001-2. p-n-ПЕРЕХОД (1085064), страница 2
Текст из файла (страница 2)
Рис. 5. Туннельные явления в р - n -переходе; а - межзонное туннелированис; б - зонная диаграмма туннельногодиода; в- прямая ветвь ВАХ туннельного диода (1 - полнаяплотность тока, 2 - нетуннельная составляющая); г- комбинация термического(1 )и туннельного (2 )переходов с участием примесного уровня; д - возможные варианты генерации: 1 - термическая (многофононная);2 - туннельная (бесфононная); 3 - туннелирование с поглощением фононов.
г) Ударная ионизация. Электроны проводимостис энергией, превышающей её порог, могут порождать электронно-дырочные пары, <истратив на это почти всю свою энергию в зоне. Такую же возможность имеюти дырки с надпороговой энергией. Пороги ударной ионизации для электронаи дырки различны (однако во мн. случаях они слегка превышают
)..Рождение электронно-дырочной пары носителями, ускоренными до необходимыхэнергий в электрич. поле обратно смещённого перехода, ответственно за лавинноеразмножение носителей в р - n -П. и за его лавинный пробой.
Обычно процессы ударной ионизации описываютс помощью коэф.
и
определяемыхкак ср. числа электронно-дырочных пар, генерируемых одним электроном иодной дыркой на единичном пути их дрейфа в электрич. поле Е. Вширокихобеднённых слоях
( х)- локальные ф-ции электрич. поля в точке х:
Здесь т =1, 2; коэф. bn, р не зависят от Е, а С п, <р зависят слабо. Из-за сильной зависимости
от Е в ударную ионизацию, как и в туннельную генерацию, вносит вкладтолько близкая окрестность точки макс. электрич. поля в обеднённом слое.
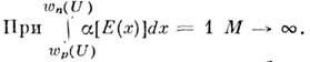
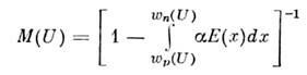
Из-за ударной ионизации обратный ток р- п -П., обусловленный термической или туннельной генерацией, а такжефото генерацией или инжекцией носителей надлежит умножить на коэф.M(U):J1(U) = j(U) M(U). При
=
=
(приближённо имеющем место во мн. полупроводниках при больших значениях| Е| )величина M(U )перестаёт зависеть от места, где произошлапервичная генерация, и равна
(направление оси х выбрано из р -областив п -область).
Это определяет напряжение U пр лавинного пробоя р - n -П.: стационарный режим с обратным напряжениемна р - n -П. .U пр невозможен. <Для лавинного пробоя важна ударная ионизация обоими типами носителей. Еслив размножении участвуют, напр., одни только электроны, то напряжение U пр
оо(бесклнечность).
Лавинный пробой, как правило, имеет микроплазменныйхарактер: ток течёт не по всей площади р - n -П., а локализован вотд. точках (микроплазмах), выявляемых по яркому свечению. С ростом токапробоя число микроплазм растёт вплоть до однородного покрытия ими всейплощади.
Если хотя бы одна сторона р - n -П. <легирована слабо или же р - n -П. имеет плавную структуру, лавинныйпробой наступает при напряжении, недостаточном для проявления заметнойтуннельной генерации. В резких переходах с сильным легированием обеих сторонтуннельная генерация начинает доминировать до наступления лавинного пробоя, <так что ему предшествует на обратной ветви ВАХ участок быстрого туннельногонарастания тока (рис. 4).
д) Фотогеперация, сторонняя инжекция. <Током р - n -П. можно управлять с помощью фотогенерации неравновесныхносителей в его окрестности. Ток j ф, обусловленный фотогенерацией(фототок), в отсутствие лавинного размножения аддитивно складывается сдр. составляющими тока, а при наличии лавинного размножения - с составляющимипервичного тока. При наличии фототока (кривая 5, рис. 4) ВАХ не проходитчерез точку j = 0, U= 0, возникает участок, на к-ром знак j не совпадает со знаком U (кривая 6, рис. 4). В этом режиме р - n -П. выступает в качестве фотоэлемента, преобразующегоэнергию излучения в электрич. энергию (см. также Солнечная батарея). Кроме режима фотоэлемента используется режим фотодиода, отвечающийобратной ветвп ВАХ.
Др. способ управления током р - n -П.- инжекция неосновных носителей в одну из образующих переход областей полупроводникас помощью др. р - п -П. или иного инжектирующего контакта. Этот способуправления током р - п -П. - коллектора путём ин-жекции р - п -П.- эмиттером лежит в основе работы транзисторов. Ток р - n -П. <можно также изменять разогревом носителей эл.-магн. излучением СВЧ-илиИК-диапазона.
Способы получения р-n -П. Сплавные переходы получают, нанося на полупроводниковуюкристаллич. подложку "навеску" легкоплавкого металлич. сплава, в составк-рого входит необходимое легирующее вещество. При нагреве образуется областьжидкого расплава, состав к-рого определяется совместным плавлением навескии подложки. При остывании формируется рекристаллизац. область полупроводника, <обогащённая легирующими атомами. Если тип легирования этой области отличенот типа легирования подложки, то образуется резкий р - n -П., причёмего металлургич. граница х0 совпадает с границей рекристаллизац. <области. В сплавных переходах на этой поверхности разность изменяется скачком(резкий р - n -переход).
При вытягивании из расплава формированиеперехода происходит в процессе роста полупроводникового слитка путём дозированногоизменения состава легирующих примесей в расплаве. Диффузионные переходыполучают диффузией легирующих примесей из источников в газообразной, жидкойи твёрдой фазах. Имплантированные переходы образуются при ионной имплантации легирующих примесей.
Эпитаксиальные переходы получают методомэпитак-сиального выращивания или наращивания, в т. ч. методом молекулярно-лучевойэпитаксии, позволяющим пространственно наиболее тонко (с разрешающей способностьюдо 1 нм) регулировать закон изменения N Д(x) - Na(x). Частоприменяются комбиниров. способы: после вплавления, имплантации или эпитаксиальноговыращивания производится диффузионная доводка структуры.
При получении р - n -П. регулируетсяне только легирование р- и n -областей, но и структура всегопереходного слоя; в частности, получается необходимый градиент а = d(N Д- Na)/dx в точке металлургич. перехода х= х 0. В большинстве случаев применяются асимметричные р +- п- или п + - р -П., в к-рых легирование одной изобластей (+) намного сильнее другой.
Применения, р - n -П. обладает нелинейнойВАХ с большим коэф. выпрямления, на чём основано действие выпрямительных(полупроводниковых) диодов. За счёт изменения толщины обеднённого слояс изменением напряжения U он имеет управляемую нелинейную ёмкость(см. Варикап). Включённый в прямом направлении, он инжектирует носителииз одной своей области в другую. Инжектиров. носители могут управлять токомдр. р - n- П ., рекомбинировать с излучением света, превращая р- n -П. в электролюминесцентный источник излучения (см. Светоизлцчающийдиод), инерционно задерживаться в области инжекции при быстрых переключенияхнапряжения на р - n -П. Ток р - n- П . управляетсясветом или др. ионизирующими излучениями (см. Полупроводниковый детектор).
Свойства р - n -П. обусловливаютих применение в разл. приборах: выпрямительные, детекторные, смесительныедиоды (см. Диоды твердотельные); биполярные и униполярные транзисторы;туннельные диоды; лавинно-пролётные диоды (СВЧ-генераторы); фотодиоды, <лавинные фотодиоды, фототранзисторы; тиристоры, фототиристоры; фотоэлементы, <солнечные батареи; светодиоды, инжекц. лазеры; детекторы частиц и др. .- n -П. вытесняются Шоттки барьерами, изотипными гетеропереходами, <планарно-легированными барьерами.
















