ТВ_экз20_решенная_практика (1166174)
Текст из файла
Задачи с дропбокса
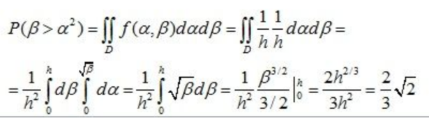
2.4
Двумерная случайная величина равномерна распределена в эллипсе. Найти маргинальную плотность.
3.4 Кси 1 и кси 2 распределены по нормальному закону m1 = 0 m2 = 2
4.4 Кидают 2 монеты, найти коэффициент корреляции
5.3 В цехе 20 станков типа A – 6 штук типа B – 11 типа C – 3. Вероятность выпустить хорошую деталь для станка A – 0.5 для станка B – 0.7 C – 0.9. Каков процент хороших деталей выпускаемых цехом.
5.4 Случайная величина закон распределения Найти плотность распределения по эта
6.3
Спутник передает на землю сведения об облачности. Вероятность облачности на территории, наблюдаемой со спутника, равна 0.6. Из-за помех в канале связи правильный прием сообщения со спутника осуществляется лишь с вероятностью 0.95. Сообщение, переданное со спутника, принято как облачность. Какова вероятность того, что действительно наблюдается облачность?
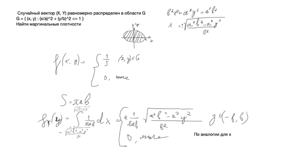
6.4 f(x, y) равномерно распределена в G (ромб)
7.3 По дороге едут грузовая и легковая машины. Грузовых в 4 раза больше, чем легковых. Найти с какой вероятностью машина, покидающая бензоколонку грузовая.
Найти вероятность того, что машина на заправке – грузовая.
H1 – Выбрана грузовая(Вероятность случайно выбрать грузовую)
H2 - Выбрана легковая (Вероятность случайно выбрать легковую)
P(H1) = 4/5
P(H2) = 1/5
A – автомобилю нужна дозаправка
P(А|H1) = 0.05
P(A|H2) = 0.15
G – на заправку приехала грузовая
По Байесу:
P(H1|A) = (P(A|H1)*P(H1)) / P(A) = 0.04/0.07 = 4/7
P(A) = (P(A|H1)*P(H1)) + (P(A|H2)*P(H2)) = 0.05*0.8 + 0.15*0.2 = 0.07
7.4 Дана эта найти математическое ожидание и дисперсию
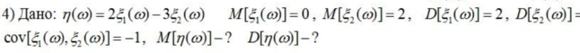
Z = 2X – 3Y
MX = 0
MY = 2
DX = 2
DY = 1
сov(X, Y) = -1
MZ, DZ?
MZ = M[2X – 3Y] = 2MX – 3MY = 0 – 6 = -6
DZ = D[2X – 3Y] = 4DX + 9DY +2*2*(-3)cov(X, Y) = 8 + 9 -12*(-1) = 29
8.3 2 машинистки. одна напечатала 1/3 часть рукописей, вторая 2/3. Вероятность, что первая ошиблась. Найдена ошибка, какова вероятность, что ошиблась первая.
H1 – выбрана первая машинистка
H2 – выбрана вторая машинистка
P(H1) = 1/3
P(H2) = 2/3
A – совершена ошибка
P(A|H1) = 0.15
P(A|H2) = 0.1
P(H1|A) = ?
8.4 две независимые случайные величины, равномерно распределены на отрезке. Найти вероятность, что корни уравнения комлексные
Найти вероятность того, что дискриминант отрицательный (a^2-b < 0)?
a^2 – b нужно найти распределение.
fa(x) = 1/h если 0<x<h; 0 -иначе
fb(x) = 1/h если 0<x<h; 0 -иначе
Синяя и зеленая – ограничение по h
совместная плотность = произведение плотностей т.к а и b независимы = 1/h^2
9.3 В первой урне 5 белых и 4 черных шара, во второй урне 4 белых и 2 черных шара. Найти вероятность того, что вытащенный черный шар из первой урны.
А – вытащили черный шар
H1 – первая урна
H2 – вторая урна
P(H1) = 0.5
P(H2) = 0.5
P(A|H1) = 4/9
P(A|H2) = 1/3
P(H1|A) - ?
P(A) = 6/15
P(H1|A) = (P(A|H1) * P(H1)) / P(A) = (4/9 * 0.5) / (6/15)
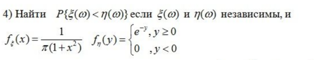
9.4 кси и эта независимы. Найти вероятность кси меньше эта
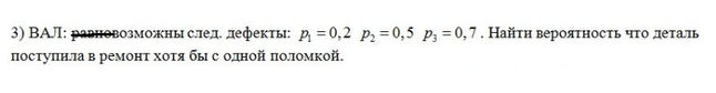
10.3 Вал дефекты найти вероятность что деталь поступила в ремонт хотя бы с одной поломкой
P(хотя бы 1 поломка) = 1 – P(исправна)
Р(исправна) = не(p1)*не(p2)*не(p3) = 0.8 * 0.5 * 0.3 = 0.12
10.4 случайный вектор равномерно распределен в круге Найти условную вероятность
f(x|y) = f(xy)/f(y)
Задачи из 2020
В корзине 6 белых и 5 черных шаров. Один потеряли. После этого вытащили 2 шара и они оказались белыми. Найти вероятность того, что потерян белый шар(P(A|B) - ?).
А – потерян белый шар
B – вытащили 2 белых шара
P(A|B) = P(AB)/P(B) = (P(B|A)*P(A))/P(B)
P(B|A) = 5/10 * 4/9 = 2/9
P(A) = 6/11
P(B) = 6/11 * 5/10
P(A|B) = (12/99) / (3/11) = (12*11) / (99*3) = 4/9
Для разнообразия посчитаем
C – потерян черный шар
P(C|B) = (P(B|C)*P(C))/P(B)
P(B|C) = 6/10 * 5/9 = 1/3
P(C) = 5/11
P(B) = 6/11 * 5/10 = 6/22
P(C|B) = (5/33) / (6/22) = 5/6 * 2/3 = 10/18 = 5/9
Т.к. P(A|B) + P(C|B) = 1, то все найдено правильно (скорее всего)
Даны функции плотностей двух случайных векторов Одна распределена нормально, другая равномерно.
Найти D[X-Y], если cov(x,y)=2
DX у нормального = сигма^2
DY у равномерного = ((b-a)^2)/12
D[X-Y] = DX + DY +2*1*(-1)*cov(x,y) = сигма^2 + ((b-a)^2)/12 – 4
В урне 5 белых и 10 черных шаров, найти вероятность, что достанут два белых шара
а) если первый шар возвращается
б) не возвращается
A – достали 2 белых шара
A1 – 1й шар белый
А2 – 2й шар белый
а) P(A1) * P(A2) = 5/15 * 5/15
б) P(A1A2) = P(A1) * P(A2|A1) = 5/15 * 4/14
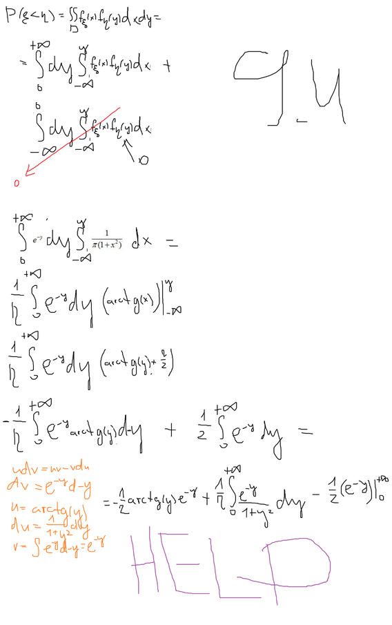
Дана функция плотности X, f(x) = 1 /( Pi(1 + x) ). Найти функцию плотности Y = X^2 + 1
<333333
Есть ящик с 25 шарами 10 ч, 15 б, один шар пропал, после этого достают рандомный шар, найдите вероятность, что вынутый шар - белый
А – вытянутый шар белый
H1 – пропал черный шар
H2 – пропал белый шар
H1 и H2 гипотезы
P(A|H1) = 15/24
P(A|H2) = 14/24
P(H1) = 10/25
P(H2) = 15/25
P(A) = P(A|H1)*P(H1) + P(A|H2)*P(H2) = …
X и Y распределены равномерно (0,6), найти P{Y <= X^2 + X}
В корзине 12 шаров: 5 черных и 7 белых. Случайно вытащили 3 из них. Какова вероятность, что вытащили как минимум 2 черных. (2 или 3)
А – вытащили 2 черных
B - вытащили 3 черных
P(вытащили как минимум 2 черных) = P(A) + P(B) = (5*7)/110 + 5/110 = 4/11
3 перестановки: бчч, чбч, ччб
P(A) = 7/12*5/11*4/10 + 5/12*7/11*4/10 + 5/12*4/11*7/10 = (или) = 5/12*4/11*7/10 * 3 = (5*7)/110
1 перестановка: ччч
P(B) = 5/12*4/11*3/10 = 5/110
Случайная величина Х равномерно распределена на промежутке [0;2], а СВ У равномерно распределена на промежутке [1;5]. Х и У независимы. Найти M[(X^2)Y] и D[(X^2)Y]
MX = 1
MY = 3
DX = ((b-a)^2) / 12 для равномерного
DX = 1/3
DY = 4/3
DX = M[X^2] – (MX)^2
M[X^2] = (MX)^2 + DX = 1 + 1/3 = 4/3
M[Y^2] = (MY)^2 + DY = 9 + 4/3 = 31/3
M[(X^2)Y] = (т.к. независимы) = M[X^2] * M[Y] = 4/3 * 3 = 4
D[(X^2)Y] = M[ ((X^2)Y)^2 ] – (M[(X^2)Y])^2 = M[(X^4)(Y^2)] – 16 = 16/5 * 31/3 - 16
M[(X^4)(Y^2)] = т.к независимы = M[X^4] * M[Y^2] = 16/5 * 31/3
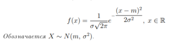
Случайные величины X и Y распределены по законам
X ~ N(2, 1)
Y ~ N(-3, 2)
Найти P{Y <= X - 5}
Найти P{Y <= X – 5} = P{Y – X + 5 <= 0} = (Z = Y–X+5) = P{Z < 0}
MX = mx = 2 (т.к. нормальное)
MY = my = -3
MZ = M[Y–X+5] = MY – MX + 5 = -3 – 2 + 5 = 0
cov(x, y) = M(XY) – MX*MY
DX = сигма^2 = 1
DY = 2
Давайте скажем, что x и у независимы???? => cov(x, y) = 0
DZ = D[Y–X+5] = DY + DY -2cov(x, y) = 1 + 2 = 3
P{Z < 0} = Ф((0-m)/сигма) – Ф((-inf-m)/сигма)= Ф(0) – Ф(-inf) = 0.5 - 0 = 0.5
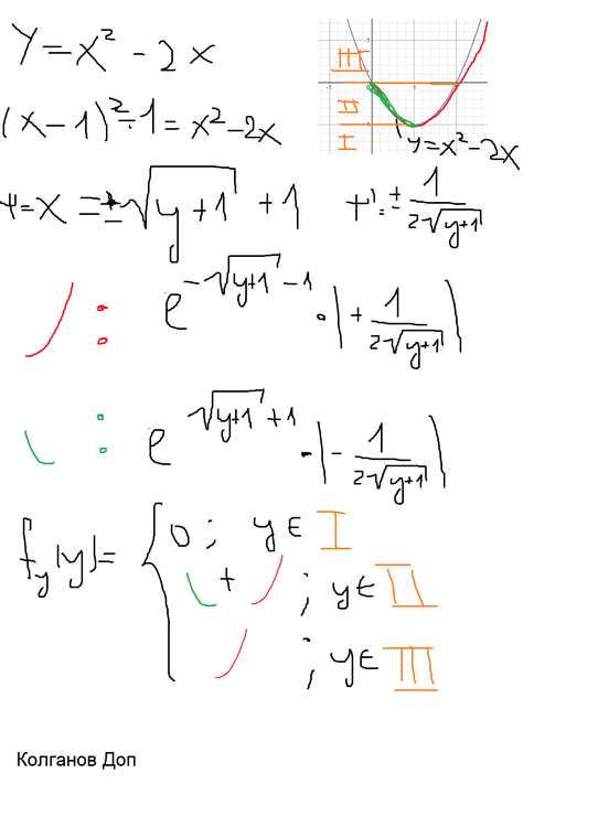
Найти плотность распределения случайной величины Y = X^2 - 2X
fx = {e^(-x), x >= 0,
0, x < 0}
X1 X2 – нормальное распределение P{X2 < X1 + 5} - ?
m1 = -2, m2 = 3, DX1 = 4, DX2 = 3
Z = X2 – X1 – 5
P{Z < 0} - ?
MZ = M[X2–X1–5] = MX2 – MX1 – 5 = 3 + 2 – 5 = 0
DZ = D[X2–X1–5] = DX2 + DX1 -2cov(x, y) = (независимы) = DX2 + DX1 = 7
P{Z < 0} = Ф((0-0)/sqrt(7)) – Ф((-inf – 0)/sqrt(7)) = Ф(0) – Ф(inf) = 0.5
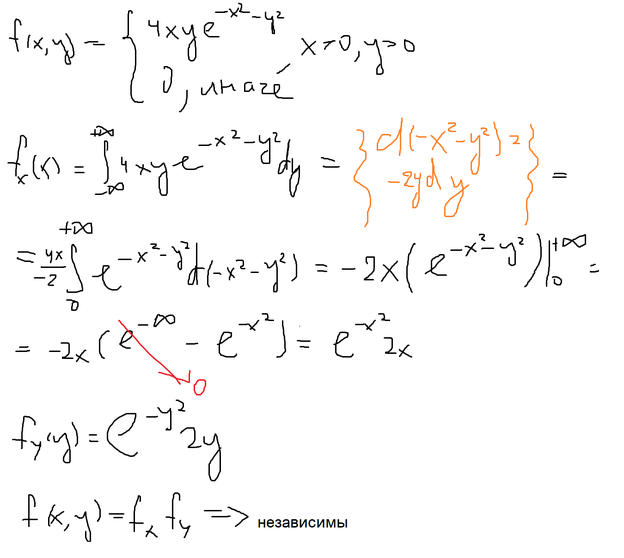
Дана совместная плотность 4xye^(-(x^2)-(y^2)) при x > 0, y > 0
Зависимы ли случайные величины X и Y? коррелируемы?
Определение. Случайные величины и называют некоррелированными, если cov(, ) = 0.
т.к. независимы, то cov = 0 => некоррелированные
СВ Х и У распределены по нормальному закону, независимые
m = 0, сигма = 1
Найти P{4<= x^2 + y^2 <= 9}
M[X^2] = DX + (MX)^2 = 1 + 0 = 1
У РЛС (радио-локационная станция)(локатор вращается)) вероятность обнаружить цель за цикл обзора без помех p1, с помехой p2, вероятность, что будет установлена помеха во время цикла - p
Найти вероятность, что за n циклов найдется хотя бы 1 цель
A - обнаружили цель
H1 - установлено что сейчас нет помех
H2 - установлено что сейчас есть помехи
P(H2) = p
P(H1) = 1- p
P(A|H1) = p1
P(A|H2) = p2
P(A) = P(A|H1) * P(H1) + P(A|H2) * P(H2) = p1 * (1 - p) + p2 * p
(1≤) = 1−(1−())
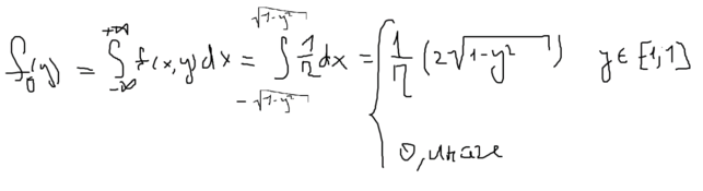
Случайный вектор равномерно распределен в области G. G – эллипс. Найти маргинальные плотности
Есть 5 пассажиров Они могут выйти на 2-9 этажах Найти вероятность того Что каждый выйдет на разных этажах
A - пассажиры вышли на разных этажах
P(A) = 8/8 * 7/8 * 6/8 * 5/8 * 4/8
———————————
2 вариант:
ЭИ - комбинация из чисел от 2-9
Всего ЭИ = 8^5
Нужно разместить 5 человек по 8 этажей:
85 = 8!/3! = 8*7*6*5*4
Характеристики
Тип файла документ
Документы такого типа открываются такими программами, как Microsoft Office Word на компьютерах Windows, Apple Pages на компьютерах Mac, Open Office - бесплатная альтернатива на различных платформах, в том числе Linux. Наиболее простым и современным решением будут Google документы, так как открываются онлайн без скачивания прямо в браузере на любой платформе. Существуют российские качественные аналоги, например от Яндекса.
Будьте внимательны на мобильных устройствах, так как там используются упрощённый функционал даже в официальном приложении от Microsoft, поэтому для просмотра скачивайте PDF-версию. А если нужно редактировать файл, то используйте оригинальный файл.
Файлы такого типа обычно разбиты на страницы, а текст может быть форматированным (жирный, курсив, выбор шрифта, таблицы и т.п.), а также в него можно добавлять изображения. Формат идеально подходит для рефератов, докладов и РПЗ курсовых проектов, которые необходимо распечатать. Кстати перед печатью также сохраняйте файл в PDF, так как принтер может начудить со шрифтами.















