ПЗ (1207587), страница 4
Текст из файла (страница 4)
, (1.1)
где
- допускаемое напряжение рельсовой стали;
- температурные напряжения, действующие в рельсе.
За допускаемое напряжение
принимается гарантированный предел текучести рельсовой стали.
Допускаемое расчетное напряжение в рельсах бесстыкового пути, МПа, (с термоупрочненными рельсами) определяется как
, МПа. (1.2)
1.3.2 Расчет верхнего строения пути на прочность
Вертикальная динамическая максимальная нагрузка
, кг, колеса на рельс определяется по формуле[3]
, (1.3)
где Рср – среднее значение вертикальной нагрузки колеса на рельс, кг;
λ – нормирующий множитель, определяющий вероятность появления
, для расчетов принимаем λ = 2,5;
S – среднееквадратическое отклонение динамической вертикальной нагрузки колеса на рельс, кг.
Среднее значение вертикальной нагрузки Рср, кг, колеса на рельс определяется по формуле
, (1.4)
где Рст – статическая нагрузка колеса на рельс, кг (см. табл. 1.6);
- динамическая максимальная нагрузка колеса на рельс, возникающая за счет колебания кузова на рессорах, кг.
Динамическая максимальная нагрузка колеса на рельс
, кг, возникающая за счет колебания кузова на рессорах определяется по формуле
, (1.5)
где Ж – жесткость рессорного подвешивания, приведенная к колесу, кг/мм (см. табл. 1.6);
zмах – динамический прогиб рессорного подвешивания для локомотива 2ТЭ10В
(1.6)
Среднее квадратическое отклонение динамической вертикальной нагрузки колеса на рельс от вертикальных колебаний S, кг, определяется по формуле
, (1.7)
где Sp - среднее квадратическое отклонение динамической нагрузки колеса на рельс от вертикальных колебаний надрессорного строения, кг;
Sнп - среднее квадратическое отклонение динамической нагрузки колеса на рельс от сил инерции необрессоренных масс при прохождении колесом изолированной неровности пути, кг;
Sннк - среднее квадратическое отклонение динамической нагрузки колеса на рельс от сил инерции необрессоренных масс, возникающих из-за, движении колеса с плавной непрерывной неровностью на поверхности катания кг;
Sинк - среднее квадратическое отклонение динамической нагрузки колеса на рельс от сил инерции необрессоренных масс, возникающих из-за наличия на поверхности катания колес плавных изолированных неровностей, кг.
Среднее квадратическое отклонение динамической нагрузки колеса на рельс от вертикальных колебаний надрессорного строения
, кг, определяется по формуле
. (1.8)
Среднее квадратическое отклонение динамической нагрузки колеса на рельс от сил инерции необрессоренных масс
, кг, при прохождении колесом изолированной неровности пути определяется по формуле
, (1.9)
(1.10)
где L - коэффициент, учитывающий влияние на образование динамической неровности пути, типа шпал, типа рельсов, род балласта, материала шпал (см. табл. 1.7);
lш – расстояние между осями шпал: при эпюре шпал 1840 шт./кмlш =55см;;
U - модуль упругости рельсового основания, (см. табл. 1.7);
К – коэффициент относительной жесткости рельсового основания и рельса, см-1;
, (1.11)
где E – модуль упругости рельсовой стали, E=2,1∙106 кг/см2;
Jв – момент инерции поперечного сечения рельса относительно его центральной горизонтальной оси, проходящей через его центр тяжести, см4 (см. табл. 1.7)
q – вес необрессоренных частей экипажа, отнесенный к одному колесу, кг (см. табл. 1.6);
Рср – среднее значение вертикальной нагрузки колеса на рельс, кг;
V – скорость движения экипажа, км/ч.
Среднее квадратическое отклонение Sннк, кг, динамической нагрузки колеса на рельс от сил инерции необрессоренных масс
, кг, при движении колеса с плавной непрерывной неровностью поверхности катания определяется по формуле
, (1.12)
, (1.13)
где α0 – коэффициент, характеризующий отношение необрессоренной массы колеса к участвующей во взаимодействии массе пути (см. табл. 1.7);
β1 - коэффициент, характеризующий степень неравномерности образования проката поверхности катания, β1 = 0,23;
U - модуль упругости рельсового основания, кг/см2,
d – диаметр колеса, см .
Расчетная формула после подстановки известных численных значений приобретет вид
. (1.14)
Среднее квадратическое отклонение Sинк, кг, динамической нагрузки колеса на рельс от сил инерции необрессоренных масс
, кг, при движении колеса с плавной изолированной неровностью на поверхности катания определяется по формуле
, (1.15)
, (1.16)
где е – расчетная глубина плавной изолированной неровности на поверхности катания колеса, принимается равной 2/3 от предельной допускаемой глубины неровности, е=0,067 см;
умах – максимальный дополнительный прогиб рельса при прохождении колесом конусоидальной неровности, отнесенной к единице глубины неровности, умах = 1,47, см.
Максимальная эквивалентная нагрузка
, кг, для расчетов напряжений в рельсах от изгиба и кручения определяется по формуле
, (1.17)
где
- динамическая максимальная нагрузка от колес на рельс, кг;
μi – ординаты линии влияния изгибающих моментов рельса в сечениях пути, расположенных под колесными нагрузками от осей экипажа, смежных с расчетной осью ;
Рср – среднее значение вертикальной нагрузки колеса на рельс, кг.
Максимальная эквивалентная нагрузка
, кг, для расчетов напряжений и сил в элементах подрельсового основания определяется по формуле
, (1.18)
где
- динамическая максимальная нагрузка от колес на рельс, кг;
ηi – ординаты линии влияния прогибов рельса в сечениях пути, расположенных под колесными нагрузками от осей экипажа, смежных с расчетной осью;
Рср – среднее значение вертикальной нагрузки колеса на рельс, кг.
Определение расчетной оси
Для получения наибольших напряжений в рельсах необходимо иметь от системы заданных сил максимальное значение изгибающего момента
, а для напряжений на шпале, в балласте и на основной площадке земляного полотна – максимальное значение нагрузки на шпалу
. Они возникают под одним из колес расчетной оси.
При определении наибольших напряжений от изгиба и кручения в рельсах от воздействия эквивалентной нагрузки
за расчетную ось принимается первая ось (рис. 1.5). Аналогично принимается при расчетах наибольших напряжений и сил в элементах подрельсового основания от воздействия эквивалентной нагрузки
(рис. 1.6).
Рисунок 1.5 - Схема для определения наименее выгодного положения нагрузки
(выбора расчетной оси)
Рисунок 1.6 - Схема для определения наименее выгодного положения нагрузки
(выбора расчетной оси)
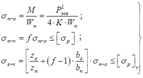
Максимальные напряжения изгиба и кручения в рельсах при воздействии вертикальных внецентренно приложенных и горизонтальных поперечных сил от колес подвижного состава определяются по формулам
(1.19)
где σ п-о – осевое напряжение в подошве рельса, кг/см2;
σ п-к – напряжение в кромке подошвы рельса, кг/см2;
σ г-к – напряжение в кромке головки рельса, кг/см2;
Wn – момент сопротивления рельса относительно наиболее удаленного волокна на подошве, см3 ;
К – коэффициент относительной жесткости рельсового основания и рельса, см -1;
- максимальная эквивалентная нагрузка для расчетов напряжений в рельсах от изгиба и кручения, кг;
zг и zn – расстояние от горизонтальной нейтральной оси до крайних волокон соответственно головки и подошвы с учетом износа, см;
bг и bn – ширина соответственно головки и подошвы рельса, см;
- коэффициент перехода от осевых напряжений к кромочным,
;
- расчетное допускаемое напряжение в рельса от поездной нагрузки, кг/см2.
Максимально напряжение в прокладках на железобетонных шпалах σпр, кг/см2, определяется по формуле
, (1.20)
где ω – площадь подкладки, см2.
Максимально напряжение в балласте под шпалой σб, кг/см2, определяется по формуле
, (1.21)
где Q– нагрузка на шпалу от рельса, кг;
- площадь полушпалы с поправкой на изгиб, см2;
lш – расстояние между осями шпал, см;
- максимальная эквивалентная нагрузка для расчетов напряжений в элементах подрельсового основания, кг.
Полученные в результате расчета напряжения σш и σб сравнивают с допускаемыми [σш] и [σб].
Превышение расчетных максимальных напряжений в рельсах σп-к,
σг-к над допускаемыми [σб] указывает на необходимость уменьшения скорости движения поездов по условию прочности пути.
Превышение расчетных напряжений в прокладках железобетонных шпал и напряжений в балласте σш и σб над допускаемыми [σш] и [σб] указывает на необходимость усиления пути и улучшения его текущего содержания на таких участках. Превышение расчетных напряжений над допускаемыми в пределах 30 % не является поводом для уменьшения скорости движения поездов.
Нормальные напряжения σh, кг/см2, в балласте на глубине h от подошвы шпалы по расчетной вертикали определяется по формуле:
, (1.22)
где
и
- напряжения от воздействий соответственно 1-й и 3-й шпал, лежащих по обе стороны от расчетной шпалы, кг/см2;















