[14.02.12] Лекция №2 (1044772)
Текст из файла
Лекция №2 [14.02.12]
Особенности предэсплуатационного этапа
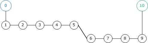
Основные виды работ, выполняемых в этот период, а также в период ввода системы в действие:
| 0: | начало работ |
| 0-1: | выбор альтернативных вариантов |
| 1-2: | выбор наилучшего и сравнивание альтернативных |
| 2-3: | выбор фирм, будущих поставщиков оборудования и ПО |
| 3-4: | составление спецификаций на оборудование |
| 4-5: | получение оборудования по спецификации и организация его хранения |
| 5-6: | установка оборудования и прокладка кабельной системы |
| 6-7: | тестирование и проверка кабельной системы, работы сетевого оборудования |
| 7-8: | установка и настройка ПО |
| 8-9: | комплексная отладка аппаратно-программных средств |
| 9-10: | опытная эксплуатация |
| 10: | акт сдачи, и начинается промышленная эксплуатация |
Время выполнения работ:
, где:
- минимальное (оптимистическое) время выполнения работы;
- наиболее реальное время выполнения работы;
- максимальное (пессимистическое) время выполнения работы.
Среднеквадратичное отклонение:
Гарантийный срок – количество месяцев или лет безотказной работы изделия со дня покупки, которое гарантирует фирма-производитель. Гарантия не распространяется на недостатки, возникшие в изделии вследствие нарушения правил его эксплуатации (транспортировки, хранения и использования). Пользователю, использующему изделие, может быть отказано в гарантийном обслуживании, если:
1) не предъявлен оригинал гарантийного талона;
2) в гарантийном талоне присутствуют исправления, которые не заверены продавцом и печатью фирмы-поставщика;
3) отражённые в гарантийном талоне данные не совпадают с аналогичными данными на изделии (серийный номер, модель);
4) истёк срок службы или срок гарантии на изделие;
5) проводилось постороннее, несанкционированное вмешательство в работу изделия;
6) повреждения, нанесённые изделию посторонними лицами или насекомыми;
7) изделие имеет следы коррозии;
8) шнур питания изделия имеет повреждения;
9) изделие загрязнено;
10) изделие эксплуатировалось в условиях, не предназначенных для его эксплуатации.
Выбор оборудования и ПО
Пример: сравнить три варианта серверов по набору отдельных показателей качества их функционирования (локальных критериев) и выбрать наилучший вариант сервера.
| № | Локальные критерии | Варианты серверов | ||
| В1 | В2 | В3 | ||
| 1 | производительность, транзакций/сек | 100 | 90 | 80 |
| 2 | среднее время безотказной работы, тысяч часов | 450 | 500 | 425 |
| 3 | гарантийный срок обслуживания, месяцев | 27 | 24 | 30 |
| 4 | наращиваемость архитектуры, количество тезомест | 10 | 8 | 6 |
| 5 | стоимость, тысяч рублей | 100 | 90 | 75 |
Методы сравнения:
- метод Бордо:
1) по каждому локальному критерию проводится сравнение вариантов. Если вариант лучший, то он занимает первое место и ему даётся 1 балл, второму – два;
2) сумма по каждому варианту его набранных баллов;
3) у кого больше, тот и лучше.
| В1 | В2 | В3 |
| 1 | 2 | 3 |
| 2 | 1 | 3 |
| 2 | 3 | 1 |
| 1 | 2 | 3 |
| 3 | 2 | 1 |
| 9 | 10 | 11 |
- метод взвешенной суммы локальных критериев
- количество локальных критериев;
- количество сравниваемых вариантов;
- интегральный критерий эффективности
-го варианта (обобщённый);
- весовой коэффициент, коэффициент важности
-го локального критерия. Сумма весовых коэффициентов всегда равна 1;
- нормированное значение
-го варианта по
-му локальному критерию. Всегда больше нуля, но меньше или равно 1.
Причём, всё просто только когда чем больше, тем лучше. А когда чем меньше, тем лучше (цена, например) будет так:
Нормировка этих вариантов представляет из себя следующее:
| № | В1 | В2 | В3 | Идеал | |
| 1 | 0,2 | 1 | 0,9 | 0,8 | 1 |
| 2 | 0,2 | 0,9 | 1 | 0,85 | 1 |
| 3 | 0,2 | 0,9 | 0,8 | 1 | 1 |
| 4 | 0,2 | 1 | 0,8 | 0,6 | 1 |
| 5 | 0,2 | 0,75 | 0,825 | 1 | 1 |
| 0,91 | 0,865 | 0,85 | |||
| 0,91 | |||||
| 0,905 | 0,806 | 0,835 | |||
Характеристики
Тип файла документ
Документы такого типа открываются такими программами, как Microsoft Office Word на компьютерах Windows, Apple Pages на компьютерах Mac, Open Office - бесплатная альтернатива на различных платформах, в том числе Linux. Наиболее простым и современным решением будут Google документы, так как открываются онлайн без скачивания прямо в браузере на любой платформе. Существуют российские качественные аналоги, например от Яндекса.
Будьте внимательны на мобильных устройствах, так как там используются упрощённый функционал даже в официальном приложении от Microsoft, поэтому для просмотра скачивайте PDF-версию. А если нужно редактировать файл, то используйте оригинальный файл.
Файлы такого типа обычно разбиты на страницы, а текст может быть форматированным (жирный, курсив, выбор шрифта, таблицы и т.п.), а также в него можно добавлять изображения. Формат идеально подходит для рефератов, докладов и РПЗ курсовых проектов, которые необходимо распечатать. Кстати перед печатью также сохраняйте файл в PDF, так как принтер может начудить со шрифтами.
















