Занятие 4. Линейные операторы и их матрицы. Преобразование матрицы линейного оператора при переходе к новому базису (1079492)
Текст из файла
Занятие 4. Линейные операторы и их матрицы. Преобразование матрицы линейного оператора при переходе к новому базису. Действия над линейными операторами.
Алгебра линейных операторов. Линейным оператором в линейном пространстве L называется всякое отображение
пространства L в себя, обладающее свойствами
А(λх) = λАх и А(х + у) = Ах + Ау.
Пусть А − линейный оператор в конечномерном пространстве Ln и B = (e1, ... , еn) некоторый фиксированный базис. Разложим векторы Аеk, k = 1, ..., n по базису B: Аеk = а1kе1 + ... + аnkеn, k = 1, ..., п.
Тогда матрица A называется матрицей линейного оператора A в базисе B. Пусть А и А' − матрицы оператора А в базисах B и B', a
− матрица перехода от базиса B к базису B'. Тогда формула преобразования матрицы оператора при преобразовании базиса имеет вид
.
Над линейными операторами, действующими в фиксированном пространстве L, вводятся следующие операции:
а) сложение операторов: (А + В)х = Ах + Вх; при этом [A + B] = A + B;
б) умножение операторов на числа: (λА)х = λ(Ах); при этом [λA] = λA;
в) умножение операторов: (AB)x = A(Bx); при этом [AB] = AB.
Обратным к оператору A называется оператор А−1 такой, что А А−1 = А−1A = E, где Е − единичный оператор, реализующий тождественное отображение. Оператор А имеет обратный (и в этом случае называется невырожденным) в том и только том случае, когда его матрица А невырождена (в любом базисе); при этом [А−1] = А−1.
Задачи: ОЛ-6, гл. 4: 4.83 – 4.99 (неч.), 4.103, 4.106 (б), 4.107, 4.110, 4.113
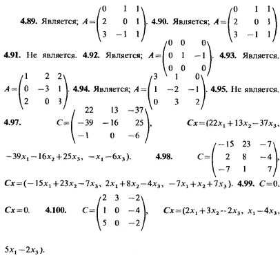
В задачах 4.83−4.89 установить, какие из заданных отображений пространства V3 в себя являются линейными операторами; выписать их матрицы в прямоугольном базисе
4.83. Ах = λх, λ − фиксированное число.
4.85. Ах = (x, е)е, где е − заданный единичный вектор. Выяснить геометрический смысл этого отображения.
4.87. Ах = (а, х)х, а − фиксированный вектор.
4.89. Если x = xi + yj + zk, то Ax = (y + z)i + (2x + z)j + (3x − y + z)k.
В задачах 4.90−4.95 установить, какие из заданных отображений пространства арифметических векторов R3 в себя являются линейными операторами; выписать их матрицы в каноническом базисе.
4.91. Ах = (х1, х2 + 1, x3 + 2). 4.93. Ах = (х1 + 2х2 + 2х3, −3х2 + х3, 2х1 + 3х3).
4.95. Ах = (3x1 + 5х3, x1 + x3 + 1, 3х2 − 6х3).
В пространстве R3 заданы два линейных оператора А и В. Найти матрицу [С] линейного оператора С = АВ − ВA и его явный вид в каноническом базисе R3:
4.97. Аx = (7x1 + 4x3, 4x2 − 9x3, 3x1 + x2), x = (x2 − 6x3, 3x1 + 7x3, x1 + x2 − x3).
4.99. Аx = (3x1 + x2 − 2x3, 3x1 − 2x2 + 4x3, − 3x1 + 5x2 − x3), Bx = (2x1 + x2, x1 + x2 + 2x3, − x1 + 2x2 + x3).
4.106. В L4 задан линейный оператор А, матрица которого в некотором базисе B = (e1, e2, e3, е4) равна
Найти матрицу этого оператора в базисе B' = (e1, e1 + e2, e1 + e2+ e3, e1 + e2+ e3 + е4)
4.107. В L3 заданы два базиса: B':
,
,
, B'':
,
,
.
Найти матрицу оператора А в базисе B'', если его матрица в базисе B' имеет вид
4.110. В пространстве P3 задан линейный оператор дифференцирования
. Найти матрицу этого оператора в базисе: a) 1, t, ..., tn − 1;
4.113. В пространстве функций, дифференцируемых на всей оси, заданы оператор дифференцирования
и оператор A = eλt умножения на функцию eλt. Проверить равенство DA − AD = λA.
Домашнее задание: 4.84, 4.86, 4.90 – 4.100 (четн.), 4.108, 4.110(б)
4.84. Ах = λх + а, λ и а фиксированы. 4.86. Aх = [a, х], а − фиксированный вектор. 4.90. Ах = (х2 + х3, 2x1 + x3, 3x1 − х2 + x3). 4.92. Ах = (0, х2 − х3, 0). 4.94. Ах = (3x1 + x2, x1 − 2x2 − x3, 3x2 + 2x3). 4.98. Аx = (2x1 − x2 + 5x3, x1 + 4x2 − x3, 3x1 − 5x2 + 2x3), Bx = (x1 + 4x2 + 3x3, 2x1 + x3, 3x2 − x3). 4.100. Аx = (3x1 + x2 + x3, 2x1 + x2 + 2x3, x1 + 2x2 + 3x3), Bx = (x1 − x2 − x3, 2x1 − x2 + x3, x1 + x2).
4.108. В пространстве L2 оператор А в базисе B':
,
, имеет матрицу
. Оператор В в базисе B'':
,
, имеет матрицу
. Найти матрицу оператора A + B в базисе B''.
Ответы:
Характеристики
Тип файла документ
Документы такого типа открываются такими программами, как Microsoft Office Word на компьютерах Windows, Apple Pages на компьютерах Mac, Open Office - бесплатная альтернатива на различных платформах, в том числе Linux. Наиболее простым и современным решением будут Google документы, так как открываются онлайн без скачивания прямо в браузере на любой платформе. Существуют российские качественные аналоги, например от Яндекса.
Будьте внимательны на мобильных устройствах, так как там используются упрощённый функционал даже в официальном приложении от Microsoft, поэтому для просмотра скачивайте PDF-версию. А если нужно редактировать файл, то используйте оригинальный файл.
Файлы такого типа обычно разбиты на страницы, а текст может быть форматированным (жирный, курсив, выбор шрифта, таблицы и т.п.), а также в него можно добавлять изображения. Формат идеально подходит для рефератов, докладов и РПЗ курсовых проектов, которые необходимо распечатать. Кстати перед печатью также сохраняйте файл в PDF, так как принтер может начудить со шрифтами.
















