Ответы по дисциплине Теории систем и системный анализ (1088584), страница 7
Текст из файла (страница 7)
o III этап - реализация полученных решений, подсчет значений целевых функций.
Количество партий, как правило, не ограничивается заранее, хотя возможны варианты, когда количество партий фиксировано.
По завершении игры проводится подведение итогов, анализ игры.
Методы проведения экспертиз. Метод совещаний.
Метод совещаний – это открытая дискуссия по обсуждаемой проблеме для выработки единого мнения экспертов. Коллективное мнение определяется в результате открытого или тайного голосования. Преимущества метода комиссий: возможен рост информированности экспертов за счет обсуждения обоснования экспертных оценок и обратная связь (под воздействием полученной информации эксперт может изменить первоначальную точку зрения). Также метод комиссий обладает и недостатками: отсутствует анонимность, что может привести к появлению конформизма; дискуссия нередко принимает вид полемики наиболее авторитетных экспертов; различная активность экспертов, часто не совпадающая с их компетентностью; публичность высказываний сочетается порой с нежеланием некоторых экспертов отступить от ранее высказанного мнения, хотя оно в ходе дискуссии может претерпеть изменения.
Методы проведения экспертиз. Метод «суда».
Экспертиза по методу суда. Состав экспертов делится на две группы. Одна объявляется сторонниками рассматриваемой альтернативы и выступает в качестве защиты. Другая объявляется ее противниками и пытается выявить отрицательные стороны, Возможна и третья сторона, которая регулирует ход экспертизы и выносит окончательное решение.
Методы проведения экспертиз. Метод Дельфи.
Метод «Дельфи» один из основных в проведении групповых экспертиз и имеет различные модификации. Фактически это группа процедур, объединенных общими требованиями к организации экспертизы и форме получения экспертных оценок. В нем предусматривается создание условий, обеспечивающих наиболее продуктивную работу экспертной комиссии, что достигается анонимность процедуры, с одной стороны, и возможностью пополнить информацию о предмете экспертизы – с другой. Метод разработан и применен в США впервые в 1964 г. сотрудниками научно-исследовательской корпорации «РЭНД» О. Хелмером и Т. Гордоном.
Метод «Дельфи» целесообразно применять в таких случаях, когда имеющиеся в распоряжении или доступные данные непригодны для анализа существующее проблемы; в распоряжении нет нужных данных; нет достаточного времени для сбора данных; процесс получения и анализа необходимых данных слишком дорог.
Метод «Дельфи» предусматривает создание условий, обеспечивающих эффективную работу экспертной комиссии. Это достигается анонимностью процедуры и возможностью пополнить информацию о предмете экспертизы, отказом от коллективного мнения. Важное свойство – это обратная связь, позволяющая экспертам корректировать свои суждения с учетом промежуточных усредненных оценок и пояснений экспертов, высказавших «крайние» точки зрения. Для реализации обратной связи необходима многотуровая процедура. Экспертиза проводится чаще всего в четыре тура.
Прямые дебаты заменены тщательно разработанной программой последовательных опросов, проводимых обычно в форме анкетирования. Ответы экспертов обобщаются и вместе с новой дополнительной информацией поступают в распоряжение экспертов, после чего они уточняют первоначальные ответы. Такая процедура повторяется несколько раз до достижения приемлемой согласованности всей совокупности высказанных мнений. Перед рассылкой анкеты эксперту объясняется проблема.
На первом туре экспертам сообщается цель экспертизы и формируются вопросы, ответы на которые составляют основное содержание экспертизы.
Успеху экспертизы способствует предоставление эксперту дополнительной информации о предмете экспертизы. Информация, полученная от эксперта, поступает в распоряжение аналитической группы, обеспечивающей организацию, проведение, обработку промежуточных и окончательных результатов экспертизы. Аналитическая группа определяет экспертов, высказавших крайние точки зрения, давших самую высокую и самую низкую оценку альтернативе. Усредненное мнение экспертов – медиану, верхнюю и нижнюю квартили, т.е. значение оцениваемой альтернативы, выше и ниже которых расположены 25% числовых значений оценок. Расстояние между квартилями характеризует разброс экспертных оценок, т.е. согласованность точек зрения экспертов.
Вводятся следующие обозначения:
T 0 - значение наиболее ранней оценки;
T 0,25 – значение оценки, определяющей 25% наиболее ранних оценок (из всех имеющихся), - нижний квартиль;
T 0,5 – значение оценки, разделяющий упорядоченную по оси времени совокупность оценок на две равные по количеству оценок части, - медиана;
T 0,75 – значение оценки, определяющей 25% наиболее поздник оценок (из всех имеющихся), - верхний квартиль;
T 1,0 – значение наиболее поздней оценки.
Степень согласованности мнений экспертов определяют коэффициентом вариации υ, который не должен превышать 33%. Он рассчитывается по формуле
σ
υ= ─ ×100%,
х
где х – средне квадратическое отклонение оценок;
σ – квартиль.
σ=√[∑(xi x)²]:n,
где х – среднее значение оценок;
хi – оценка каждого эксперта;
n число экспертов.
Медиана – это значение оценки, которое находится в середине ранжированного ряда. Для нахождения медианы ряда с четным числом складывают два средних варианта и делят сумму пополам.
На втором туре экспертам предъявляется усредненная оценка экспертной комиссии и обоснования экспертов, высказавших «крайние» точки зрения. Обоснования принимаются анонимно, без указания имен экспертов. Скорректированная информация вновь поступает в аналитическую группу. На третьем туре эта информация вместе с анонимными аргументациями поставленных оценок снова направляется каждому участнику. На основе полученной информации эксперты пересматривают предыдущие оценки. На четвертом туре каждому эксперту предоставляется право распределения оценок третьего тура, и он должен снова представить на рассмотрение пересмотренную оценку, учтя полученную информацию. В некоторых случаях согласованная точка зрения экспертов может быть получена уже после второго или третьего туров. Тогда необходимость проведения следующих туров отпадает.
При использовании метода «Дельфи» полезно учитывать следующее:
1. Группы экспертов должны быть стабильными.
2. Время между турами опросов не должно быть более месяца.
3. Вопросы в анкетах должны быть тщательно продуманны и однозначно сформулированы.
4. Число туров должно быть достаточным, чтобы обеспечить всем участникам возможность ознакомиться с причиной появления оценки, а также для критики этих причин.
5. Должен проводиться систематический отбор экспертов.
6. Необходимо иметь самооценку компетенции экспертов по рассматриваемым проблемам.
7. Нужна формула согласованности оценок, основанная на данных самооценок.
8. Необходимо установить влияние различных видов передачи информации экспертам по каналам обратной связи.
Метод «Дельфи» является достаточно надежным инструментом получения экспертной информации. С его помощью выявляется преобладающее суждение специалистов.
После первой апробации метода «Дельфи» были разработаны различные его модификации. Все модификации могут быть охарактеризованы следующим образом:
-составление классификатора событий, которые экспертам предстоит анализировать;
-предварительное описание прогнозного фона;
-уменьшение числа туров опроса;
-характер вопросов, задаваемых экспертам, и соответствующие математические процедуры получения групповых прогнозных оценок.
Модифицирование метода «Дельфи» было связанно с расширением области его применения.
Классический метод «Дельфи», созданный для прогнозирования научных открытий и времени их свершения, стал использоваться для оценки приоритетности направлений прикладных исследований, а также для анализа перспективности технических (конструкторских и технологических) решений и даже для оценки количественных показателей разрабатываемых технических объектов, технологических процессов и т.д.
Второй Блок
Обработка индивидуальных мнений экспертов. Ранжирование «целей».
На базе оценок экспертов получается обобщенная информация об исследуемом объекте (явлении) и формируется решение, задаваемое целью экспертизы. При обработке индивидуальных оценок экспертов используют различные количественные и качественные методы. Выбор того или иного метода зависит от сложности решаемой проблемы, формы, в которой представлены мнения экспертов, целей экспертизы.
Чаще всего при обработке результатов опроса используются методы математической статистики.
В зависимости от целей экспертизы при обработке оценок могут решаться следующие проблемы:
формирование обобщенной оценки;
определение относительных весов объектов;
установление степени согласованности мнений экспертов и др.
Обработка индивидуальных мнений экспертов о прогнозах развития объекта исследования производится исходя из следующих принципов:
¨ вопросы в анкетах ставятся таким образом, чтобы можно было дать количественную характеристику ответам экспертов;
¨ опрос экспертов проводится в несколько этапов, на каждом последующем этапе вопросы и ответы все более уточняются;
¨ после каждого этапа всех опрашиваемых экспертов знакомят с результатами опроса;
¨ эксперты обосновывают оценки и мнения, отклоняющиеся от мнения большинства;
¨ статистическая обработка ответов производится последовательно, от этапа к этапу, с целью получения обобщающих характеристик.
В зависимости от целей экспертного оценивания и метода учета экспертных оценок возникают следующие основные задачи:
построение обобщенной оценки понятий и объектов на основе индивидуальных оценок экспертов;
построение обобщенной оценки на основе парного сравнения объектов каждым из экспертов;
определение относительных весов взаимосвязи объектов;
определение зависимостей между ранжировками;
определение согласованности мнений экспертов;
оценка надежности обработки результатов.
При решении многих задач недостаточно упорядочения объектов по одному или группе показателей. Необходимо иметь числовые значения для каждого объекта, определяющие его предпочтение перед другими объектами. Наличие таких оценок позволит определить обобщенную оценку для всей группы экспертов.
Определение согласованности мнений экспертов производится путем вычисления числовой меры, характеризующей степень близости индивидуальных мнений. Анализ значения меры согласования способствует выработке правильного суждения об общем уровне знаний по решаемой проблеме и выявлению группировок мнений экспертов.
Обработка экспертных оценок позволяет вскрыть связанные показатели сравнения и осуществить группировку по степени связи. Так, например, если показатели сравнения - различные цели, а объекты сравнения - средства достижения этих целей, то установление взаимосвязи между ранжировками, упорядочивающими средства с точки зрения достижения целей, позволяет обоснованно ответить на вопрос: "в какой степени достижение одной цели при данных средствах способствует достижению других целей" (то есть установить причинно-следственную связь).
Оценки, получаемые на основе обработки, представляют собой случайные объекты, поэтому одной из важнейших задач процедуры обработки является определение их надежности.
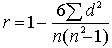
Метод ранговой корреляции. Коэффициент Спирмэна.
Коэффициент ранговой корреляции Спирмена - это непараметрический метод, который используется с целью статистического изучения связи между явлениями. В этом случае определяется фактическая степень параллелизма между двумя количественными рядами изучаемых признаков и дается оценка тесноты установленной связи с помощью количественно выраженного коэффициента.
Практический расчет коэффициента ранговой корреляции Спирмена включает следующие этапы:
1) Сопоставать каждому из признаков их порядковый номер (ранг) по возрастанию (или убыванию).
2) Определить разности рангов каждой пары сопоставляемых значений.
3) Возвести в квадрат каждую разность и суммировать полученные результаты.
4) Вычислить коэффициент корреляции рангов по формуле:.
















