2.Методология (539516), страница 2
Текст из файла (страница 2)
Выбор критериев эффективности АС формируется на основе показателей качества , регламентированных стандартами. Показатели под-
разделяются на следующие группы:
- назначение;
- надежность;
- экономное использование сырья, материалов, топлива , энергии и трудовых ресурсов;
- ограничение вредных воздействий продукции;
- стандартизация и унификация.
Показатели качества являются выходными параметрами технологического обьекта (ТО). На высшем иерархическом уровне проектирования ТО используют комплексные (или обобщенные) критерии. Это минимум приве-
денных затрат , максимум экономической эффективности, минимум потерь и др. Критерий минимума потерь оценивает потери мощности во всех элементах ТО с учетом взаимодействия с внешней средой, динамических
потенциальных свойств системы, режимов работы, внешних управляющих и возмущающих воздействий, характеристик агрегатов.
На низших уровнях наиболее широко применяются технические и технико- экономические критерии эффективности.
2.7. Классификация математических моделей.
Основные признаки классификации и типы ММ, применяемых в САПР приведены в табл.1
Таблица 1.
| Признаки классификации | Математические модели |
| Характер отображаемых свойств обьекта | Структурные; функциональные |
| Принадлежность к иерархическому уровню | Микроуровень; макроуровень; метауровень |
| Степень детализации описания внутри одного уровня | Полные; макромодели |
| Способ представления свойств обьекта | Аналитические; алгебраические; иммитационные |
| Способ получения модели | Теоретические;эмпирические |
При решении задач синтеза на метауровне используется структурные модели. Управляемыми переменными таких моделей являются любые функциональные или конструктивные признаки элементов АС – морфологические переменные. Они позволяют построить модель выбора общего технического решения, провести анализ формы, структуры, принципа действия ОП. В качестве формы построения модели принимают таблицы, матрицы и графы.
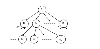
Рис.2.4. Структурная модель АС в форме графа.
На графовой модели В1,В2, . . . , Вn ; C1, С2, …,Сm – вершины графа , соответствующие функциональным элементам АС. Ребра графов характеризуют соответствующие им свойства.
Рис. 2.5. Структурная модель элемента АС в матричной
форме.
S1, S2, . . . ,Sn – функциональные элементы; К1, К2, . . . , Кm – функциональные или конструктивные свойства элементов; a11, a1n, . . . ,amn –
коэффициент (0,1), определяющий наличие в модели сочетания элементов с соответствующими свойствами, или определяющие степень соответствия элементов техническим требованиям.
Матрицы подобного типа называют матрицами соответствия.
На каждом иерархическом уровне используют свои функциональные модели. Чем ниже уровень , тем более детальное описание обьекта и более сложная математическая модель (ММ).
На метауровне часто применяют модели, содержащие морфологические переменные, имеющие описательный (вербальный) характер.
Применяют и более сложные модели, представляющие собой системы дифференциальных или алгебраических уравнений .
Реальные технические обьекты – нелинейные . С целью упрощения задач проектирования на высших иерархических уровнях используют простые линейные ММ. Линейные дифференциальные уравнения, используя
преобразования Лапласа, приводят к системе алгебраических уравнений с комплексными переменными, что значительно упрощает решение.
На мегауровне функционального проектирования решают задачи оптимизации структуры и параметров АС. ТО представляется системой с сосредоточенными параметрами, описываемой нелинейными дифференциальными уравнениями.
На микроуровне ОП являются отдельные детали АС. Проводится анализ
сложных процессов функционирования. ОП представляются системами с распределенными параметрами , а математическое описание их – дифференциальные уравнения в частных производных.
Структурные модели присущи как правило высшим уровням иерархии проектирования. Особенностью ММ на микроуровне является отображение физических процессов в непрерывном пространстве и времени. С помощью дифференциальных уравнений в частных производных рассчитываются поля механических напряжений и деформацией отдельных деталей.
Функциональную ММ можно представить в общем виде:
где F – ожидаемый результат; х – управляемые переменные; y- неуправляемые переменные.
Скорость резания при точении:
где Ти – стойкость инструмента, мин; m- показатель относительной стойкости ин-та; t- глубина резания, мм; S- подача, мм/об; Kv- поправочный коэффициент; Cv- коэффициент, характеризующий условия обработки; xv, yv- показатели степени.
Процедура получения ММ элементов включает в себя следующие операции:
1.Выбор свойств обьекта, которые необходимо отразить в ММ.
2.Сбор исходной информации о выбранных свойствах ОП. Источники: знания и опыт проектировщика, литература, описание прототипов ММ.
3.Синтез структуры ММ – общий вид математических соотношений без конкретизации числовых значений. Структуру можно представить в графической форме.
4.Расчет числовых значений параметров ММ. Здесь ставится задача минимизации погрешности модели заданной структуры.
5.Оценка точности и адекватности ММ.
Численные методы решения дифференциальных уравнений с частными производными, являющиеся ММ на микроуровне, основаны на дискретизации переменных и алгебраизации задачи. Дискретизация – замена непрерывных переменных конечным множеством их значений в заданных для исследования пространственном и временном интервалах; алгебраизация – замена производных алгебраическими соотношениями.
2.8. Структурные модели.
Структурные или структурно- логические модели согласно ГОСТ 14.416- 83 подразделяют на табличные, сетевые и перестановочные – определяются строками булевой матрицы :
где Si – свойства моделей, влияющих на содержание проектирования; F(S)- набор свойств; FG…Fa – набор свойств элементов во всех вариантах объектов, отношение между элементами, состав элементов.
Модели типа S1 – называют табличными. Модели S2,S5,S7,S8 и S11 называют сетевыми. Модели S3,S4,S6,,S9,S10 и S12 – перестановочные. Объектом проектирования Ак может быть ТП, операция или технологический переход.
Табличные – в виде таблиц (типа матриц смежности) – отображают процесс обработки поверхностей группы деталей, имеющих некоторые сходные операции. По вертикали столбец- технологические переходы, по горизонтали строка- поверхности; элементы матрицы – 1 или 0.
Сетевая модель – сетевой график обработки поверхностей одной детали.
Перестановочная модель – граф, отображающий расцеховку при изготовлении изделия:
Рис.2.6. Перестановочная модель.
На рис.2.6. операторы это цеха: Р1- литейный, Р2 – кузнечный, Р3- механический, Р4 – термический, Р5 – сборочный, Р6 – лакокрасочный, Р7 – испытание и упаковка.
2.9.Математические модели на различных иерархических
уровнях.
2.9.1М.М, на микроуровне связаны с исследованием напряженного состояния деталей конструкции и расчетами на прочность. Напряженное состояние деталей конструкции в зависимости от геометрии узла, вида приложенной нагрузки и свойств материала описывается дифференциальными уравнениями различного вида. Они получаются из общего квазигармонического уравнения:
где x,y,z – пространственные координаты;
- искомая непрерывная функция; Kx,Ky,Kz – коэффициенты; Q – внешнее воздействие. Для двухмерного пространства уравнение 2.8 сводится к уравнению, описывающему напряженное состояние, которое возникает в поперечном сечении упругого однородного стержня под воздействием крутящего момента М:
где Е – модуль сдвига материала стержня;
- угол закручивания на единицу длины;
- функция, связанная с напряжениями сдвига
и
уравнениями:
В уравнении 2.8 в явном виде не входит крутящий момент. Он связан с искомой функцией с помощью :
где S – площадь рассматриваемого сечения.
Точное решение краевых задач получают только в частных случаях. Наиболее популярным методом решения краевых задач является метод конечных элементов.
2.9.2.На макроуровне рассматриваются особенности проектирования подсистем, выполняющих функцию, способствующую реализации ТЗ всей системы. Все подсистемы имеют выходной параметр, характеризуемый фазовыми переменными. Для каждой подсистемы присущи свои физические законы (физический подход к созданию ММ). Фазовыми переменными механической поступательной системы являются силы F и скорости V
(аналоги токов и напряжений). Уравнение вязкого трения:
где Rn=1/К– аналог электрического сопротивления; К- коэффициент вязкого трения.
Уравнение массы (второй закон Ньютона):
где a=dV/dt – ускорение; Cm =m – аналог электрической емкости (масса элемента).
Уравнение пружины:
где х – перемещение; к – жесткость пружины. При дифференцировании обеих частей уравнения 2.14 получим dF/dt=kV или
где Lm =1/к – аналог электрической индуктивности.
Для элемента, у которого учитывается сжимаемость:
где р- напряжение в элементе; Е- модуль Юнга; l- длина элемента;
- изменение длины элемента. Умножив на S (площадь поперечного сечения) и продифференцировав по времени, получим:
















