Лекции 2 Макашова (549044)
Текст из файла
28
Лекция №6 (18.10.11)
Байесовские сети доверия (Bayesian Belief Networks, 1998, Pearl)
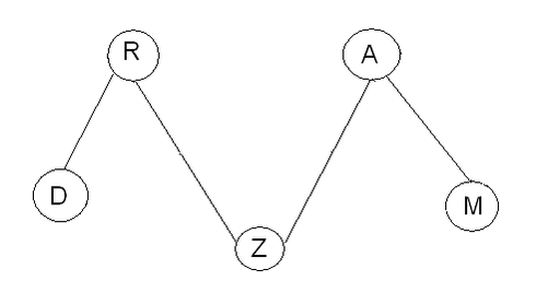
Пример.
На дороге замедлилось движение автотранспорта. Могут быть две причины:
A – аварийная ситуация
R – дорожные работы
Вероятность проведения дорожных работ при условии замедления движения:
Общая вероятность образования затора:
Если, кроме того, имеется такое свидетельство, как дорожные рабочие (D), то причиной затора, скорее всего, послужили дорожные работы. Если же заметен автомобиль ГАИ (M), то авария вероятнее.
Если известна статистика по трассе, из вероятностной схемы
| R | Z | P |
| t | t | 0.3 |
| t | f | 0.2 |
| f | t | 0.1 |
| f | f | 0.4 |
P(Z&R) = 0.3, а P(Z) = 0.3 + 0.1 = 0.4. Тогда
т.е. причиной затора могут быть дорожные работы с вероятностью 0.75.
В случаи с пятью переменными
получится вероятностная схема с
строками.
Другой вариант подсчёта
Другой вариант подсчёта осуществляется по следующей формуле:
в предположении, что родительские вершины независимы.
Для такого случая получается таблица в 20 строк.
Часто байесовские сети используются как абдуктивные. В основном в байесовских сетях не более двух родителей.
Ограничения:
-
Байесовские сети ацикличны (причины и следствия разделяются)
-
Сеть разделяется на независимые подблоки
Минусом сетей является то, что они могут быть излишне громоздки. Преимущество байесовских сетей в том, что это наглядная модель, которую легко получить от эксперта.
Лекция №7 (25.10.11)
Метод субъективных коэффициентов уверенности
Мд(H,E) – мера доверия к гипотезе H при условии E
Мн(H,E) – мера недоверия к гипотезе H при условии E
Коэффициент уверенности k(H|E) = Мд(H,E) - Мн(H,E), при условиях 0 ≤ Мд(H,E), Мн(H,E) ≤ 1,
причём -1 ≤ k(H|E) ≤ 1. Если k = -1, то E – контрсвидетельство.
При условии, что гипотезы
и
независимы, справедливо:
В противном случае
(схема суммирования вероятностей).
Если свидетельство правдоподобное,
-a a
|____________________|____________________|
↑
A
Шкала на степень уверенности свидетельства.
то формулы для вычисления мер доверия и недоверия выглядят так:
где 0 ≤ k ≤ 1, - a ≤ A ≤ a
Используется, когда не подходит байесовский подход.
Методы обработки неопределённостей в GURU
GURU ориентирован на продукционные системы
= a
Выбор формулы объединения факторов уверенности (алгебры) определяется системными переменными E.CFJO для конъюнктивных зависимостей аргументов, E.CFCO – для дизъюнктивных зависимостей аргументов и E.CFVA – для объединения фактора уверенности левой и правой частей правил:
E.CFVA=XX | |
| CFJO = для AND Объединение факторов уверенности для левой и правой частей правила | CFJO = для OR Объединение факторов уверенности, полученных по нескольким правилам для одной переменной |
| M: Min(a, b) | M: Max(a, b) |
| P: (a * b) / 100 | P: a + b – (a * b) / 100 |
| A: (<M> + <P>) / 2 | A: (<M> + <P>) / 2 |
| B: Max(a, b) + Min(a, b) | B: (1 - a / 100) * (1 – b / 100) |
Где М – максимин, P –вероятностная логика, A – смешанная логика, B – нечёткая логика.
Пример.
Пусть целевая вершина R – надёжность поставщика. Основные факторы, которые при этом учитываются:
-
Финансовое состояние (рентабельность, наличие задолженностей).
-
Наличие рекламаций.
-
Статус предприятия(государственное, кооперативное, индивидуальное, частное).
-
Удалённость поставщика.
Надежность поставщика
Финансовое состояние
Удаленность поставщика
Наличие рекламаций
Статус предпрт
Рентабельность
долженность
Дано: (
)
-
Нет неопределённости в исходных данных.
ММ: max{0.9; 0.8; 0.5; 0.6} = 0.9
PP: 0.9 + 0.8 - 0.72 = 0.98
0.98 + 0.5 – 0.49 = 0.99
0.99 + 0.6 – 0.594 ≈ 1.00
-
Есть неопределённость в исходных данных. Даже можно задать пороговое значение.
E.UNKN = k(20)
E.JCR = TRUE (0 ≤ CF ≤ 100)
ММ: max{min{0.6;0.9} ; min{ 0.6; 0.8}; min{0.5;1}; min{0.6;1}} = 0.6
PP: 0.6*0.9 + 0.6*0.8 – 0.54*0.48 = 0.76
0.76 + 0.5 – 0.76*0.5 = 0.88
0.88 + 0.6 – 0.88*0.6 = 0.95
Если факторы положительны:
R
= 0.9
= 0.9
a = 1 b=1
k(R) = a+b-ab
0.9 + 0.8 -0.72 = 0.98
Если какой-то фактор отрицателен:
R
= 0.9
= 0.9
a = 1 b=-1
k(R) = a(1-b)
0.9 *0.2 = 0.18
0.18 < 0.2 не превышает порогового значения → поставщик не надёжен
Если факторы положительны:
R
= 0.9
= 0.9
a = 0.6 b = 0.6
k(R) = 0.6*0.9 + 0.6*0.8 – 0.54*0.48 = 0.76
Если какой-то фактор отрицателен:
R
= 0.9
= 0.9
a = 0.6 b = -0.6
k(R) = 0.6*0.9 * (1 - 0.6*0.8) = 0.28
Использование нечёткой переменной.
Нечёткая переменная может одновременно принимать несколько значений.
E.IFUZ = <n>
Пример
= (200 cf 90, 100 cf 30)
= (150 cf 80, 50 cf 20)
P1 =(
>
цена = ‘↓’)
P2 =
<
цена = ‘↑’)
P3 =
=
цена = '=’)
Что ожидать от таких данных, если прогнозируются
и
Классической логикой нечётких переменных является логика Заде.
cf (
>
) = max{min(0,9; 0,8), min(0,9; 0,2), min(0,3; 0,2)} = 80
cf (
<
) = min{80; 30} = 30
Цена = {‘↑’cf 30, ‘падает’ cf 80, 'не изменяется’ cf 0}
Одна переменная может принять ряд значений с соответствующими степенями принадлежности.
Пример
Построение прогнозирующей системы для банка. Характеристики клиента:
-
Возраст
-
Семейное положение
-
Профессиональный статус
Вклад – нечёткая переменная.
Правила:
P1 = (возраст < 20
вклад
= (‘образование’ cf 40, ‘жильё’ cf 10, ‘сбережения’ cf 5))
P2 = (возраст ≥ 20 & возраст < 30
вклад
= (‘образование’ cf 20, ‘жильё’ cf 20, ‘сбережения’ cf 10))
P3 = (семейное положение = ‘одинокий’
вклад
= (‘образование’ cf 30, ‘жильё’ cf 10, ‘сбережения’ cf 20))
P4= (семейное положение = ‘семейный’
вклад
= (‘образование’ cf 10, ‘жильё’ cf 40, ‘сбережения’ cf 20))
P5 = (профессия= ‘рабочий’
вклад
= (‘образование’ cf 20) ; вклад
= (‘образование’ cf 60))
Дано:
(Возраст < 20; семейное положение = ‘семейный’; профессиональный статус = ‘рабочий’)
Последовательность действий GURU при выборе логики PP:
| P1 | P5 | Σ | P5 | ||
| Образование | 40 | 10 | 46 | -60 | 18 |
| Жильё | 10 | 40 | 46 | 46 | |
| Сбережения | 5 | 20 | 24 | 20 | 39 |
Σ =( a + b – a*b)/100% a + b – a*b/100%
Ответ:
Вклад = (‘образование’ cf 18, ‘жильё’ cf 46, ‘сбережения’ cf 39) -в сумме 100%
Нормировка к 100%:
Вклад = (‘образование’ 17,6% , ‘жильё’ 44,6%, ‘сбережения’ 37,8%)
ММ: Вклад = (‘образование’ cf (40-60) , ‘жильё’ 40, ‘сбережения’ cf 20)
Лекция №8 (1.11.11)
Поиск решений в условиях неопределенности с использованием Дерева Решений (ДР)
Конъюнктивная вершина
Если
, можно констатировать R с вероятностью k.
R
…
а) Логика maxmin.
K(R)=min {k(Ci), k(Cj)}* k
Если длинная конъюнкция, то
K(R)=min {k(Ci), …, …, …, k(Cj)}* k
b) Вероятностная логика.
K(R)=k(Ci)* k(Cj)* k
Дизъюнктивная вершина
R
…
…
k(
k(
а) Логика maxmin.
K(R)=max{
*
,
*
, …}
b) Вероятностная логика.
Упорядочиваем свидетельства по важности и включаем дополнительное:
K(R)=
K(R)=
Пример
{Pi} – набор правил,
{Fj} – наблюдаемые факторы,
{Сi} – множество промежуточных заключений,
R – целевое заключение.
P1 = (F1 C1 ; 0.8)
P2 = (F2 C1 ; 0.7)
P3 = (F3 C2 ;1)
P4 = (F4 & F5 C3 ; 0.9)
P5 = (F6 C6 ;1)
P6 = (F7 C6 ; 0.7)
P7 = (F8 & F9 C4 ; 0.4)
P8 = (C1 & C2 & C3 C5 ; 0.9)
P9 = (C4 C6 ; 0.8)
P10 = (C5 & C6 R ; 1)
Если дерево оборвалось на промежуточном заключении и нет правила, позволяющего его связать, то база не полна.
Характеристики
Тип файла документ
Документы такого типа открываются такими программами, как Microsoft Office Word на компьютерах Windows, Apple Pages на компьютерах Mac, Open Office - бесплатная альтернатива на различных платформах, в том числе Linux. Наиболее простым и современным решением будут Google документы, так как открываются онлайн без скачивания прямо в браузере на любой платформе. Существуют российские качественные аналоги, например от Яндекса.
Будьте внимательны на мобильных устройствах, так как там используются упрощённый функционал даже в официальном приложении от Microsoft, поэтому для просмотра скачивайте PDF-версию. А если нужно редактировать файл, то используйте оригинальный файл.
Файлы такого типа обычно разбиты на страницы, а текст может быть форматированным (жирный, курсив, выбор шрифта, таблицы и т.п.), а также в него можно добавлять изображения. Формат идеально подходит для рефератов, докладов и РПЗ курсовых проектов, которые необходимо распечатать. Кстати перед печатью также сохраняйте файл в PDF, так как принтер может начудить со шрифтами.
















