001-2. p-n-ПЕРЕХОД (1085064)
Текст из файла
p - n-ПЕРЕХОД
- (электронно-дырочный переход) - слой с пониженной электропроводностью, образующийся на границе полупроводниковых областей с электронной (n -область) и дырочной ( р -область) проводимостью. Различают гомопереход, получающийся в результате изменяющегося в пространстве легирования донорной и акцепторной примесями одного и того же полупроводника (напр., Si), и гетеропереход, в к-ром р-область и n- область принадлежат разл. полупроводникам. Термин " р - п.-П." как правило, применяют к гомопереходам.
Обеднённый слой. Из-за большого градиентаконцентрации электронов ( п )и (обратного ему по знаку) градиентаконцентрации дырок ( р )в р - n -П. происходит диффузионноеперетекание электронов из п -об-ласти в р -область и дырокв обратном направлении. Его следствием является накопление избыточногоположит. заряда в n -области и отрицательного - в р -области(рис. 1). При этом появляется электрич. поле, направленное из n -областив р -область, действие к-рого на электроны и дырки (при термодинамич. <равновесии) компенсирует действие градиентов концентрации, т. е. диффузионныепотоки электронов и дырок уравновешиваются дрейфовыми потоками во внутреннемэлектрич. поле Е вн перехода. Поле Е вн обусловливаетдиффузионную разность потенциалов V Д (аналог контактнойразности потенциалов), величина к-рой (для невырожденных носителей)в р- и n -областях выражается ф-лой
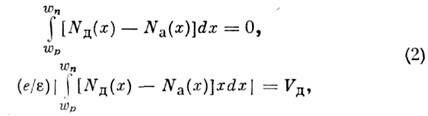
Здесь е - заряд электрона, Т- темп-pa полупроводника, ni - концентрация электроновв собств. полупроводнике, п п и р р - концентрацииэлектронов и дырок в п- и р -областях. Внутр. электрпч. полесосредоточено в обеднённом (запорном) слое р - n- П., где концентрацииносителей обоих типов меньше концентраций основных носителей в р -и n -областях вдали от перехода ( п<п п, р< р р),а мин. уровень суммарной концентрации электронов и дырок достигает значения( п+ р) мин= 2ni. Т. к. в обеднённомслое, как правило, разность концентрации свободных носителей мала по сравнениюс разностью концентраций ионизиров. доноров (N д) и акцепторов(Na), границы этого слоя с квазинейтральными р -и n -областями wp и wn могут бытьнайдены (после приближённого интегрирования Пуассона уравнения водномерном случае) из ф-л
где e- диэлектрпч. проницаемость полупроводника.
Рис. 1. Схематическое изображение р- n -перехода; чёрные кружки - электроны, светлые - дырки.
Т. к. Ферми уровень
во всём полупроводнике при термодинамич. равновесии должен быть единым, <то в области перехода энергетич. зоны полупроводника изгибаются (рис. 2),так что образуется потенциальный барьер, высота к-рого равна V д.
Внеш. напряжение U, приложенноек р - n -П., в зависимости от знака уменьшает (прямое смещение, <плюсы соответствуют р -области) или увеличивает (обратное смещение)напряжённость электрич. поля в обеднённом слое, сужая или расширяя егопри этом. Зависимость положения границ слоя wn, wp, от смещения U может быть найдена из ф-л (2),
где следует заменить V Д на V Д - U (U.<0 - при обратном). В случае резкого сильно асимметричного р +- п -П. (Na
N Д )с т. н. металлургич. границей (на к-рой N Д- Na =0) x0=0 и однородно легированной n -областью(N д = const):
В случае плавного р - п -П. <с пост. градиентом разности концентрацией доноров и акцепторов (N д- Na = ах, а =const):
Рис. 2. Зонная диаграмма (н) и концентрацииэлектронов и дырок ( б) в области р - п -перехода;
- дно зоны проводимости,
- вершина валентной зоны;
- уровень Ферми.
Определяемая толщиной обеднённого слоя w(U)= |wn(U) - wp(U)| зарядная ёмкость С3 р - п -П. уменьшается с ростом обратного смещенияно закону С3~ (|U| + V Д)-1/2 в случае ф-лы (3) (для резкого перехода) и С з~ (| U|+V Д)1/3 - в случае ф-лы (4) (для плавного перехода).При увеличении прямого смещения зарядная ёмкость растёт. Измерение зависимости C3(U )позволяет исследовать изменение разности N д(x) - Na(x )в р- п -П.
Ток через р - п- П . Свключением внеш. напряжения U дрейфовые потоки перестают компенсироватьдиффузионные потоки и через р - п -П. течёт электрич. ток. Т. к. <в глубине р -области ток переносится дырками, а в n -области- электронами, то прохождение тока через р - n -П. - в прямом направлении(U р - п -П. из областей, где они являются основными носителямизаряда. При U< О ток обусловлен генерацией электронно-дырочныхпар в окрестности р - п -П., к-рый разделяет их движение от р - п-П. <в области, где они являются основными носителями.
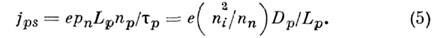
При термодинамич. равновесии термич. генерацияносителей в каждой точке образца в точности компенсируется их рекомбинацией. <Но при прохождении тока этот баланс нарушается. Существует неск. механизмов(каналов) избыточной генерации и рекомбинации, определяющих проводимость р - п -П. при прямом и обратном смещениях. а) Генерация ирекомбинация носителей в р- и n -областях и диффузия носителейк р- n -П. или от него. В единице объёма n -полупроводникав единицу времени рождается вследствие равновесной термич. генерации
дырок, где р п - равновесная концентрация дырок в п -областп
а
- ихвремя жизни относительно процесса рекомбинации. Все дырки, рождённые вслое с толщиной L р, прилегающем к р - п -П.,уходят в р -область, т. к. внутр. поле р - п -П. "втягивает"туда все дырки, подошедшие к переходу в результате диффузии из п -области;Lp- длина диффузии дырок в n -области за время их жизни:
Dp- коэф. диффузии дырок. Дырки, рождённые вне слоя Lp,рекомбинируют прежде, чем процесс диффузии доставит их к р - n -П.,и не дают вклада в ток. Поэтому плотность тока дырок, уходящих из п -областив р -область:
Аналогично плотность тока электронов, термическирождённых в р -области и доставленных диффузионно к втягивающемуих р - n -П.:
Здесь
- их равновесная концентрация в р -области, Dn,
Ln - коэф. диффузии, время жизни, длина диффузии в этойобласти
Если бы токам jns и jps не противостояли бы обратные противотоки, то через р- n -П. <проходил бы ток насыщения плотностью js = jns+ jps. Однако в отсутствие виеш. смещения токи неосновныхносителей jns и jps полностью компенсируютсятоками основных носителей (электронов из n -области и дырок из р -области),идущими в обратную сторону и равными, следовательно, также jns и j рs. Основные носители - дырки, переходящие из р -областив n -область, и электроны, идущие из n -области в р -область, <преодолевают на своём пути потенциальный барьер высотой V д и являются по своей природе термоэлектронной (термодырочной) эмиссией черезэтот барьер. Поэтому понижение барьера на величину U при прямомсмещении приводит к увеличению каждого из этих токов в exp(eU/kT )раз(см. Термоэлектронная эмиссия )и не вызывает изменения токов неосновныхносителей (для к-рых барьера нет). С учётом этого обстоятельства плотностьполного тока через р - п -П. можно выразить т. н. ф-лой Шокли (рис.3):
Рис. 3. Вольт-амперная характеристика (ВАХ)v - п- перехода.
При U <0 и e|U|/kT
1токами термоэмиссии основных носителей через повышенный обратным смещениембарьер (высотой V д + |U| )можно пренебречь и считать, <что плотность обратного тока обусловлена только термогенерац. токами неосновныхносителей: j = - js (рис. 4, кривая 3). При UeU/kT
1,наоборот, в ф-ле (7) можно сохранить только экспоненциальный член, описывающийтермоэмиссию носителей из областей, где они являются основными, в области, <где они становятся неосновными и где рекомбииируют за времена
и
на расстояниях Lp и Ln. Прямой ток, согласно (7), быстро растёт с ростом U. При значит. смещениях этот рост ограничивается сопротивлением р- и n -областей. Последнее уменьшается благодаря инжекциинеосновных носителей р - n -П. Из сравнения ф-л (5) и (6) видно, <что гл. вклад в ток насыщения обычно даёт слаболегиров. сторона р -п -П. с более низкой концентрацией основных носителей.
Рис. 4. Обратные токи р - п- перехода;1- тон термогенерации в квазинейтральных областях;2 - тонтермогенерации в обеднённом слое; 3 - ток туннельной генерации;4 - полный ток в отсутствие фотогенерации; 5 - - фототок j ф;6 - полный ток с учётом фототока.
б) Генерация и рекомбинация в обеднённыхслоях (механизм Шокли - Са-Нойса). Рекомбииационно-генерац. ток, описываемыйф-лой (7), не всегда доминирует. В широкозонных полупроводниках (с большойзапрещённой зоной
)при относительно низких теми-pax может преобладать термич. генерация ирекомбинация в самом обеднённом слое, а не в слоях с толщинами L п и L р. Хотя в таком полупроводнике, как кремний, Ln и Lp обычно сильно превосходят ширину обеднённогослоя w(U), но скорость генерации и рекомбинации там можетбыть существенно выше, чем в квазинейтральных областях, из-за различияв заполнении примесных уровней электронами, ответственными за рекомбинацию. <В этом случае при достаточно больших обратных смещениях (eU/kT
1)справедлива ф-ла
где
- время жизни неравновесных носителей в обеднённом слое, отличное в общемслучае от
и
Ток jw можетпревышать js за счёт того, что п i превышает п р и р п. Ток jw ненасыщается с ростом обратного смещения, а растёт по мере расширения обеднённогослоя [напр., в соответствии с ф-лами (3) и (4), рис. 4, кривая 2].
В прямом направлении ток, обусловленныйрекомбинацией в обеднённом слое:
Здесь
причём длина l Е по порядку величины равна "сжатой" длинедиффузии носителей против внутр. поля Е вн: l~kT/eE. Коэф. 2 в знаменателе показателя экспоненты связан с тем, что носители, <рекомбинирующие внутри обеднённого слоя, преодолевают не весь барьер, обусловленныйполем в нём, а только его часть, высота к-рой с приложением внеш. напряжения U уменьшается на U/2. Из-за этого с ростом U ток поф-ле (9) растёт медленнее, чем ток по ф-ле (7), и даёт ему обогнать себяпри достаточно больших смещениях.
в) Межзонное (зинеровское) туннелированне. <Ток электронов через запрещённую зону полупроводника отсутствует толькопри классич. описании движения электронов проводимости и дырок в электрич. <поле. Оно становится недостаточным с ростом напряжённости поля. Из-за туннелированияэлектронов сквозь запрещённую зону (эффект Зинера) тормозящийся в электрич. <поле электрон проводимости, отразившись от дна зоны проводимости
имеет вероятность (тем большую, чем круче наклонены зоны) перейти в валентнуюзону (рис. 5, а). При одинаковых эффективных массах электронаи дырки вероятность туннелирования в однородном электрич. поле близка квероятности туннелирования сквозь треугольный барьер, высота к-рого равнаширине запрещённой зоны
а толщина
тем меньше, чем больше напряжённость поля Е.
Для реализации туннельного перехода необходимоналичие в валентной зоне дырок. Поэтому туннельный переход является туннельнойрекомбинацией электрона из зоны проводимости с дыркой из валентной зоны. <Такой рекомбинац. процесс не связан ни с передачей энергии колебаниям решётки(т. е. с её нагревом), ни с излучением света: энергия передаётся источникуэлектрич. поля. Обратный процесс - рождение электронно-дырочной пары засчёт энергии электрич. поля (туннельная или зинеровская генерация) - вусловиях термодинамич. равновесия уравновешивает рекомбинацию. Оба этипроцесса в р - п- П . при U =0 имеют место лишь в случае, <когда электронный газ в n -области и дырочный газ в р -областивырождены (рис. 5,б). Прямое смещение ведёт к преобладанию туннельнойрекомбинации, а обратное смещение - к туннельной генерации. Туннельнаясоставляющая тока такого перехода доминирует над прочими только тогда, <когда он предельно резкий. Резкий р - п - П. с вырожденным газомносителей по обе стороны лежит в основе туннельного диода, имеющегона прямой ветви вдоль вольт-амперной характеристики падающий участок N -типа(ВАХ, рис. 5, в).
В случае невырожденных п- и р -областейтуннельный ток может преобладать только при достаточно больших обратныхсмещениях и связан только с туннельной генерацией электронно-дырочных пар. <Ввиду экспоненциальной зависимости туннельного тока от напряжённости электрич. <поля вклад в него даёт лишь окрестность точки макс. поля. По мере ростаобратного напряжения туннельный ток, незаметный на фоне термогенерационногопри низких напряжениях, стремительно нарастает и становится преобладающим(рис. 4, кривая 3).
В широкозонных полупроводниках нарядус термогенерационными и туннельными токами наблюдают их различные комбинации. <С одной стороны, имеет место сочетание туннельных (горизонтальных) переходовмежду зонами и уровнями локальных примесных центров с термогенерационными(вертикальными) переходами (рис. 5, г). С др. стороны, возможно туннелирова-ниес поглощением неск. фононов (рис. 5, д).
Характеристики
Тип файла документ
Документы такого типа открываются такими программами, как Microsoft Office Word на компьютерах Windows, Apple Pages на компьютерах Mac, Open Office - бесплатная альтернатива на различных платформах, в том числе Linux. Наиболее простым и современным решением будут Google документы, так как открываются онлайн без скачивания прямо в браузере на любой платформе. Существуют российские качественные аналоги, например от Яндекса.
Будьте внимательны на мобильных устройствах, так как там используются упрощённый функционал даже в официальном приложении от Microsoft, поэтому для просмотра скачивайте PDF-версию. А если нужно редактировать файл, то используйте оригинальный файл.
Файлы такого типа обычно разбиты на страницы, а текст может быть форматированным (жирный, курсив, выбор шрифта, таблицы и т.п.), а также в него можно добавлять изображения. Формат идеально подходит для рефератов, докладов и РПЗ курсовых проектов, которые необходимо распечатать. Кстати перед печатью также сохраняйте файл в PDF, так как принтер может начудить со шрифтами.
















