1; q = 0.9; P = 0.96428. Подставим данные в формулу:
Откуда находим
По таблице значений функции Φ(x) находим, что
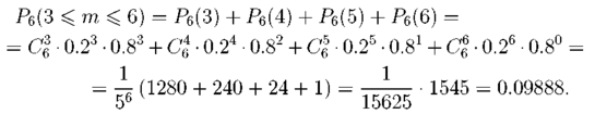
Задача. 1.5.5 Вероятность выхода из строя за время Т одного конденсатора равна 0.2. Определить вероятность того, что за время Т из 100 конденсаторов выйдут из строя
-
ровно 10 конденсаторов;
-
не менее 20 конденсаторов;
-
менее 28 конденсаторов;
-
от 14 до 26 конденсаторов.
Решение. Имеем п = 100, p = 0.2, q = 1 - p = 0.8.
1. Ровно 10 конденсаторов.
Так как п велико, воспользуемся локальной теоремой Муавра - Лапласа:
Так как функция φ(х) — четная, то φ(-2,5) = φ(2,50) = 0,0175 (находим по таблице значений функции φ(х). Искомая вероятность
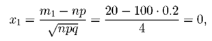
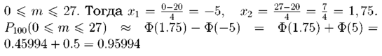
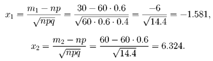
2. Не менее 20 конденсаторов;
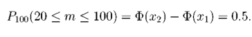
Требование, чтобы из 100 конденсаторов из строя вышли не менее 20, означает, что из строя выйдут либо 20, либо 21, ..., либо 100. Таким образом, т1 = 20, т2 =100. Тогда
По таблице значений функции Φ(x) найдем Φ(x1) = Φ(0) = 0, Φ(x2) = Φ(20) = 0.5. Искомая вероятность:
3. Менее 28 конденсаторов;
(здесь было учтено, что функция Лапласа Ф(x) - нечетная).
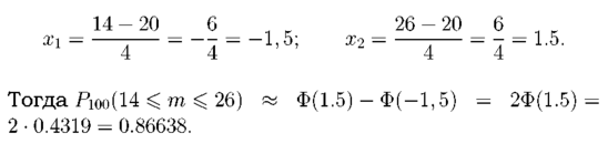
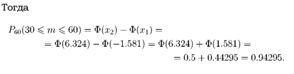
4. От 14 до 26 конденсаторов. По условию m1= 14, m2 = 26.
Вычислим x 1,x2:
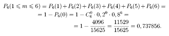
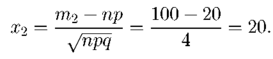
Задача. 1.5.6 Вероятность появления некоторого события в одном опыте равна 0.6. Какова вероятность, что это событие появиться в большинстве из 60 опытов?
Решение. Количество m появлений события в серии испытаний находится в промежутке [0; 60]. «В большинстве опытов» означает, что m принадлежит промежутку [30, 60.] По условию n = 60, p = 0.6, q = 0.4, m1 = 30, m2 = 60. Вычислим x1 и x2:
Случайные величины и их распределения
Задача. 2.1.1 Дана таблица, где в верхней строке указаны возможные значения случайной величины X, а в нижней — их вероятности.
Может ли эта таблица быть рядом распределения X?
Ответ: Да, так как p1 + p2 + p3 + p4 + p5 = 1
Задача. 2.1.2 Выпущено 500 лотерейных билетов, причем 40 билетов принесут их владельцам выигрыш по 10000 руб., 20 билетов — по 50000 руб., 10 билетов — по 100000 руб., 5 билетов — по 200000 руб., 1 билет — 500000 руб., остальные — без выигрыша. Найти закон распределения выигрыша для владельца одного билета.
Решение.
Возможные значения X: x5 = 10000, x4 = 50000, x3 = 100000, x2 = 200000, x1 = 500000, x6 = 0. Вероятности этих возможных значений:
Искомый закон распределения:
Задача. 2.1.3 Стрелок, имея 5 патронов, стреляет до первого попадания в цель. Вероятность попадания при каждом выстреле равна 0.7. Построить закон распределения числа использованных патронов, найти функцию распределения F(x) и построить ее график, найти P(2 < x < 5).
Решение.
Пространство элементарных событий опыта
Ω = {1, 01, 001, 0001, 00001, 11111},
где событие {1} - попал в цель, событие {0} - не попал в цель. Элементарным исходам соответствуют следующие значения случайной величины числа использованных патронов: 1, 2, 3, 4, 5. Так как результат каждого следующего выстрела не зависит от предыдущего, то вероятности возможных значений:
p1 = P(x1 = 1) = P(1) = 0.7; p2 = P(x2 = 2) = P(01) = 0.3 · 0.7 = 0.21;
p3 = P(x3 = 3) = P(001) = 0.32 · 0.7 = 0.063;
p4 = P(x4 = 4) = P(0001) = 0.33 · 0.7 = 0.0189;
p5 = P(x5 = 5) = P(00001 + 00000) = 0.34 · 0.7 + 0.35 = 0.0081.
Искомый закон распределения:
Найдем функцию распределения F(x), пользуясь формулой (2.5)
x ≤1, F(x) = P(X < x) = 0
-
< x ≤2, F(x) = P(X < x) = P1(X1 = 1) = 0.7
-
< x ≤ 3, F(x) = P1(X = 1) + P2(x = 2) = 0.91
-
< x ≤ 4, F(x) = P1 (x = 1) + P2(x = 2) + P3(x = 3) =
= 0.7 + 0.21 + 0.063 = 0.973
4 < x ≤ 5, F(x) = P1(x = 1) + P2(x = 2) + P3(x = 3) +
+P4(x = 4) = 0.973 + 0.0189 = 0.9919
x > 5, F(x) = 1
Найдем P(2 < x < 5). Применим формулу (2.4): P(2 < x < 5) = F(5) — F(2) = 0.9919 — 0.91 = 0.0819
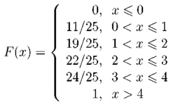
Задача. 2.1.4 Дана F(x) некоторой случайной величины:
Записать ряд распределения дляX.
Решение.
Из свойств F(x) следует, что возможные значения случайной величины X - точки разрыва функции F(x), а соответствующие им вероятности - скачки функции F(x). Находим возможные значения случайной величины X={0,1,2,3,4}.
Задача. 2.1.5 Установить, какая из функций
является функцией распределения некоторой случайной величины.
В случае утвердительного ответа, найти вероятность того, что соответствующая случайная величина принимает значения на [-3,2].
Решение. Построим графики функций F1(x) и F2(x):
Функция F2(x) не является функцией распределения, так как не является неубывающей. Функция F1(x) является
функцией распределения некоторой случайной величины, так как является неубывающей и удовлетворяет условию (2.3). Найдем вероятность попадания на промежуток:
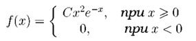
Задача. 2.1.6 Дана плотность вероятности непрерывной случайной величины X:
Найти:
-
коэффициент C;
-
функцию распределения F(x);
-
вероятность попадания случайной величины в интервал (1, 3).
Решение. Из условия нормировки (2.9)находим
Следовательно,
По формуле (2.10) находим:
Таким образом,
По формуле (2.4) находим
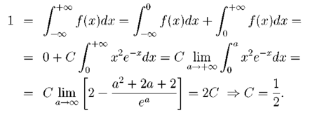
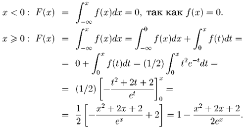
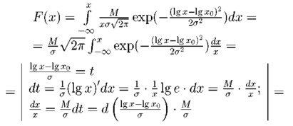
Задача. 2.1.7 Случайное время простоя радиоэлектронной аппаратуры в ряде случаев имеет плотность вероятности
где M = lge = 0.4343...
Найти функцию распределения F(x).
Решение. По формуле (2.10) находим
Задача. 2.2.1 Дан ряд распределения дискретной случайной величины X:
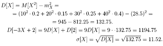
Найти математическое ожидание, дисперсию, среднее квадратичное отклонение, M[2X + 3], D[-3X + 2].
Решение.
По формуле (2.12) находим математическое ожидание:
M[X] = x1p1 + x2p2 + x3p3 + x4p4 = 10 · 0.2 + 20 · 0.15 + 30 · 0.25 + 40 · 0.4 = 28.5
M[2X + 5] = 2M[X] + M[5] = 2M[X] + 5 = 2 · 28.5 + 5 = 62. По формуле (2.19) найдем дисперсию:
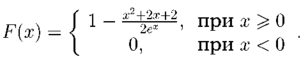
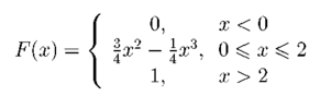
Задача. 2.2.2 Найти математическое ожидание, дисперсию и среднее квадратичное отклонение непрерывной случайной величины X, функция распределения которой
Решение. Найдем плотность вероятности:
Математическое ожидание найдем по формуле (2.13):
Дисперсию найдем по формуле (2.19):
Найдем сначала математическое ожидание квадрата случайной величины:
Среднее квадратичное отклонение
Задача. 2.2.3 Дискретная случайная величина X имеет ряд распределения:
Найти математическое ожидание и дисперсию случайной величины Y = eX.
Решение. M[Y] = M[eX] = e-- 1 · 0.2 + e0 · 0.3 + e1 · 0.4 + e2 · 0.1 =
= 0.2 · 0.3679 + 1 · 0.3 + 2.71828 · 0.4 + 7.389 · 0.1 = 2.2.
D[Y] = D[ex] = M[(eX )2 — M2 [eX] =
[(e-1 )2 • 0.2 + (e0)2 • 0.3 + (e1 )2 • 0.4 + (e2)2 • 0.1] — (2.2)2 =
= (e--2 • 0.2 + 0.3 + e2 • 0.4 + e4 • 0.1) — 4.84 = 8.741 — 4.84 = 3.9.
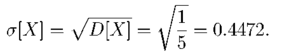
Задача. 2.2.4 Дискретная случайная величина X может принимать только два значения x1 и x2, причем x1 < x2. Известны вероятность p1 = 0.2 возможного значения x1, математическое ожидание M[X] = 3.8 и дисперсия D[X] = 0.16. Найти закон распределения случайной величины.
Решение. Так как случайная величина X принимает только два значения x1 и x2, то вероятность p2 = P(X = x2) = 1 - p1 = 1 - 0.2 = 0.8.
По условию задачи имеем:
M[X] = x1p1 + x2p2 = 0.2x1 + 0.8x2 = 3.8;
D[X] = (x21p1 + x22p2) - M2[X] = (0.2x21 + 0.8x22) - (0.38)2 = 0.16.
Таким образом получили систему уравнений:
Условию x1
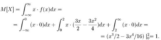
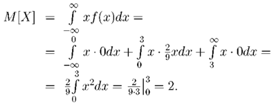
Задача. 2.2.5 Случайная величина X подчинена закону распределения, график плотности которого имеет вид:
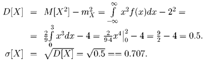
Найти математическое ожидание, дисперсию и среднее квадратичное отклонение.
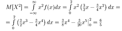
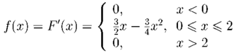
Решение. Найдем дифференциальную функцию распределения f(x). Вне интервала (0, 3) f(x) = 0. На интервале (0, 3) график плотности есть прямая с угловым коэффициентом k = 2/9, проходящая через начало координат. Таким образом,
Математическое ожидание:
Найдем дисперсию и среднее квадратичное отклонение:
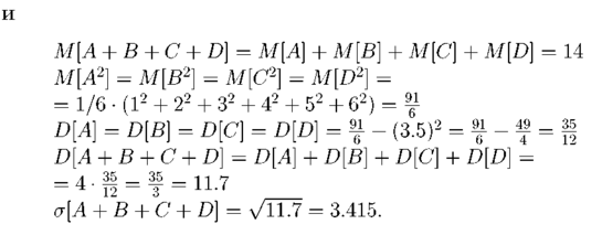
Задача. 2.2.6 Найти математическое ожидание и дисперсию суммы очков, выпадающих на четырех игральных кубиках при одном бросании.
Решение. Обозначим A — число очков на одном кубике при одном бросании, B – число очков на втором кубике, C — на третьем кубике, D — на четвертом кубике. Для случайных величин A, B, C, D закон распределения
один.
Тогда M[A] = M[B] = M[C] = M[D] = (1+2+3+4+5+6) / 6 = 3.5
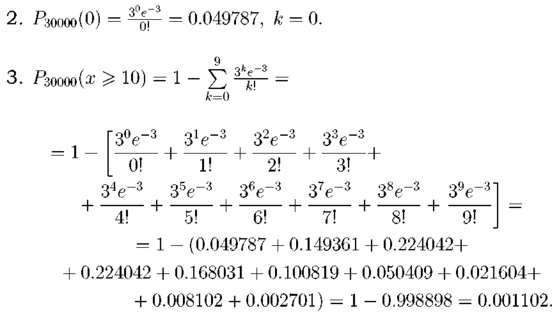
Задача. 2.3.1 Вероятность того, что частица, вылетевшая из радиоактивного источника, будет зарегистрирована счетчиком, равна 0.0001. За время наблюдения из источника вылетело 30000 частиц. Найти вероятность того, что счетчик зарегистрировал:
-
ровно 3 частицы;
-
ни одной частицы;
-
не менее 10 частиц.
Решение. По условию п = 30000, p = 0.0001. События, состоящие в том, что частицы, вылетевшие из радиоактивного источника, зарегистрированы, независимы; число п велико, а вероятность p мала, поэтому воспользуемся распределением Пуассона:
Найдем λ : λ = пp = 30000 • 0.0001 = 3 = М[Х]. Искомые вероятности:
Задача. 2.3.2 В партии 5% нестандартных деталей. Наудачу отобраны 5 деталей. Написать закон распределения дискретной случайной величины X — числа нестандартных деталей среди пяти отобранных; найти математическое ожидание и дисперсию.
Решение. Дискретная случайная величина X — число нестандартных деталей — имеет биномиальное распределение и может принимать следующие значения: x1 = 0, x2 = 1, x3 = 2, x4 = 3, x5 = 4, x6 = 5. Вероятность нестандартной детали в партии p = 5/100 = 0.05. Найдем вероятности этих возможных значений:
Напишем искомый закон распределения:
Найдем числовые характеристики:
0 • 0.7737809 + 1 • 0.2036267 + 2 • 0.0214343+
+ 3 • 0.0011281 + 4 • 0.0000297 + 5 • 0.0000003 = 0.2499999 ≈ 0.250
или
M[X] = n • p = 5 • 0.05 = 0.25.
D[X] = M[X2 ] – M2 [X] = 02 • 0.7737809 + 12 • 0.2036267+
+ 22 • 0.0214343 + 32 • 0.0011281 + 42 • 0.0000297 + 52 • 0.0000003- 0.0625 =
= 0.2999995 - 0.0625 = 0.2374995 ≈ 0.2375
или D[X] = n • p • (1 - p) = 5 • 0.05 • 0.95 = 0.2375.
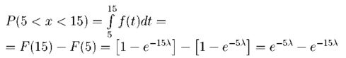
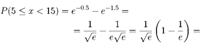
Задача. 2.3.3 Время обнаружения цели радиолокатором распределено по показательному закону
где 1/λ = 10 сек. - среднее время обнаружения цели. Найти вероятность того, что цель будет обнаружена за время от 5 до 15 сек. после начала поиска.
Решение. Вероятность попадания случайной величины X в интервал (5, 15) найдем по формуле (2.8):
= 0.6065(1 - 0.3679) = 0.6065 • 0.6321 = 0.3834
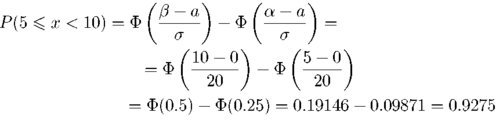
Задача. 2.3.4 Случайные ошибки измерения подчинены нормальному закону с параметрами a = 0, σ = 20 мм. Записать дифференциальную функцию распределения f(x) и найти вероятность того, что при измерении допущена ошибка в интервале от 5 до 10 мм.
Решение. Подставим значения параметров a и σ в дифференциальную функцию распределения (2.35):
По формуле (2.42) найдем вероятность попадания случайной величины X в интервале [0, 5) :
Здесь значения функции Лапласа взяты по таблице.
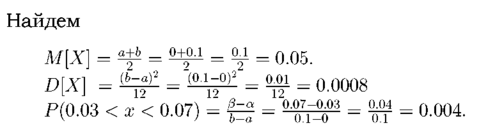
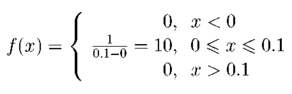
Задача. 2.3.5 Цена деления шкалы амперметра равна 0.1 ампера. Показания амперметра округляются до ближайшего целого деления. Найти вероятность того, что при отсчете будет сделана ошибка, превышающая 0.03 ампера. Найти математическое ожидание, дисперсию ошибки округления отсчета и функцию F(x).
Решение. Ошибку округления отсчета можно считать распределенной равномерно на [0; 0.1], т.е. a = 0, b = 0.1. Тогда дифференциальная функция распределения f(x) будет иметь вид
















