Для студентов МГТУ им. Н.Э.Баумана по предмету Кратные интегралы и рядыТеория поляТеория поля
5,0055
2020-10-142020-10-14СтудИзба
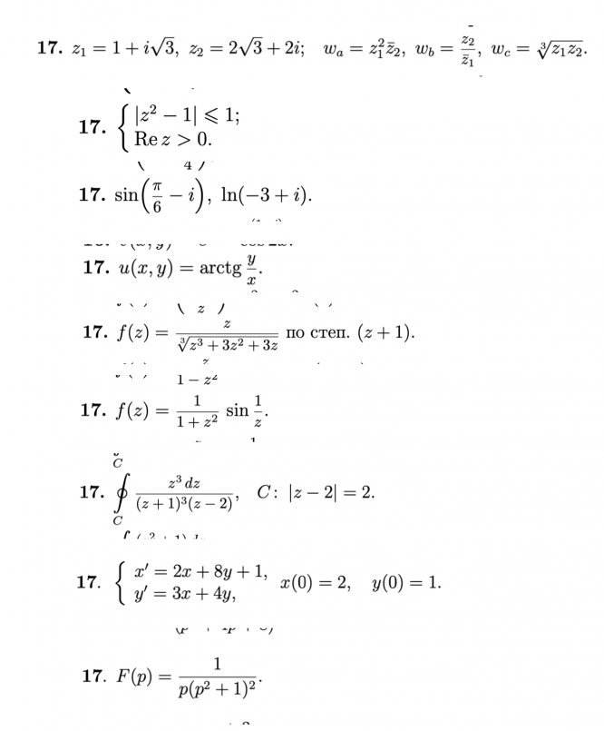
ДЗ 2: Теория поля вариант 17
Описание
Полностью принятое ДЗ2 часть 2 по ТПИР для БМТ (операционное исчисление; 9 задач)

Характеристики домашнего задания
Предмет
Учебное заведение
Семестр
Номер задания
Вариант
Просмотров
130
Размер
2,9 Mb