Диплом (1220284), страница 3
Текст из файла (страница 3)
Цифровые барометры. Барометры серии РТВ220 предназначены для непрерывного измерения атмосферного давления и барической тенденции в месте установки. Устанавливаются в рабочих помещениях и на открытом воздухе. Цифровые барометры серии РТВ220 имеют цифровой выход, последовательный интерфейс и могут применяться в качестве датчиков атмосферного давления в автоматизированных метеорологических измерительных системах. Барометры серии РТВ220 разработаны и серийно выпускаются фирмой Vaisala (Финляндия). Принцип действия барометров серии РТВ220 (вибрационно-частотные барометры) основан на использовании усовершенствованного RC‑генератора и трех опорных емкостей, относительно которых непрерывно опрашиваются емкостные первичные измерительные преобразователи давления и сенсоры температурной компенсации.
Рисунок 1.4 – Схема генератора с пятью емкостями
В барометрах, имеющих один датчик, применяется режим быстрого измерения, когда непрерывно измеряется частота измерительного преобразователя давления BAROCAP, а частоты трех опорных емкостей и сенсора температурной компенсации раз в 30 с. (изменение частоты опорных емкостей за любой промежуток времени можно считать пренебрежимо малым, а температура внутри прочного металлического корпуса датчика атмосферного давления остается устойчивой в течение десятков секунд). В барометрах серии РТВ220 емкостный преобразователь абсолютного давления BAROCAP с RC‑генератором является датчиком атмосферного давления [2].
Все эти методы и приборы определения атмосферного давления дают возможность составить карту погоды, в определенный момент времени на всей земле, что очень важно для прогнозирования погодных условий. Для получения адекватного прогноза погоды измерения должны выполняться с высокой точностью, а показания приборов должны быть приведены к единому международному стандарту.
При проведении наблюдений на метеорологический станциях или кораблях, используется электронный барометр и барометр-анероид установленный на классическую (стационарную) лабораторию наблюдения погоды или метеозонд.
Рисунок 1.5
Классическая метеорологическая лаборатория — это совокупность различных приборов для наблюдения за погодой. Достоинством данного метода для исследования является стабильность получения информации о погодных условиях. Недостатком данного метода является отсутствие данных на других изобарических уровнях. Пример станции изображен на рисунке 1.5.
Метеозонд представляет собой беспилотный аэростат, предназначенный для изучения атмосферы. Прибор позволяет измерять давление воздуха, влажность, температуру и другие параметры. Замеры перемещения шара позволяют определять скорость ветра на разных высотах. Информация, как правило, передается по радио. До внедрения радио на метеозондах устанавливали метеорографы, которые нужно было возвращать на землю. Если шар запускают только для измерения скорости ветра, то его называют «шар-пилот». Достоинством данного метода исследования погоды является получение данных со всей атмосферы в данной точке земли. В свою очередь, недостатком является возможная потеря связи с зондом во время его работы. Пример метеозонда можно рассмотреть на рисунке 1.6
Рисунок 1.6 – Зонд
Все данные о погоде поступают в общую базу данных со всех метеорологических станций. Этими данными может воспользоваться любая метеорологическая служба в мире для расчета в численных моделях прогноза погоды всех уровней, от глобальных до мезомасштабных. Численная модель прогноза погоды — мощная программа (программный комплекс), позволяющая на основе физических и эмпирических законов рассчитывать прогноз погоды [4]. В каждой стране применяется своя модель, подходящая по определенным критериям. Главным критерием считается географическое расположение страны. В России, в связи с большой территориальной площадью (17 125 407 км²), а также большой протяженностью с Запада на Восток, каждый регион использует определенную прогностическую модель, подходящую непосредственно под особенности погодных условий региона. В Дальневосточном регионе используется Weather Research and Forecasting - Advanced Research WRF (WRF-ARW). Из данной модели будут взяты данные давления и температуры на уровне земли, значения геопотенциала и географические координаты данной точки, а также другие данные.
-
Модели данных и их особенности
В настоящее время практически во всех крупных странах создаются иерархии прогностических моделей от глобальных до мезомасштабных, большая часть которых имеет примерно одинаковое качество. Сопоставление моделей не выделяет, как правило, лидера, дающего качество прогнозов всех метеорологических величин намного лучшее, чем в других моделях. Это более или менее естественно, так как различные авторские коллективы, создающие прогностические модели, черпают информацию как по вычислительным, так и различным физическим аспектам моделей из одного и того же источника, называемого мировой литературой.
На фоне такой интегральной однородности моделей обнаруживается, что одна модель систематически лучше предсказывает одну группу метеорологических величин, другая модель – другую группу метеорологических величин, а третья – третью, т.е. возможно наиболее рационально делать ансамбль прогнозов по нескольким родственным моделям, изучать качество прогнозирования ими различных метеорологических величин, а затем использовать эту информацию для определения весов различных членов ансамбля при составлении прогноза той или иной метеорологической величины. Опыт такого рода уже имеется и дает хорошие результаты. Создание любой прогностической модели, и мезомасштабной в частности, требует значительного времени и усилий, поэтому, как правило, разрабатывается по одной модели в каждой стране.
Применительно к мезомасштабным прогнозам такого рода можно было бы позаимствовать модели в США, Великобритании, Германии, Франции и Канаде. Однако, для этого необходимы определенные организационные усилия и подробная техническая документация. Последняя не всегда бывает доступна.
Более открытую политику в части предоставления своих моделей пользователям из различных стран имеет Национальный центр атмосферных исследования США (National Center for Atmospheric Research). Помимо самих программных средств он предоставляет пользователям подробные описания моделей и руководства по их эксплуатации, а также периодически проводит учебные семинары. Это делает вполне реальным освоение моделей NCAR (National Center for Atmospheric Research) в сравнительно короткие сроки и привлекательными для использования в научных и оперативных целях как в США, так и во многих других странах мира [4].
По сравнению с оперативными моделями, эксплуатируемыми метеорологическими службами, модели MM5 и WRF обладают одним несомненным преимуществом: имеется выбор из двух динамических блоков (только в модели WRF) и из нескольких процедур параметризации по всем физическим процессам. Это дает возможность сравнить качество различных алгоритмов и процедур и отобрать для дальнейшего использования наилучшую, а при наличии вычислительных ресурсов строить ансамбль прогнозов, члены которого отличаются набором используемых параметризацией.
Представляется, что параллельная эксплуатация модели MM5 или WRF может принести как практическую, так и методическую пользу Гидрометцентру РФ и, возможно, другим прогностическим подразделениям Росгидромета.
Поскольку модель WRF является дальнейшим развитием модели MM5, в настоящем обзоре дается описание модели WRF как более совершенной модели.
Модель WRF-ARW разработана в США. Здесь WRF является сокращением от Weather Research and Forecasting. Вторые составляющие сокращения названия модели обозначается различные динамические ядра. ARW — сокращение от Advanced Research WRF, это динамическое ядро было разработано в NCAR (National Center for Atmospheric Research). Модель WRF-ARW начала эксплуатацию в NCEP с ноября 2004 г., в Гидрометцентре России эксперименты в 2007 г. Основная цель этих экспериментов состояла в том, чтобы оценить возможности использования моделей в целях краткосрочного прогноза опасных явлений погоды (сильных осадков и ветров, града), связанных с интенсивными мезомасштабными системами циркуляции: мезомасштабными конвективными комплексами, линиями шквалов и атмосферными фронтами.
Основная отличительная черта модели WRF состоит в том, что в ней используется несколько отличная вертикальная координата, примененная впервые в работе Лаприза [5], исходя из предложения Касахары [6] относительно возможности записи уравнения сохранения массы в дивергентной форме при наложении на вертикальную координату определенных ограничений. В оригинальной работе Лаприза она была названа координатой π. Данная координата приводит уравнение сохранения массы к дивергентному виду, что заметно упрощает запись уравнений движения в дивергентной(потоковой) форме. Эта координата обладает отличительным свойством:
,
т.е. имеет точно такую же зависимость от высоты, как и гидростатическое давление ph.
Модель ARW базируется на не гидростатических уравнениях для сжимаемой жидкости, записанных в декартовых координатах по горизонтали и с использованием орографической координаты η, которая напоминает сигма‑координату, но отличается от нее тем, что она определяется не через полное давление p, а через его гидростатическую составляющую ph:
η = (ph − pht) / μ, μ = phs − pht,
где phs и pht — гидростатическое давление на нижней и верхней границах области, соответственно.
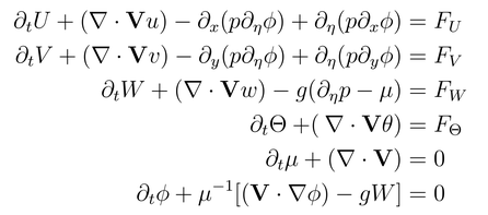
С подробным выводом системы исходных уравнений ARW можно познакомиться в работах Клемпа и др. [7], Скамароха и др. [8]. Здесь будет приведена окончательная форма уравнений, которые
затем дискредитируются:
Эти прогностические уравнения дополняются диагностическими, вытекающими из гидростатичности вертикальной координаты:
представляющей собой уравнение гидростатики, и уравнением для возмущений, а также уравнением состояния.
Отличительная особенность исходной системы ARW состоит в том, что прогностические уравнения написаны в дивергентной (консервативной) форме. И уравнения с переменными μΦ тоже можно было написать в консервативной форме, но авторы этого не сделали, так как μΦ не является консервативной переменной. Можно было бы также использовать прогностическое уравнение для давления вместо используемого уравнения, как это сделано в модели ММ5 и в работе Лаприза [5], но давление — не сохраняемая переменная, и авторы не могли использовать уравнение для давления и уравнение для Θ в консервативной форме, потому что они линейно зависимы. Кроме этого, прогностическое уравнение для давления имеет член с дивергенцией, умноженный на большой коэффициент (пропорциональный скорости звука), который затрудняет дискретизацию по времени и пространству.
-
Условия исследования
Поставленная задача будет считаться выполненной, если полученные результаты пройдут верификацию. Верификация — один из методов проверки достоверности данных. Одни данные сверяются с другими, чья достоверность известна. Дополнительной задачей, поставленной при решении основной проблемы, будет разработка алгоритма верификации данных, и реализация программных средств для автоматической проверки достоверности работы разработанного программного решения. Верификация будет проходить в определенном порядке, представленном на блок‑схеме,
отображенной на рисунке 1.7.
Рисунок 1.7 — Блок‑схема процесса комплекса проверки данных
Верификация данных давления на уровне моря проходит в несколько этапов:-
получение первого приближенного результата по каждому из методов;
-
проверка на точность полученных результатов с заданной точностью;
-
проведение дополнительной обработки данных, полученных на 1 этапе;
-
повторное проведения исследования со второго этапа до тех пор, пока данные не будут соответствовать требованиям;
-
проверка данных о давлении с данными других метеорологических центров.
На каждом этапе будут проводиться тройная проверка.
Первой проверкой является визуальное сравнение полученных на текущем этапе исследования метеорологических карт дальневосточного региона с результатами предыдущего этапа исследования.
В качестве второго метода сравнения был выбран статистический метод. В методе сравниваются поля данных о давлении каждого этапа моделирования давления на уровне моря. Целью сравнения является оценка среднего арифметическое значения вычисляемого по формуле (1.1), среднеквадратичного отклонения (СКО) вычисляемого по формуле (1.2), среднего квадратичного значения вычисляемого по формуле (1.3), математического ожидания вычисляемого по формуле (1.4), дисперсии вычисляемой по формуле (1.5), арифметической разности вычисляемой по формуле (1.6), абсолютной разности вычисляемой по формуле (1.7) и коэффициента корреляции по формуле (1.8).















