[13.03.12] Лекция №6 (1044782)
Текст из файла
Лекция №6 [13.03.12]
Выбор оптимального размера кадра, передаваемого по сети
Чем надёжней сеть и чем меньше помех, тем больше можно выбирать размер кадра. Кадр – это во что вкладывается пакет и служебная информация, если что.
- вероятность ошибочной передачи кадра.
- вероятность ошибочной передачи бита,
, от
до
(самое крутое).
- количество бит, которые расположены между двумя ошибочными битами.
Полезная производительность сети
, здесь
Номинальная производительность сети
,
Наша задача – максимизировать полезную производительность сети. Для этого надо взять первую производную по
(размеру пакета) от последнего выражения.
Главное, что величина
в битах, потому что
в битах. И
тоже получается в битах.
Пример. Найти размер кадра сети 100-BASE-TX, если
(1/бит).
(бит)
(байт). Значит, можно брать кадр 1500 байт (плюс служебные, естественно). А так как число намного больше, чем 1500, то можно передавать окно пакетов и без передачи квитанции.
Выбор маршрута прокладки кабеля шинной архитектуры
Метод основан на использовании алгоритма Краскала.
Порядок определения маршрута (работа алгоритма):
1) определяем множество узлов, через которое должен пройти шинный сегмент (или луч);
2) определяем расстояние между теми узлами, где можно проложить кабель. То есть, формируем матрицу расстояний;
3) формируем очередь, элементами которой являются расстояния между узлами сети. Очередь формируется таким образом, что в её начале находятся узлы, между которыми расстояние наименьшее, а по мере продвижения к концу очереди расстояния между узлами увеличиваются;
4) просматриваем очередь от самого начала и последовательно выбираем из этой очереди длины лучей, формируя маршрут прокладки кабеля минимальной длины. Если луч нас устраивает, то мы включаем его в маршрут, а если нет – то нет.
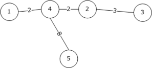
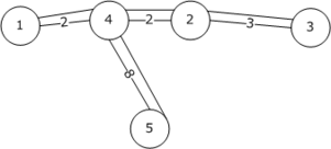
Пример. Есть узлы, решаем:
1) множество узлов:
2) матрица расстояний:
| № | 1 | 2 | 3 | 4 | 5 |
| 1 | * | 2 | 7 | 4 | 2 |
| 2 | * | 4 | 10 | 7 | |
| 3 | * | 4 | 5 | ||
| 4 | * | 3 | |||
| 5 | * |
она симметричная.
3) формируем очередь:
4) маршрут:
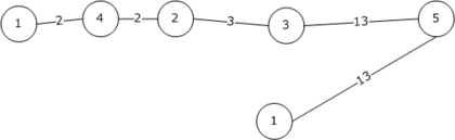
А вот, например, поменяем местами узлы
и
Тогда маршрут будет:
То есть, мы можем менять местами узлы, имеющие одинаковую длину.
Выбор маршрута прокладки кабеля кольцевой архитектуры
Используемые методы:
1) метод "иди в ближний узел":
- определяем множество узлов, через которое должен пройти кабель кольца;
- определяем расстояние между узлами, формируем матрицу расстояний;
- формируем очередь, элементы которой – расстояния между узлами. В начале очереди – лучи с минимальными расстояниями, а дальше по возрастающей;
- просматриваем всю очередь и формируем маршрут прокладки.
Узлы:
Матрица:
| № | 1 | 2 | 3 | 4 | 5 |
| 1 | * | 4 | 6 | 2 | 13 |
| 2 | * | 3 | 2 | 13 | |
| 3 | * | 5 | 13 | ||
| 4 | * | 8 | |||
| 5 | * |
Строим очередь:
,
,
,
,
,
,
,
,
,
Между любыми двумя узлами должна быть только одна дуга. Получилось:
2) метод Прима-Эйлера:
- определяем множество узлов сети;
- определяем расстояния между узлами сети, формируем матрицу расстояний;
- с помощью алгоритма Прима строим остовое дерево;
- стоим мультиграф (каждой дуге в этом дереве сопоставляем идентичную дугу);
- выбираем в полученном мультиграфе маршрут Эйлера (при котором один узел принимаем за базовый, последовательно проходим по всем дугам и удаляем повторно встречающиеся узлы в мультиграфе).
Первые два пункта такие же. Строим остовное дерево:
Мультиграф:
3) метод Литтла:
- найти минимальный элемент в каждой строке и вычесть его из каждого элемента;
- найти минимальный элемент в каждом столбце и вычесть его из каждого элемента;
- для каждого нулевого элемента вычесть сумму минимальных элементов по строке и столбцу;
- выбираем максимальный и исключаем из матрицы расстояний дугу, связывающую его узлы;
исходная:
| № | 1 | 2 | 3 | 4 | 5 |
| 1 | * | 4 | 6 | 2 | 13 |
| 2 | 4 | * | 3 | 2 | 13 |
| 3 | 6 | 3 | * | 5 | 13 |
| 4 | 2 | 2 | 5 | * | 8 |
| 5 | 13 | 13 | 13 | 8 | * |
после строки:
| № | 1 | 2 | 3 | 4 | 5 |
| 1 | * | 2 | 4 | 0 | 11 |
| 2 | 2 | * | 1 | 0 | 11 |
| 3 | 3 | 0 | * | 2 | 10 |
| 4 | 0 | 0 | 3 | * | 6 |
| 5 | 5 | 5 | 5 | 0 | * |
после столбца:
| № | 1 | 2 | 3 | 4 | 5 |
| 1 | * | 2 | 3 | 0 | 5 |
| 2 | 2 | * | 0 | 0 | 5 |
| 3 | 3 | 0 | * | 2 | 4 |
| 4 | 0 | 0 | 2 | * | 0 |
| 5 | 5 | 5 | 4 | 0 | * |
после нулевых:
- максимальный, исключаем 4 строку и 5 столбец
| № | 1 | 2 | 3 | 4 |
| 1 | * | 2 | 3 | 0 |
| 2 | 2 | * | 0 | 0 |
| 3 | 3 | 0 | * | 2 |
| 5 | 5 | 5 | 4 | * |
Элемент 54 = *.
И с этой матрицей теперь всё то же самое. В конце получится вот что:
| № | 1 | 2 | 3 | 4 |
| 1 | * | 2 | 3 | 0 |
| 2 | 1 | * | 3 | 0 |
| 3 | 2 | 0 | * | 2 |
| 5 | 0 | 1 | 0 | * |
Опять для всех нулей находим и выбираем максимальный. Тут будет
.
И так далее. В конце останутся дуги (4,5), (3,2), (1,4), (2,1) и (5,3).
Характеристики
Тип файла документ
Документы такого типа открываются такими программами, как Microsoft Office Word на компьютерах Windows, Apple Pages на компьютерах Mac, Open Office - бесплатная альтернатива на различных платформах, в том числе Linux. Наиболее простым и современным решением будут Google документы, так как открываются онлайн без скачивания прямо в браузере на любой платформе. Существуют российские качественные аналоги, например от Яндекса.
Будьте внимательны на мобильных устройствах, так как там используются упрощённый функционал даже в официальном приложении от Microsoft, поэтому для просмотра скачивайте PDF-версию. А если нужно редактировать файл, то используйте оригинальный файл.
Файлы такого типа обычно разбиты на страницы, а текст может быть форматированным (жирный, курсив, выбор шрифта, таблицы и т.п.), а также в него можно добавлять изображения. Формат идеально подходит для рефератов, докладов и РПЗ курсовых проектов, которые необходимо распечатать. Кстати перед печатью также сохраняйте файл в PDF, так как принтер может начудить со шрифтами.
















