Тема 7. СПУ (практикум) (1086616)
Текст из файла
8
Тема 7. Методы сетевого планирования и управления (СПУ)
Задача 1. Объясните разницу между графиком Гантта и сетевой моделью.
Задача 2. Построить фрагмент сетевого графика при следующих условиях: работы 1 и 2 выполняются одновременно; для начала работы 3 необходимо знать результаты работ 1 и 2, а для начала работы 4 – только результат работы 2.
Задача 3. Имеются 5 взаимосвязанных между собой работ. Работу 4 можно начинать после окончания работ 1 и 2, работу 5 – после окончания работ 2 и 3. Построить сетевой график.
Задача 4. Работы 1 и 2 имеют одно начальное событие и выполняются параллельно. Работа 4 может начаться только после окончания работ 2 и 3. Отобразить логическую взаимосвязь данных работ на сетевом графике.
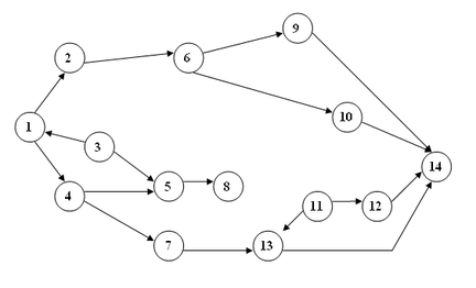
Задача 5. Найти ошибки построения и кодирования сетевого графика, приведенного на рис.1. Построить правильный график, если результаты работ 3-1, 5-8 и 11-12 не используются при выполнении последующих работ.
Рис.1. Сетевая модель к задаче 5
Задача 6. Определить tож, если tmin = 10, tmax = 30, tн.в = 17 дней. Определить tож, если tн.в - неизвестно.
Задача 7. Какая из двух оценок имеет большую неопределенность? Проверить это по показателю дисперсии, рассчитанному на основе оценок времени:
| tmin, дн. | tmax, дн. | tн.в, дн. | |
| Первая оценка | 10 | 30 | 17 |
| Вторая оценка | 5 | 28 | 15 |
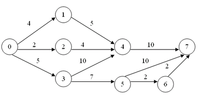
Задача 8. В сетевом графике пронумеровать события (методом вычеркивания дуг), рассчитать его параметры (графическим способом).
Рис.2. Сетевой график комплекса работ
Задача 9. Компания с ограниченной ответственностью «МР» разрабатывает проект небольшого масштаба. Основные операции проекта, непосредственно предшествующие им операции и время их выполнения приведены в табл.1.
Таблица 1. Исходные данные
| Операция | Непосредственно предшествующая операция | Продолжительность, недель |
| А Б В Г Д Е Ж | - - А, Б Б В Г Д, Е | 4 6 7 3 4 5 3 |
Требуется: (1) дать иллюстрацию проекта с помощью сетевого графика; (2) определить общую продолжительность выполнения проекта; (3) определить влияние на ход выполнения проекта задержки операции Г на четыре недели.
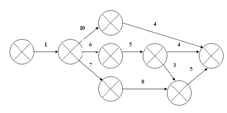
Задача 10. Определить коэффициенты напряженности работ 1-4, 2-4 и 3-5 на сетевом графике, изображенном на рис.3. Рассчитать параметры сетевого графика табличным способом.
Рис.3. Сетевой график комплекса работ
Задача 11. Среднее квадратическое отклонение по работам критического пути составляет ±1. Директивный срок Тд свершения завершающего события равен 30 дням, а по сетевому графику – 25 дням. Определить, на сколько дней можно сократить Тд, чтобы быть уверенным в свершении завершающего события с вероятностью 97%.
Задача 12. 1. Построить сетевой график по кодам работ, приведенным в табл.2.
2. Определить ожидаемую продолжительность tожij и дисперсию σ2ij для каждой работы.
3. Рассчитать параметры сетевой модели.
4. Определить вероятность выполнения комплекса работ в установленный договором срок, равный 200 дням (Тд = 200 дн.).
Таблица 2. Индекс, продолжительность
и численность исполнителей работ
| Показатели ij-х работ | Коды работ ij | |||||||
| 0,1 | 0,2 | 1,5 | 2,3) | 2,4) | 3,6 | 4,6) | 5,6 | |
| tmin, дн. | 20 | 60 | 30 | 70 | 16 | 28 | 50 | 16 |
| tmax, дн. | 45 | 85 | 55 | 95 | 26 | 58 | 75 | 26 |
| Pij, чел. | 04 | 06 | 05 | 05 | 06 | 05 | 05 | 04 |
) Для выполнения работ 2,3 и 2,4 необходимы результаты работы 0,1.
) Для выполнения работы 4,6 необходимы результаты работы 2,3.
Задача 13. 1. Построить сетевой график по кодам работ, приведенным в табл.3.
2. Определить ожидаемую продолжительность tожij и дисперсию σ2ij для каждой работы.
3. Рассчитать параметры сетевой модели.
4. Определить вероятность выполнения комплекса работ в установленный договором срок, равный 19 дням (Тд = 19 дн.).
5. Оптимизировать сетевую модель с целью обеспечения необходимой вероятности выполнения комплекса работ в договорный срок.
Таблица 3. Индекс, продолжительность
и численность исполнителей работ
| Показатели ij-х работ | Коды работ ij | |||||||
| 0,1 | 0,3 | 1,2 | 2,6 | 3,4) | 3,5) | 4,6 | 5,6 | |
| tmin, дн. | 5 | 2 | 3 | 4 | 8 | 2 | 7 | 3 |
| tmax, дн. | 10 | 7 | 8 | 9 | 13 | 7 | 12 | 8 |
| Pij, чел. | 4 | 5 | 4 | 4 | 3 | 5 | 4 | 4 |
) Для выполнения работ 3,4 и 3,5 необходимы результаты работы 0,1.
Задача 14. Для выполнения работ сетевого графика, параметры которого представлены в табл.4, имеется 9 рабочих-смежников. Предположив, что трудоемкость работ изменяется пропорционально количеству рабочих, определить, можно ли выполнить весь комплекс работ с данной численностью рабочих, не изменяя при этом длительность критического пути.
Таблица 4. Исходные данные
| Код работы | 0-1 | 1-2 | 1-3 | 2-4 | 3-4 |
| Продолжительность, мес. | 8 | 6 | 3 | 4 | 2 |
| Число рабочих | 9 | 7 | 4 | 5 | 8 |
Задача 15. В табл.5 представлен комплекс работ по технической подготовке производства электротехнического изделия, задана длительность выполнения каждой работы tij с учетом количества исполнителей mij. Определить логистическую последовательность выполнения работ. Перестроить сетевой график в линейный (календарный) и установить календарные сроки выполнения работ. Составить диаграмму загрузки рабочей силы и дать предложения по ее оптимизации.
Таблица 5. Перечень работ по технической подготовке производства
| Номер работы | Наименование работы | t, недели | m, чел. |
| 1 2 3 4 5 6 7 8 9 10 11 12 13 14 | Обзор существующих конструкций Разработка чертежей Составление заказа на материалы Разработка техпроцессов Составление заявки на испытательную аппаратуру Проектирование оснастки Проектирование инструмента Изготовление оснастки Изготовление инструмента Доставка материала Изготовление опытного образца Доставка испытательной аппаратуры Проведение испытаний Корректировка документации | 3 8 2 6 1 4 2 8 5 4 10 3 2 3 | 4 10 3 8 4 5 3 7 6 6 4 5 5 4 |
Приложение
Таблица значений функции Лапласа
| Z | Pк | Z | Pк |
| 0,0 | 0,5000 | -3,0 | 0,0013 |
| 0,1 | 0,5398 | -2,9 | 0,0019 |
| 0,2 | 0,5793 | -2,8 | 0,0026 |
| 0,3 | 0,6179 | -2,7 | 0,0035 |
| 0,4 | 0,6554 | -2,6 | 0,0047 |
| 0,5 | 0,6915 | -2,5 | 0,0062 |
| 0,6 | 0,7257 | -2,4 | 0,0082 |
| 0,7 | 0,7580 | -2,3 | 0,0107 |
| 0,8 | 0,7881 | -2,2 | 0,0139 |
| 0,9 | 0,8159 | -2,1 | 0,0179 |
| 1,0 | 0,8413 | -2,0 | 0,0228 |
| 1,1 | 0,8643 | -1,9 | 0,0287 |
| 1,2 | 0,8849 | -1,8 | 0,0359 |
| 1,3 | 0,9032 | -1,7 | 0,0446 |
| 1,4 | 0,9192 | -1,6 | 0,0548 |
| 1,5 | 0,9332 | -1,5 | 0,0668 |
| 1,6 | 0,9452 | -1,4 | 0,0808 |
| 1,7 | 0,9554 | -1,3 | 0,0968 |
| 1,8 | 0,9641 | -1,2 | 0,1151 |
| 1,9 | 0,9713 | -1,1 | 0,1357 |
| 2,0 | 0,9772 | -1,0 | 0,1587 |
| 2,1 | 0,9821 | -0,9 | 0,1841 |
| 2,2 | 0,9861 | -0,8 | 0,2119 |
| 2,3 | 0,9893 | -0,7 | 0,2420 |
| 2,4 | 0,9918 | -0,6 | 0,2743 |
| 2,5 | 0,9838 | -0,5 | 0,3085 |
| 2,6 | 0,9953 | -0,4 | 0,3446 |
| 2,7 | 0,9965 | -0,3 | 0,3821 |
| 2,8 | 0,9974 | -0,2 | 0,4207 |
| 2,9 | 0,9981 | -0,1 | 0,4602 |
| 3,0 | 0,9987 | -0,0 | 0,5000 |
Структура сетевой модели и оценки продолжительности работ (в сутках) заданы в табл. 3. Требуется:
Характеристики
Тип файла документ
Документы такого типа открываются такими программами, как Microsoft Office Word на компьютерах Windows, Apple Pages на компьютерах Mac, Open Office - бесплатная альтернатива на различных платформах, в том числе Linux. Наиболее простым и современным решением будут Google документы, так как открываются онлайн без скачивания прямо в браузере на любой платформе. Существуют российские качественные аналоги, например от Яндекса.
Будьте внимательны на мобильных устройствах, так как там используются упрощённый функционал даже в официальном приложении от Microsoft, поэтому для просмотра скачивайте PDF-версию. А если нужно редактировать файл, то используйте оригинальный файл.
Файлы такого типа обычно разбиты на страницы, а текст может быть форматированным (жирный, курсив, выбор шрифта, таблицы и т.п.), а также в него можно добавлять изображения. Формат идеально подходит для рефератов, докладов и РПЗ курсовых проектов, которые необходимо распечатать. Кстати перед печатью также сохраняйте файл в PDF, так как принтер может начудить со шрифтами.















