ПЗ (1199709), страница 14
Текст из файла (страница 14)
Завоз ВМ к месту погрузки производится в сроки, установленные начальником станции или его заместителем в соответствии с требованиями. До завоза ВМ на станцию ответственный представитель грузоотправителя, выделенный для руководства указанными работами, получает от начальника станции, а при его отсутствии от заместителя начальника станции подтверждение о возможности и точном времени завоза ВМ в указанные сроки. Такое подтверждение начальником данной станции или его заместителем дается при условии обязательного обеспечения подвижным составом всей намеченной к отправлению партии груза. Завоз груза на станцию ранее указанного времени запрещается. До завоза ВМ к месту погрузки грузоотправитель заранее доставляет необходимые при погрузке инструменты и материалы, а также средства для ликвидации последствий в случае повреждения грузовых мест или аварийных ситуаций. При завозе ВМ на станцию по частям одновременно с первой партией груза прибывают также рабочие-грузчики (воинская команда).
Вагоны, загруженные ВМ не до полной вместимости или грузоподъемности, догружаются неопасными и нелегковоспламеняющимися грузами, следующими в адрес того же грузополучателя. После погрузки ВМ прочно закрепляются в соответствии с действующими сетевыми или местными техническими условиями или чертежами (схемами) (в случае, если погрузка не предусмотрена техническими условиями погрузки и крепления грузов), утвержденными в установленном порядке.
Схемы размещения и крепления ВМ учитывают следующие общие положения:
а) грузовые места размещают равномерно по всей поверхности пола, вплотную друг к другу;
б) ящики размещают крышками вверх, бочки устанавливаются пробками вверх;
в) боеприпасы укладывают в вагоне продольной осью изделий поперек вагона; боеприпасы, которые по своим габаритам не могут быть уложены продольной осью поперек вагона, укладываются продольной осью вдоль вагона;
г) места с наиболее чувствительными к механическим воздействиям грузами располагают так, чтобы их можно было загрузить в последнюю и выгрузить в первую очередь;
д) необходимо максимальное использование вместимости и грузоподъемности вагона, если нет ограничений в нормативной документации (ИД);
При наличии в технической документации на ВМ особых указаний по количеству и способу размещения ВМ при разработке схем необходимо руководствоваться этими особыми указаниями, указанными в технической документации соответствующей станции.
Особое внимание надлежит обращать на надежность крепления верхних рядов ВМ во избежание сдвига и падения отдельных мест при перевозке, а также на прочность крепления ВМ, перевозимого на открытом подвижном составе. Крепление ВМ в вагоне производится с большой осторожностью, с помощью инструментов, не дающих искры при работе (латунных, медных, бронзовых и т.п.); не допускаются толчки, удары и давление на тару.
После погрузки двери вагонов плотно закрываются, дверные накладки фиксируются запорно-пломбировочными устройствами или укрепляются проволочными закрутками с плашками, и вагон пломбируется пломбами грузоотправителя. Вагон пломбируется только после того, как ответственный руководитель погрузки удостоверится в том, что погрузка произведена согласно всем требованиям правильно, и ВМ надежно закреплены. При погрузке, выгрузке, опломбировании вагонов, снятий с них пломб обязательно присутствие специалиста, сопровождающего транспорт.
О прибытии ВМ на станцию назначения, а также о подаче вагонов с ВМ под выгрузку на подъездные пути или специально выделенные места станция назначения немедленно уведомляет грузополучателя в установленном начальником станции порядке. Грузополучатель принимает вагоны с ВМ не позднее чем через 2 ч с момента прибытия их на станцию. О прибытии вагонов с ВМ, принадлежащими МО, и об их подаче под выгрузку начальник станции в установленном порядке ставит в известность военного коменданта железнодорожного участка Хабаровск 2 - Бикин и станции Хабаровск 2, а по грузам МВД и службы безопасности - ОСП МВД.
Грузополучатель:
а) имеет постоянную связь с начальником или соответствующими работниками станции, по грузам МО, МВД и службы безопасности - с военным комендантом железнодорожного участка и станции и ОСП МВД, знает количество ВМ, следующих в его адрес, заблаговременно подготавливает место и средства для выгрузки и назначить ответственного за прием ВМ;
б) к моменту подачи вагонов под выгрузку высылает рабочих-грузчиков (воинскую команду) с ответственным руководителем выгрузки, которые обеспечивают выгрузку ВМ в установленные сроки и их охрану;
в) вывозит ВМ со станции в течение 12 ч с момента подачи вагонов под выгрузку;
г) при частичной выгрузке оставшуюся часть ВМ надежно закрепляет от развала в освободившееся пространство по ярусам и по всей высоте погрузки одновременно щитами и распорными брусками согласно требованиям технических условий погрузки и крепления грузов.
Начальник станции, а по грузам МО и военный комендант железнодорожного участка Хабаровск 2 - Бикин и станции Хабаровск 2 следят за своевременной погрузкой, выгрузкой и вывозом ВМ. Количество вагонов, подаваемых под погрузку или выгрузку на специально выделенные места станций, не превышает вместимости пути или фронта погрузки (выгрузки). Если путевые устройства станции допускают возможность производства указанных работ в двух и более пунктах, то погрузка, выгрузка или перегрузка производятся в этих пунктах одновременно при условии расположения их друг от друга на расстоянии не менее 125 м.
Таким образом, для обеспечения безопасности соблюдается ряд правил при перевозки взрывчатых веществ, осуществляется согласно им при погрузке, выгрузке и перегрузке данного груза. Погрузо-выгрузочные площадки имеются строго на определенном расстоянии, при котором разрешено грузить, маркировать, и подготавливать груз к приему или отправки во избежание чрезвычайных ситуации и несчастных случаев.
7.5 Расчет определения вероятного характера разрушения зданий, сооружений станции Хабаровск 2 и потери среди работников при случайном взрыве взрывчатых веществ во время их выгрузки
Во время выгрузки взрывчатых веществ на выгрузочной площадке станции Хабаровск 2 произошел взрыв груза.
Расчетным путем рассчитаем, какие повреждения получили здания, сооружения железнодорожной станции и какие потери среди работников, если количество взрывчатых веществ (ВВ) на выгрузочной площадке
, здание поста ЭЦ 2-этажное кирпичное, расположено на расстоянии 1000 м от выгрузочной площадки, контактная сеть - на расстоянии 500 м, подвижной состав (вагоны) - на расстоянии 500 м.
По формуле рассчитаем расстояние различного избыточного давления:
(7.1.)
-где
- известные расстояния при взрыве ВВ от 1000 т;
- неизвестные расстояния при взрыве 80 т ВВ;
- ВВ массой 1000 т;
- количество ВВ на складе.
Находим постоянную величину правой части уравнения закона подобия взрывов:
Определяем расстояния для избыточных давлений
соответственно 0,1; 0,2; 0,3; 0,4; 0,5; 0,8; 1,0
:
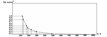
Построим изолинию избыточного давления при взрыве взывчатых веществ массой 80 т.
Рисунок 7.3. Изолиния избыточного давления при взрыве взрывчатых веществ массой 80т
По расстоянию от места расположения выгрузочной площадки до различных сооружений железнодорожной станции определяем избыточное давление, воздействующее на сооружения:
-
здания поста ЭЦ
-
контактную сеть
-
подвижной состав
Из данных вычислений следует, что контактная сеть, здание поста ЭЦ и подвижной состав не будет задет. Выгрузочно-погрузочные площадки располагаются на безопасном расстоянии.
Для безопасной перевозки взрывчатых веществ необходимо соблюдать ряд правил, требования охраны труда и безопасности. При их соблюдении разрешается перевозить взрывчатые вещества мелкими партиями. Прежде чем грузить взрывчатые вещества в вагон, работники вагонного хозяйства удостоверяются в его технической и коммерческой исправности. Перед отправкой груза, на транспортные пакеты наносят соответствующую маркировку, а также на транспортное средство наклеивают съемный ярлык опасности, который будет соответствовать номеру аварийной карточки груза. При сопровождении охраны в состав поезда ставятся крытые вагоны, пригодные для перевозки людей.
Таким образом, для обеспечения безопасности перевозки взрывчатых веществ необходимо соблюдать ряд правил, действовать согласно им при погрузке, выгрузке и перегрузке данного груза. Погрузо-выгрузочные площадки необходимо иметь строго на определенном расстоянии, при котором разрешено грузить, маркировать, и подготавливать груз к приему или отправки во избежание чрезвычайных ситуации и несчастных случаев.
Заключение
В ходе дипломного проектирования была проделана следующая работа: дана техническо-эксплуатационная характеристика Дальневосточной ж.д.; определены плановые среднесуточные вагонопотоки Хабаровского региона, за основу которых были взяты вагонопотоки февраля месяца погрузки региона в 2016 году; проанализирован полигон Дальневосточной ж.д. относительно сдвоенных поездов. Разработан график движения поездов на участке Хабаровск 2 – Бикин и подсчитаны его показатели; произведен расчет показателей работы региона. В разделе безопасности жизнедеятельности исследована организация безопасности перевозки взрывчатых веществ на участке Хабаровск 2 – Бикин.
Каждый раздел дипломного проекта содержит краткую характеристику выполняемой работы, а также подробный расчет. Экономическая оценка графиков движения поездов показала, что вариант 2 с пропуском сдвоенных поездов выгоднее на 118532,70 руб., а это значительная сумма, особенно в условиях экономической нестабильности.
Подведя итоги можно сделать вывод, что эффективность того или иного варианта организации пропуска поездов в период «окна» напрямую зависит от количества возможных пропущенных поездов: за счет пропуска сдвоенных поездов увеличиваются и число проследованных поездов в общем, что является положительным моментом в период экономической нестабильности.
Список использованных источников
1. Правила перевозок опасных грузов по железным дорогам (утв. СЖТ СНГ, протокол от 05.04.1996 N 15).
















