Cursach (552414)
Текст из файла
ПРЕДСТАВЛЕНИЕ ЭЛЕКТРОМАГНИГНОГО ПОЛЯ РЕЗОНАТОРОВ И ВОЛНОВОДОВ В ВИДЕ СУПЕРПОЗИЦИИ СОБСТВЕННЫХ ВОЛН ВОЛНОВОДА
ПОСТРОЕНИЕ СИСТЕМ СОБСТВЕННЫХ ВОЛН ВОЛНОВОДА
Будем рассматривать резонатор как закороченный отрезок продольно-однородного прямоугольного волновода, что позволяет использовать волноводное представление поля для резонаторов. Известно, что задача о распространении волн в продольно-однородной структуре сводится к решению двух краевых задач:
где EZ
и HZ, - продольные компоненты векторов напряженности электрического и магнитного полей; L - контур поперечного сечения волновода; gг=k2 -kZ 2- поперечное, a kZ - продольное волновые числа.
Каждая краевая задача содержит двумерное однородное уравнение Гельмгольца и соответствующее граничное условие.
Можно показать, что однородные уравнения Гельмгольца могут быть получены из уравнений Максвелла для однородной, линейной и изотропной среды, не содержащей сторонних источников.
Решения уравнений Гельмгольца, представленных в краевых задачах (2.1) и (2.2), ищут в классе решений
где верхний знак соответствует волне, распространяющейся в положительном направлении оси Z; нижний знак соответствует волне, распространяющейся в противоположную сторону; АZ - одна из компонент ЕZ или HZ.
Можно решить однородное уравнение Гельмгольца для продольной компоненты поля прямоугольного волновода, используя метод разделения переменных. Получить общее решение указанного уравнения в тригонометрической форме
где A,B,C,D , kX, kY произвольные константы.
Используя граничные условия, представленные в (2.1), (2.2), можно определить неизвестные константы в (2.4). Получить частные решения уравнений Гельмгольца в виде собственных функций краевых задач:
и соответствующих им собственных значений
где
Здесь a, b - поперечные размеры волновода, а k-волновое число.
Выбор знака в выражении (2.8) для продольного волнового числа kZmn, оcущеcтвляется таким образом, чтобы экспоненциальный множитель в (2.5) и (2.6) соответствовал затухающей волне, если среда обладает потерями или волна является закритической. Поэтому
где отрицательный знак перед мнимой единицей соответствует волне,
распространяющейся в положительном направлении оси Z, а положительный знак - волне, распространяющейся в противоположную сторону. Выражения (2.5) и (2.6) описывают продольные компоненты собственных волн волновода. Определим теперь связь между продольными и поперечными компонентами поля. Для этого используем первые два
уравнения Максвелла, спроецированные на оси X, Y прямоугольной системы координат, связанной с волноводом:
Каждая пара уравнений (2.9а) и (2.9г), а также (2.9б) и (2.9в) есть система линейных алгебраических уравнений относительно поперечных компонент векторов E и Н.
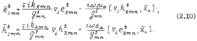
Можно решить указанные системы уравнений и показать, что формулы, определяющие поперечные компоненты поля через известные продольные, имеют следующий вид:
В соответствии с общепринятой классификацией волноводных волн поле в волноводе можно рассматривать как суперпозицию Е-волн ( ЕZ0, НZ=0) и H-волн (HZ0, ЕZ= 0).
Используя формулы (2.10), (2.5), (2.6), можно получить выражения для поперечных компонент собственных волн E- и Н-типа (ePmn, hPmn) р = 1, р = 2 обозначают Е- и Н -волны соответственно. Амплитудные коэффициенты в (2.5), (2.6) можно принять равными единице.
Также можно показать, что направление продольной компоненты вектора Пойнтинга собственных волн, распространяющихся как в положительном, так и в отрицательном направлении оси Z ,
совпадает c направлением распространения волны.
Используя результаты выполнения задания 2.5, можно показать, что знаки в формулах (2.5) и (2.6) для продольных составляющих поля определяют следующие свойства симметрии поперечных составляющих векторов ePmn, hPmn:
Из физических соображений следует, что такой же симметрией обладает поле ленточного зонда в бесконечном волноводе. Указанный выбор знаков упрощает определение амплитудных коэффициентов собственных волн волновода.
Можно показать, что собственные волны волновода обладает свойством ортогональности:
Кроме рассмотренных выше свойств симметрии и ортогональности, система собственных волн обладает свойством полноты. Это значит, что любую функцию, описывающую электромагнитное поле в волноводе, можно представить в виде сходящегося ряда:
где СPmn - амплитудные коэффициенты собственных волн, численное значение которых зависит от местоположения, ориентации и интенсивности источников поля в волноводе.
Выражение (2.15) можно трактовать как разложение векторных функций Е, Н по системе ортогональных функций ePmn, hPmn c коэффициентами разложения СPmn.
Можно показать, что коэффициенты разложения СPmn одинаковы в представлениях (2.15) как электрического, так и магнитного полей. Нужно рассмотреть почленно ряды (2.15) и убедиться в возможности представления электрического поля через магнитное и наоборот с помощью соотношений:
где Z1mn и Z2mn - волновые сопротивления собственных Е- и Н -волн соответственно.
Таким образом, задача по определению поля (2.15) сводится к отысканию амплитудных коэффициентов СPmn при известных собственных волнах волновода. Установим зависимость указанных коэффициентов от источников поля в волноводе. Для этого решим следующую вспомогательную задачу.
ВОЗБУЖДЕНИЕ БЕСКОНЕЧНОГО ВОЛНОВОДА ЛЕНТОЧНЫМ ЗОНДОМ
В постановке исходной задачи резонатор представлен б виде отрезка волновода, закороченного двумя поперечными идеально проводящими плоскостями (ом. рис. 1.3). Представим теперь, что указанные проводящие плоскости отсутствуют, и решим задачу о возбуждении поля в полученном бесконечном волноводе. При этом будем считать, что устройство возбуждения поля в волноводе аналогично соответствующему устройству в резонаторе (ленточный зонд).
С целью упрощения последующих выкладок здесь и далее будем отсчитывать фазу волн от плоскости расположения ленточного зонда Z =Zл. В связи с этим рассмотрим экспоненциальный множитель, определяющий зависимость компонент поля собственных волн (задание 2.5) от переменной Z . Для распространяющейся волны указанный множитель является фазовым множителем и определяет изменение фазы при распространении волны вдоль координаты Z. Перемещение плоскости отсчета фазы волны из начала координат в сечение волново-
да Z = Zл эквивалентно замене переменной Z на новую переменную Z' = Z-Zл, которая и будет присутствовать в последующих выражениях.
Для определенности будем называть областью 1 полубесконечную область Z
Можно показать, что в области 1 поле волновода описывается лишь волнами, распространяющимися в отрицательном направлении оси Z, а в области 2 - волнами, распространяющимися в положительном направлении оси Z :
В силу симметрии волновода и векторов электромагнитного поля собственных воля относительно плоскости поперечного сечения, в котором расположена лента, амплитудные коэффициенты волн, распространяющихся от ленты в противоположных направлениях, равны друг другу:
Определим коэффициенты СPmn и их зависимость от тока ленточного зонда. Для этого воспользуемся граничными условиями для поперечных составляющих полного магнитного поля (2.18) в плоскости расположения ленты (Z=Zл):
и учтем антисимметрию поперечных компонент магнитного поля в (2.21), тогда
в (2.2I), тогда
где L - поверхностная плотность суммарного электрического тока, текущего по обеим сторонам бесконечно тонкой ленты. Вне ленты плотность тока равна нулю, при этом из (2.20) следует, что касательные составляющие магнитного поля непрерывны. Подставим (2.18) в (2.20):
Решив уравнение (2.22) относительно коэффициентов СPmn и получим результат в форме
Где звездочка обозначает операцию комплексного сопряжения. В рассматриваемой задаче источники поля считаются заданными.
Определим функцию, описывающую распределение плотности тока на поверхности ленточного зонда, следующим образом: плотность тока вдоль зонда постоянна, а в поперечном направлении указанная функция совпадает со строгим решением задачи о распределении постоянного тока на бесконечно тонкой ленте:
где X1, Y1 - оcи местной системы координат, связанной c зондом (см. рис 1.1); j0 - модуль плотности тока на оcи ленточного зонда (при X1 = 0); a - нормирующий коэффициент.
Выражение (2.24) для плотности тока можно заменить более простым равномерным распределением
так как при малой по сравнению с длиной волны ширине ленточного зонда изменение поперечного распределения тока на ленте практически не влияет на возбуждаемое в волноводе поле. Это связано о тем, что амплитудные коэффициенты (2.23) в представлении поля интегрально связаны с плотностью тока. При интегрировании плотности тока, описываемой выражением (2.24), особенности функции не вносят в результат интегрирования существенных отличий по сравнению со случаем использования распределения вида (2.25). Подставив (2.25) в (2.23), получим
Теперь представления (2.18) полей в волноводе с учетом (2.26) можем записать в следующей форме:
где E1,2, H1,2 электрическое и магнитное поля, возбуждаемые в волноводе протекающим по ленточному зонду током силой 1 А, называемые в дальнейшем полями единичного тока зонда и определяемые выражениями:
При известном значении силы тока I выражения (2.28) полностью определяют электромагнитное поле е волноводе.
Характеристики
Тип файла документ
Документы такого типа открываются такими программами, как Microsoft Office Word на компьютерах Windows, Apple Pages на компьютерах Mac, Open Office - бесплатная альтернатива на различных платформах, в том числе Linux. Наиболее простым и современным решением будут Google документы, так как открываются онлайн без скачивания прямо в браузере на любой платформе. Существуют российские качественные аналоги, например от Яндекса.
Будьте внимательны на мобильных устройствах, так как там используются упрощённый функционал даже в официальном приложении от Microsoft, поэтому для просмотра скачивайте PDF-версию. А если нужно редактировать файл, то используйте оригинальный файл.
Файлы такого типа обычно разбиты на страницы, а текст может быть форматированным (жирный, курсив, выбор шрифта, таблицы и т.п.), а также в него можно добавлять изображения. Формат идеально подходит для рефератов, докладов и РПЗ курсовых проектов, которые необходимо распечатать. Кстати перед печатью также сохраняйте файл в PDF, так как принтер может начудить со шрифтами.
















