Электротехника Лекции (1065050), страница 12
Текст из файла (страница 12)
где iПр(0-) - ток индуктивности в момент, непосредственно предшествующей короткому замыканию. При t=0 из (5.10) имеем:
На рис 5.2 изображены графики спада тока и напряжения на индуктивности
(5.13)
С
энергетической точки зрения процесс короткого замыкания цепи r, L характеризуется тем, что вся запасенная в индуктивности до коммутации энергия ее магнитного поляв течении переходного процесса выделяется в резисторе r в виде тепла.
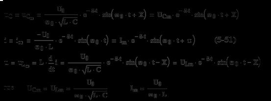
5.4 Включение цепи r, L к источнику гармонического напряжения.
Пусть источник с напряжением
включается в цепь с последовательным соединением резистора r и индуктивности L (рис 5.1).
Рис 5.1 (5.15)
Для решения дифференциального уравнения цепи для послекоммутационного периода (t=0 и t>0) следуя общему методу, находим сначала частное решение, хорошо известное из теории синусоидальных токов
(5.16)
Затем записываем уже известное решение однородного дифференциального уравнения цепи r, L содержащее постоянную интегрирования
(5.17)
и, наконец, полное решение в виде
(5.18)
Далее, устанавливаем начальные условия для тока в индуктивности. Так как цепь была разомкнута до коммутации, то имеем нулевые начальные условия
При t=0 из (5.18) устанавливаем, что
а полный переходной ток
(5.20)
Его график представлен на рис 5.5
5.5 Включение в цепь r, C к источнику постоянного напряжения.
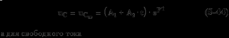
Пусть при t=0 незаряженная емкость С подключается через резистор r к источнику постоянного напряжения u(t)=U (нулевые начальные условия uC(0)=0) (рис 5.6)
По второму закону Кирхгофа уравнение для послекоммутационного периода (tі0) имеет вид
где i, uc - соответственно переходной ток в цепи и переходное напряжение на емкости. С учетом того, что i=C·duc/dt получаем дифференциальное уравнение рассматриваемой цепи
(5.21)
Решение этого уравнения, согласно (5.3), известно
(5.22)
Первое слагаемое uспр=U - частное решение уравнения (5.21), выражает принужденное значение, когда емкость зарядиться до напряжения источника. Второе слагаемое uCсв=A·exp(pt) - решение однородного дифференциального уравнения, полученные из (5.21), и содержит корень характеристического уравнения, равный для этой цепи p=-1/(rC), и постоянную интегрирования А, вычисляемую из начальных условий. Для любой цепи с резистором и емкостью они устанавливают на основании второго закона коммутации. Так при t=0 из (5.22) находим
отсюда А=-U и переходное напряжение на емкости будет изменяться по закону
(5.24)
Для тока получим
(5.25)
Кривые изменения тока приведены на рис 5.7
Рис 5.7
5.6 Короткое замыкание в цепи с резистором и емкостью.
Пусть емкость С была заряжена от источника постоянного напряжения да напряжения uc(0-)=U (рис 5.8) Для послекоммутационного периода (tі0) в короткозамкнутом контуре принужденное напряжение на емкости и принужденный ток в цепи будут равны нулю, и, по определению, в нем может существовать только свободный режим.
Постоянная интегрирования А находится из начальных условий при t=0:
uc(0+)=A=uc(0-)=U.
Для напряжения на емкости теперь получим
(5.27)
С энергетической точки зрения режим короткого замыкания цепи rC характеризуется переходом энергии, запасенной до коммутации в электрическом поле емкости WЭ=C·U2/2 в тепло,
Графики изменения uc, и i приведены на рис.5.9
Рис 5.9
5.7. Включение цепи r, C к источнику синусоидального напряжения.
Этот случай отличается от рассмотренного в п. 5.5. только тем, что источник представлен гармонической функцией, т.е., например,
(5.28)
Принужденное напряжение на емкости
(5.29)
а переходное напряжение на емкости
(5.30)
Если принять, что емкость не была заряжена, то постоянная интегрирования определяется при нулевых начальных условиях
uc(0+)= =uc(0-)=0 (5.31)
Отсюда:
(5.32)
Кривая изменения напряжения изображена на рис 5.10.
рис.5.10.
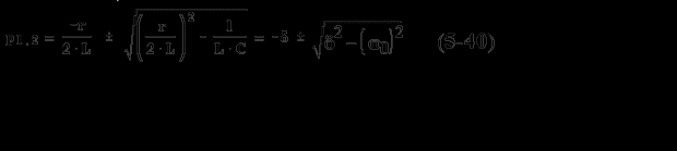
Теперь перейдем к рассмотрению переходных процессов в электрической цепи, состоящей из последовательно соединенных r, L, C элементов. Здесь по аналогии с r, L и r, C цепями возможны случаи, когда цепь подключается к источнику постоянного напряжения или к источнику переменного напряжения, в частности, синусоидального напряжения, или цепь образует замкнутый контур без источников, но емкость к моменту коммутации была заряжена. Составленный по второму закону Кирхгофа дифференциальных уравнений для каждого из названных случаев имеет решение в форме ( 5.3), где первое слагаемое выражает принужденный режим, задаваемый видом функции в правой части, а второе выражает свободный режим в цепи при отсутствии внешних источников. Именно здесь и проявляется отличие рассматриваемой цепи, состоящее в том, что наличие в ней одновременно двух реактивностей разных знаков приводит к появлению квадратного характеристического уравнения и двух его корней p1 и p2. Теперь переходное напряжение на емкости равно
Две постоянные интегрирования A1 и A2 определяться из двух начальных условий в сочетании с двумя законами коммутации. Так, если непосредственно перед коммутацией заданы uc(0-) и iL(0-) т.е. начальные условия, то выполнение законов коммутации приводит к равенствам
где uСпр(0+) и iLпр(0+) - принужденные значения для момента времени непосредственно после коммутации. Когда они известны, так же как начальные условия uСпр(0-) и iLпр(0-) и корни p1 и p2 можно найти напряжения A1 и A2 и завершить решения (5.33) и (5.34). Проиллюстрируем все вышеизложенное на случае разряда емкости на цепь r, L (рис 5.11).
Рис 5.11
Отсутствие источников питания означает, что в цепи для послекоммутационного периода (tі0) имеет место свободный режим и по второму закону Кирхгофа можно установить, что
Для решения этого дифференциального уравнения составим характеристической многочлен
Характер свободного режимам будет определяться видом корней этого уравнения, т.е. только параметрами цепи r, L, C. Так как эти корни определяться формулой
то характер свободного процесса зависит от знака подкоренного выражения.
Рассмотри возможных три случая.
Случай 1
Пусть d>w0, тогда согласно (5.40) корни характеристического уравнения p1 и p2 - отрицательные действительные числа, что делает свободный процесс обязательно затухающим.
Так как при разряде емкости принужденные напряжения и токи равны нулю, то полные их значения, как это следует из (5.33) и (5.34) будут равны свободным uC=uCсв , i=iсв. Из начальных условий определяем значения постоянных интегрирования: при t=0, uC(0-)=U0 и i(0-)=0. Воспользовавшись равенством (5.35) и (5.36) получим
Кривые изменения напряжений на емкости и на индуктивности, тока и их составляющих приведены на рис 5.12
Рис 5.12 а) Рис 5.12 б)
Случай 2
Пусть d=w0, тогда корни характеристического уравнения станут одинаковыми p=p1=p2 и общее решение уравнения (5.38) дается в этом случае формулой
Подставляя значения A1 и A2 в формулы (5.44) и (5.45) найдем ток и напряжение на емкости
Определяем также напряжение на индуктивности
Кривые изменения i, uL, uC по форме не отличаться от приведенных на рис 5.12
Рис 5.12 а) Рис 5.12 б)
Случай 3
Если d<w0, то корни характеристического уравнения комплексные и сопряженные, а решение уравнения (5.38) при комплексных корнях его характеристического уравнения может быть записано в виде
где A и X - постоянные интегрирования
так как начальные условия такие же как в двух предыдущих случаях, то по формулам (5.49) получим
подставляя значения A, X из (5.50) в уравнения (5.49) после некоторых преобразований получаем
Кривые изменений uc, i показаны на рис 5.13
Рис 5.13
Основываясь на этих материалах можно рекомендовать обучающимся самостоятельно рассмотреть случаи выключения цепи r, L, C к источнику постоянного или переменного напряжения.
Глава 6.
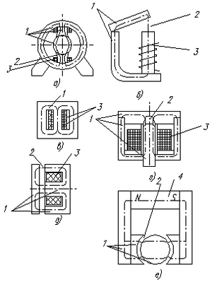
Магнитные цепи при постоянной магнитодвижущей силе (МДС).
Магнитная цепь (МЦ) – часть электротехнического устройства, предназначенного для создания в определенном месте пространства магнитного поля требуемой интенсивности и направленности. Магнитные цепи составляют основу практически всех электротехнических устройств и многих измерительных приборов.
В
составе МЦ имеются элементы, возбуждающие магнитное поле (одна или несколько намагничивающих обмоток или постоянные магниты) и магнитопровод, выполненный в основном из ферромагнитных материалов. Использование ферромагнетиков обусловлено их способностью многократно усиливать внешнее (по отношению к ним) магнитное поле, создаваемое намагничивающими обмотками или постоянными магнитами. Ферромагнетики отличает высокая магнитная проницаемость по сравнению с окружающей средой, что дает возможность концентрировать и направлять магнитные поля.
На рис. 1.1 в качестве примера представлены МЦ некоторых электромагнитных устройств: а – машин постоянного тока, б – электромагнитного реле, в – трансформатор, г и д – тормозных электромагнитов, е – магнитоэлектрического измерительного прибора. Цифрой 1- обозначены ферромагнитные части магнитопроводов, 2 – воздушные зазоры, 3 – намагничивающие катушки, 4 – постоянный магнит.















