Занятие 11. Частные производные 1-го порядка. Частные производные высших порядков. (1079517)
Текст из файла
Занятие 11. Частные производные 1-го порядка. Частные производные высших порядков.
Дифференциал первого и второго порядка ФНП.
Частные производные. Пусть (x1, ..., хk, ..., xn) − произвольная фиксированная точка из области определения функции u = f(x1, ..., хn). Придавая значению переменной хk (k = 1, 2, ..., п) приращение
рассмотрим предел
Этот предел называется частной производной (1-го порядка) данной функции по переменной xk в точке (x1, ..., хk, ..., xn) и обозначается
или
.
Частые производные вычисляются по обычным правилам и формулам дифференцирования (при этом все переменные, кроме хk, рассматриваются как постоянные).
Частными производными 2-го порядка функции u = f(x1, ..., хn) называются частные производные от ее частных производных первого порядка. Производные второго порядка обозначаются следующим образом:
и т. д. Аналогично определяются и обозначаются частные производные Порядка выше второго. Результат многократного дифференцирования функции по различным переменным не зависит от очередности дифференцирования при условии, что возникающие при этом «смешанные» частные производные непрерывны.
Дифференциал функции и его применение. Полным приращением функции u = f(x1, ..., хn) в точке P(x1, ..., хn). соответствующим приращениям аргументов
,
, ...,
называется разность
Функция и = f(Р) называется дифференцируемой в точке (x1, ..., хn), если всюду в некоторой окрестности этой точки полное приращение функции может быть представлено в виде
где
, A1, A2, ..., An ‑ числа, не зависящие от
,
, ...,
.
Дифференциалом du 1-го порядка функции u = f(x1, ..., хn) в точке (x1, ..., хn) называется главная часть полного приращения этой функции в рассматриваемой точке, линейная относительно
,
, ...,
, т. е.
Дифференциалы независимых переменных равны их приращениям:
Для дифференциала функции u = f(x1, ..., хn) справедлива формула
Дифференциалом 2-го порядка d2u функции u = f(x1, ..., хn) называется дифференциал от ее дифференциала 1-го порядка, рассматриваемого как функция переменных x1, ..., хn при фиксированных значениях dx1, .., dхn:
d2u = d(du).
Аналогично определяется дифференциал m-го порядка:
dmu = d(dm ‑ 1u).
Дифференциал т-гo порядка функции u = f(x1, ..., хn), где x1, ..., хn ‑ независимые переменные, выражаемся символической формулой
которая формально раскрывается по биномиальному закону.
Задачи
Найти частные производные первого и второго порядков от заданных функций:
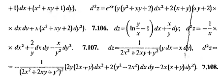
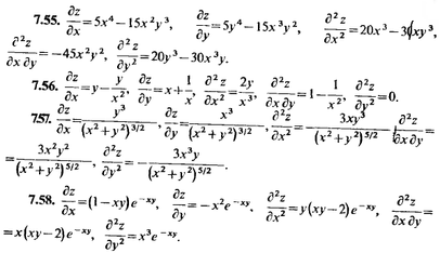
7.55. z = x5 + y5 − 5x3y3. 7.57.
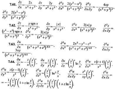
7.60. z = yx. 7.61.
. 7.63.
7.66. Найти f'x(3, 2), f'y(3, 2), f''xx(3, 2), f''xy(3, 2), f'yy(3, 2), если f(x, y) = x3y +xy2 ‑ 2x + 3y ‑ 1.
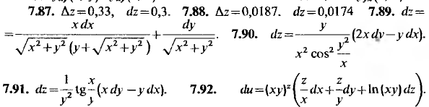
7.87. Найти полное приращение и дифференциал функции z = x2 ‑ ху + y2, если x изменяется от 2 до 2,1, а у ‑ от 1 до 1,2.
Найти дифференциалы функций:
Найти дифференциалы 1-го и 2-го порядков следующих функций (x, у, z ‑ независимые переменные):
Проверить функцию
на дифференцируемость в точке (0, 0).
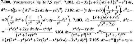
Домашнее задание 7.56, 7.58, 7.59, 7.62, 7.64, 7.67, 7.88, 7.90, 7.92, 7.102, 7.107.
7.56.
. 7.58.
. 7.59.
. 7.62.
. 7.64.
. 7.67. Найти f'x(1, 2), f'y(1, 2), f''xx(1, 2), f''xy(1, 2), f'yy(1, 2), если
.
7.88. Найти полное приращение и дифференциал функции z = lg(x2 + y2), если x изменяется от 2 до 2,1, а у ‑ от 1 до 0,9.
Ответы
Характеристики
Тип файла документ
Документы такого типа открываются такими программами, как Microsoft Office Word на компьютерах Windows, Apple Pages на компьютерах Mac, Open Office - бесплатная альтернатива на различных платформах, в том числе Linux. Наиболее простым и современным решением будут Google документы, так как открываются онлайн без скачивания прямо в браузере на любой платформе. Существуют российские качественные аналоги, например от Яндекса.
Будьте внимательны на мобильных устройствах, так как там используются упрощённый функционал даже в официальном приложении от Microsoft, поэтому для просмотра скачивайте PDF-версию. А если нужно редактировать файл, то используйте оригинальный файл.
Файлы такого типа обычно разбиты на страницы, а текст может быть форматированным (жирный, курсив, выбор шрифта, таблицы и т.п.), а также в него можно добавлять изображения. Формат идеально подходит для рефератов, докладов и РПЗ курсовых проектов, которые необходимо распечатать. Кстати перед печатью также сохраняйте файл в PDF, так как принтер может начудить со шрифтами.
















