Ignatov Viktor Vladimirovich 2016 (1199203), страница 3
Текст из файла (страница 3)
, кг;
, кг;
, кг;
, кг;
, кг;
, кг;
, кг;
, кг;
, кг;
Таблица 1.3 - Значения и в зависимости от ( l) для четырехосного вагона
V,Км/ч | k, см-1 | li, см | k li, | | |
| 60 | 0,014 | 185 | 3,7 | -0,0079 | 0,0341 |
, кг;
, кг;
, кг/см2;
, кг/см2;
, кг/см2;
, кг/см2;
, кг/см2;
Полученные в результате расчета напряжения σш и σб сравнивают с допускаемыми [σш] и [σб]. В соответствии с [1] принимаем [σш]=15 кг/см2, [σб] = 3 кг/см2. Данные расчетов не превышают допустимые значения, следовательно, на данном участке уменьшение скорости не требуется.
, кг/см2
кг
кг
, кг/см2
, кг/см2
, кг/см2
, кг/см2
, кг/см2 < [
] = 3 кг/см2
В пункте были произведены расчеты пути на прочность и при сравнении полученных результатов с допускаемыми оценочными критериями прочности. В результате сравнения определили, что полученные результаты не превышают максимально допустимых норм. Из этого следует, что конструкция пути соответствует всем нормам прочности пути и не требует каких либо изменений.
1.3. Расчет устойчивости пути против поперечного сдвига
Поперечный сдвиг рельсошпальной решетки под поездом является прямой угрозой безопасности движения поездов. При неблагоприятных сочетаниях воздействующих на путь вертикальных и горизонтальных поперечных сил может произойти поперечный сдвиг рельсошпальной решетки по балласту, особенно загрязненному или в талом состояние [9].
Рисунок 1.3 – Расчетная схема определения поперечной устойчивости пути.
Р1 и Р2 – нагрузка от колеса на рельсы; Yб – боковая сила; Q1 и Q2 – давление рельсов на шпалу; Нш-1 и Нш-z – поперечные силы, действующие на шпалу от двух рельсов; С0 – начальное сопротивление смещению шпалы; Fтр – сила трения шпалы по балласту; fр – коэффициент трения скольжения колеса по рельсу.
Из расчета на прочность известно, что
(1.28)
где кв – коэффициент относительной жесткости подрельсового основания и рельса, м-1; l – расстояние между осями шпал, м.
Удерживающая от сдвига шпал сила – сопротивление их поперечному перемещению в балласте определяется по формуле [9]
(1.29)
где С0 – начальное сопротивление смещению шпал при отсутствии вертикальной нагрузки, С0 = 2…6 кН; Fтр – сила трения шпалы по балласту при наличии вертикальной нагрузки;
- коэффициент трения шпалы по балласту.
Поперечная сдвигающая сила является равнодействующей двух сил, приложенных к рельсам и определяется по формуле [9]
, (1.30)
где fp – коэффициент трения скольжения колеса по рельсу, fp = 0,25…0,45.
Поскольку наибольшие боковые силы передаются, как правило, от первых направляющих колес, сила трения
принимается со знаком минус.
Поперечна сдвигающая сила Нш-1, действующая на шпалу от наружного рельса, и поперечная сила Нш-2, действующая на шпалу от второго (внутреннего) рельса и препятствующая сдвигу, определяется по формулам [9]
, (1.31)
, (1.32)
где кг – коэффициент относительной жесткости подрельсового основания и рельса в горизонтальной плоскости, м-1.
Суммарная сила, сдвигающая шпалу, определяется по формуле [9]
(1.33)
При торможении в кривой возникает дополнительная поперечная сила, которая определяется по формуле
, (1.34)
где Nт – тормозная сила, т; Lc – расстояние между центрами автосцепок вагона, м.
Коэффициент устойчивости пути против поперечного сдвига под поездом определяется отношением удерживающих и сдвигающих сил определяется по формуле [9]
. (1. 35)
После сокращения на l/2 формула примет вид
. (1.36)
Рассмотрим случай предельного равновесия, т.е. примем n = 1. При этом получим
(1.37) .
Отсюда видно, что путь под поездом с осевой нагрузкой Рср оказывается в предельном равновесии, если поперечная боковая сила достигает величины
(1.38)
После деления левой и правой части на величину Рср получим предельно допустимое отношение поперечной боковой силы к вертикальной:
(1.39)
где fш – деревянные шпалы на щебне, fш = 0,35…0,40.
Путь можно считать устойчивым, если
>
.
Расчет:
Исходные данные: рельсы Р65 на железобетонных шпалах с эпюрой 2000шт./км, балласт щебеночный, состояние пути удовлетворительное (
=0,45,
=0,25,
=2кН). Радиус кривой 325 м, возвышение наружного рельса h=95 мм, анп = 0,32 м/с2.
Характеристика подвижного состава: грузовой поезд, движущийся со скоростью 60 км/ч. Расчетная тормозная сила Nт=0, 700 и 1000 кН. Расстояние между центрами автосцепок вагонов Lс=13,92 м.
У груженого вагона величины боковых сил
при расчетном ускорении в расчетных тормозных силах N у загруженного вагона определяем по рис. 1.3
=72кН
=97кН
=110кН
Так как условие
>
выполняется, то устойчивость пути против поперечного сдвига полностью обеспечивается.
1.4 Выполнение многовариантных расчетов пути на прочность с помощью ЭВМ
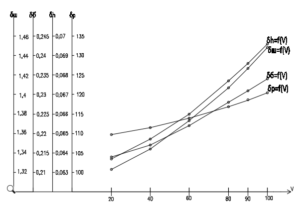
Рисунок 1.4 – График зависимости напряжений от скорости подвижного состава (δр- напряжение в рельсе, δш-напряжение в шпале, δБ- напряжение в балласте, δh- напряжение в балласте на глубине h)
Рисунок 1.5 – График зависимости напряжений от модуля упругости подрельсового основания (δр- напряжение в рельсе, δш-напряжение в шпале, δБ- напряжение в балласте, δh- напряжение в балласте на глубине h)
Рисунок 1.6 – График зависимости напряжений от скорости подвижного состава (δр- напряжение в рельсе, δш-напряжение в шпале, δБ- напряжение в балласте, δh- напряжение в балласте на глубине h)
По результатам расчетов на ЭВМ строим графики зависимости напряжений в элементах верхнего строения пути от модуля упругости при Рст=30 т/ось, V=60 км/ч и зависимости напряжений в элементах верхнего строения пути от статической нагрузки при U=150 кг/см2, V=60 км/ч.
Во всем диапазоне осевых нагрузок напряжения не превышают допускаемых, поэтому возможно применение рельсов типа Р65 на данном участке. Напряжения на шпале под подкладкой изменяется по линейному закону. Наибольшие напряжения 11,68 кг/см2, что ниже допускаемых при грузонапряженности. Для снижения напряжений рекомендуется применять упругие прослойки под подошвой шпалы. Для оценки влияния модуля упругости подрельсового основания необходимо выполнить отдельные расчеты.
Напряжения на балласте под шпалой и в уровне основной площадки также изменяются по линейному закону, наибольшие значения 1,96 кг/см2, что ниже допускаемого. Для снижения уровня величин напряжений рекомендуется укреплять основную площадку земляного полотна прослойками из мелкозернистого песка.
Для того чтобы выяснить, влияние модуля упругости на значение напряжения в элементах верхнего строения пути выполнены расчеты при значениях модуля 50, 100 и 120 кг/см2. Эти расчеты позволяют учесть повышение модуля при замерзании зимой и снижения его в результате применения различных конструкций. Все построенные зависимости имеют не линейный характер. Увеличение модуля ведет к снижению напряжений в кромке подошвы рельса.
Напряжения в остальных элементах растут по зависимости близкой к параболе. Напряжения на шпале меньше допускаемых при модуле 120 кг/см2. Напряжения на балласте не превышает допускаемых при модуле 120 кг/см2. Напряжения на основной площадке меньше допускаемых.
-
РАСЧЕТ УСЛОВИЙ УКЛАДКИ И ЭКСПЛУАТАЦИИ БЕССТЫКОВОГО ПУТИ.
2.1 Расчет бесстыкового пути на прочность.
Основное отличие в работе бесстыкового пути от обычного звеньевого состоит в том, что в рельсовых плетях бесстыкового пути, кроме изгибных и других напряжений от воздействия колес подвижного состава, испытывают значительные температурные напряжения – сжимающие летом и растягивающие зимой.
Расчет прочности бесстыковой рельсовой плети основан на условии, что наибольшие напряжения от воздействия на путь подвижного состава и изменений температуры рельсов не превысят допустимые значения
летом
, (2.1)
зимой
, (2.2)
где Кп - коэффициент запаса прочности (1,3);
- максимальные вероятные кромочные напряжения от колес подвижного состава соответственно в головке при летних условиях эксплуатации и в подошве – при зимних, МПа;
- температурные напряжения в поперечном сечении рельса от действия температурных сил, возникающих соответственно при повышении и понижении температуры рельсовой плети относительно нейтральной температуры t0, МПа;
[]- допускаемое напряжение в рельсах (400), МПа.
Так как температурные напряжения зависят от температуры закрепления, то основной задачей расчета бесстыкового пути является определение расчетного интервала температур закрепления плетей, исключающего возникновение напряжений, превосходящих допускаемые и обеспечивающего устойчивость пути. Кроме этого рассчитывается режим работы бесстыкового пути в заданной климатической зоне, то есть определяется, если в этом есть необходимость, допускаемые скорости движения поездов в период действия низких температур рельсов.
Конструкция верхнего строения пути и экипажной части подвижного состава должны находиться в исправном состоянии, соответствующем требованиям "Правил технической эксплуатации железных дорог Российской Федерации" и действующим техническим нормам.
Всё многообразие сил, действующих на путь, делят на:
-
вертикальные силы;
-
горизонтальные: поперечные (боковые) силы;
-
продольные силы.
Расчет пути на прочность выполняется с целью определения величины понижения температуры рельсов относительно температуры закрепления [∆tр] исходя из условия обеспечения прочности подошвы рельсов в зимний период эксплуатации при разных значениях модуля упругости подрельсового основания для кривой минимального радиуса на расчётном перегоне














