Глава 12 Циклы газотурбинных установок (1062512), страница 2
Текст из файла (страница 2)
которое называется степенью повышения давления.
151
Работа цикла
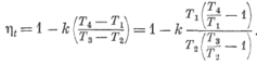
Тогда к. п. д. цикла можно выразить через степень повышения давления:
Для характеристики цикла часто пользуются отношением
объемов
то выражение к. п. д. цикла можно представить как
которое, как и прежде, называют степенью сжатия. Так как
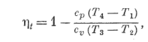
Как следует из уравнений (223) и (224), термический к. п. д. цикла зависит только от степени повышения давления или степени сжатия . На рис. 96 показана зависимость t от .
Подставив значения q1 и q2 в формулу термического к. п. д., получим
но
поэтому
Для характеристики цикла с подводом теплоты при v = const также удобно пользоваться степенью повышения давления [уравнение (220)] и степенью сжатия [уравнение (198)] и отношением температур
Цикл с подводом теплоты при v = const. Этот цикл представлен в координатах р — v на рис. 97 и в координатах Т — s на рис. 98. Подводимая теплота представлена площадью а23Ъ и вычисляется по уравнению
Отводимая теплота определится по уравнению (217)
153
она эквивалентна площадке b41а (рис. 98).
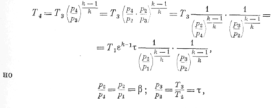
которое называется степенью повышения температуры. Для адиабаты 1—2 имеем
отсюда
Из уравнения (225), а также используя уравнение (226), получаем
Для адиабаты, 4—3
отсюда
поэтому
Имея это в виду, упрощаем уравнение (228):
тогда выражение для к. п. д. цикла
После упрощений получаем окончательно
Так как для изохоры 2—3
Между степенью повышения давления и степенью сжатия можно установить следующую связь из уравнения адиабаты:
то вместо степени повышения температур можно ввести равную ей
величину степени дополнительного повышения давления [уравнение (199)]:
Тогда, используя также уравнение (229), подучим к. п. д. цикла
На рис. 99 приведена зависимость к. п. д. цикла от и с подводом теплоты при v = const.
§ 65. Пути повышения экономичности идеальных циклов газотурбинных установок
Повышение экономичности идеальных циклов газотурбинных установок (ГТУ) имеет большой практический смысл. Так как к настоящему времени распространение имеют только установки, для которых идеальным циклом является цикл с подводом теплоты при р — const, то ниже будут рассматриваться методы повышения экономичности только этого идеального цикла.
Увеличение степени сжатия или степени повышения давления. Из уравнений (223) и (224), а также графиков, приведенных на рис. 96 и 99, следует, что термический к. п д. идеального цикла установки с подводом теплоты при р=const резко возрастает при увеличении степени повышения давления (степени сжатия). Поэтому выгодно работать при больших степенях сжатия. Однако при этом в установках, работающих с выпуском в атмосферу (начальные параметры сжатия постоянны и не могут быть изменены), повышается и температура рабочего тела (T3' > Т3) (рис. 100). Современные материалы, которыми располагает газотурбостроепие, не позволяют работать с газом, имеющим температуру выше 650—700° С (редко, для турбин, с температурой 800° С и выше). При больших температурах газа металл лопаток теряет свою прочность. Такие значения максимальных температур определяют для турбин, работающих с выпуском в атмосферу, максимальную степень повышения давления, равную 6—8. Дальнейшее повышение этой величины или, что то же самое, степени сжатия требует применения новых, более жаропрочных материалов или организации охлаждения лопаток. Эти две проблемы являются главнейшими в современном турбостроении.
В этой связи следует отметить, что в установках, работающих по замкнутому циклу, имеется больше возможностей для повышения степени сжатия, чем в установках с разомкнутым циклом: в таких установках можно не только повышать конечные значения давления и температуры сжатия, но и снижать начальные, что достигается организацией вакуума в холодильнике.
Осуществление в цикле регенерации. Температура газов, уходящих из современных установок, достигает 450—500° С. Эти газы можно использовать для подогрева воздуха перед поступлением его
155
Для цикла без регенерации
Для цикла с регенерацией
в
Применение в цикле ступенчатого подвода теплоты (ГТУ с несколькими камерами сгорания). Экономичность установки можно увеличить применением промежуточных камер сгорания. В этом случае рабочее тело после расширения в группе ступеней турбины направляется в промежуточную камеру, куда подается также и топливо. Такая же промежуточная камера может быть и после второй группы ступени турбины, и после третьей. На рис. 102 показана схема установки с одной промежуточной камерой сгорания ПKС. Так как в камеры сгорания установки воздух, необходимый для горения топлива, подается с большим избытком (трех- и пятикратное количество по отношению к теоретически необходимому), то горение топлива оказывается возможным не только в главной камере сгорания, но и в промежуточных.
Идеальным циклом установки с промежуточной камерой сгорания явится цикл с дополнительным подводом теплоты по изобаре
4—5. Количество теплоты, выделяющейся в промежуточной камере сгорания, будет равно количеству теплоты, подводимой к рабочему телу в идеальном цикле в течение процесса 4—5, и представится площадкой b45с.
Применение ступенчатого сжатия рабочего тела с промежуточным охлаждением. При рассмотрении рабочих процессов компрессоров было установлено, что наиболее экономич-
ным является изотермическое сжатие. На этом основании можно сделать вывод, что для повышения экономичности идеального цикла установки входящий в него процесс сжатия следует проводить при Т = const или применить процесс, который возможно ближе подходит к нему.
Как известно, изотермическое сжатие практически неосуществимо и может рассматриваться лишь как предельный процесс, ко-
157
торый можно осуществить в компрессоре при бесконечно большом числе ступеней сжатия и промежуточных холодильников. Но применение даже двухступенчатого сжатия с одним промежуточным
холодильником заметно увеличивает экономичность установки. На рис. 103 показана схема установки с двухступенчатым компрессором при одном промежуточном холодильнике. Идеальный цикл этой установки представляется контуром 1234561. Еще заметнее увеличивается экономичность установки при применении многоступенчатого сжатия с промежуточным охлаждением.
На рис. 104 показан идеальный цикл установки с регенерацией и одновременным применением многоступенчатого сжатия и ступенчатого подвода теплоты.
Нетрудно видеть, что в пределе при бесконечно большом числе ступеней сжатия и бесконечно большом числе промежуточных ступеней подвода теплоты цикл такой ГТУ превращается в цикл, который по своей экономичности тождествен обобщенному (регенеративному) циклу Карно.
§ 66. Циклы воздушно-реактивных двигателей
Газовые турбины получили большое применение в системах, известных под названием «воздушно-реактивные двигатели». В этих системах газовая турбина не является основным двигателем, т. е. двигателем, отдающим свою работу внешнему потребителю, а используется лишь для приведения в действие компрессора, необходимого для работы реактивного двигателя; другими словами, турбина служит вспомогательным двигателем.
Так как в таких системах воздух сжимается в компрессоре, а приводом последнего является турбина, то они получили название турбокомпрессорных воздушно-реактивных двигателей.
















