Курсовая - Клюшин (1027723), страница 2
Текст из файла (страница 2)
P(,0)=0.001351
mt=151.213 ч.
Среднее время безотказной работы получилось примерно в 3,2 раза меньше заданного. Вероятность что система будет работать по истечении заданного времени равна 0.001351.
По сравнению с нагруженным резервом увеличилось среднее время безотказной работы системы. Это вызвано тем, что резервные элементы работают в недогруженном режиме и меньше подвержены отказу.
Система с ненагруженным резервом
Основными являются элементы 1 – 5, резервными – 6-8.
За состояния системы примем количество неисправных элементов системы, тогда граф состояний системы примет следующий вид:
Состояния 0~3 – рабочие;
Состояние 4 – отказовое.
Для определения вероятности безотказной работы составим систему дифференциальных уравнений, соответствующих состояниям системы. Для решения системы дифференциальных уравнений воспользуемся прямым и обратным преобразованиями Лапласа.
Р
езультат применения прямого преобразования:
Начальные условия: P0(0)=1, P1(0)=0, P2(0)=0, P3(0)=0, P4(0)=0.
Применим преобразование Лапласа к левой и правой частям уравнений полученной системы:
Преобразуем систему:
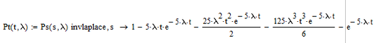
Применим к последнему элементу обратное преобразование Лапласа:
Вероятность безотказной работы системы: P(t)=1 – P3(t)
Подставив заданные значения λ=0.005, t=480, получим:
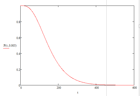
Зависимость вероятности безотказной работы от времени работы системы имеет следующий вид:
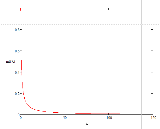
Зависимость вероятности безотказной работы от интенсивности отказов основных элементов () имеет следующий вид:
Среднее время безотказной работы системы.
Подставив заданные значения λ=0.005, получим:
Зависимость среднего времени безотказной работы от интенсивности отказов имеет следующий вид:
Выводы.
Из полученных графиков следует, что с увеличением времени работы системы уменьшается вероятность ее безотказной работы. С увеличением интенсивности отказов элементов также уменьшается вероятность безотказной работы системы.
С увеличением интенсивности отказов уменьшается также среднее время безотказной работы.
Для заданных значений t=480 ч. и = 5 * 10-3 были получены следующие значения критериев надежности системы:
P()=0.002292
mt=160 ч.
Среднее время безотказной работы получилось в 3 раза меньше заданного. Вероятность того что система будет работоспособна по истечение заданного времени равна 0.002292.
По сравнению с частично нагруженным резервом еще увеличилось среднее время безотказной работы системы. Причина в том, что резервные элементы вообще не нагружены.
Сравнение характеристик невосстанавливаемой системы, с различным типом резервирования
Сопоставление систем удобно провести с помощью сравнительных графиков:
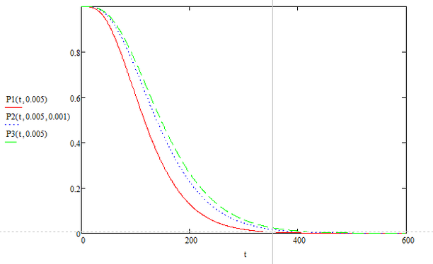
Зависимость вероятности безотказной работы от времени работы системы:
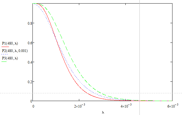
Зависимость вероятности безотказной работы от интенсивности отказов основных элементов () имеет следующий вид:
Зависимость среднего времени безотказной работы от интенсивности отказов основных элементов имеет следующий вид:
| Система с горячим резервом | Система с теплым резервом | Система с холодным резервом | |
| Вероятность безотказной работы | 0.000272 | 0.001351 | 0.002292 |
| Среднее время безотказной работы системы (ч) | 126.905 | 151.213 | 160.000 |
Выводы
Лучшими показателями надежности из всех рассмотренных выше систем обладает система с холодным и тёплым резервом. Система с горячим резервом обладает наихудшими показателями при заданных значениях t=480 ч., = 5 * 10-3 и 0=1 * 10-3.
Восстанавливаемая резервированная система с дробной кратностью
| Вариант | Типы систем | t[час] | [1/час] | [1/час] | 0[1/час] | W | S |
| 4 | 3абв, 8абв | 480 | 5*10-3 | 2 | 1*10-3 | 5 | 3 |
Система с нагруженным резервом
Расчетно-логическая схема системы:
За состояния системы примем количество неисправных элементов системы, будем считать, что в системе одно восстанавливающее устройство, тогда граф состояний системы примет следующий вид
Состояния 0~3 – рабочие;
Состояние 4 – отказовое.
Для определения вероятности безотказной работы составим систему дифференциальных уравнений, соответствующих состояниям системы, исключив переход из отказового состояния в предотказовое:
В начальный момент времени все элементы системы находяться в работоспособном состоянии:
P0(0)=1
P1(0)=0
P2(0)=0
P3(0)=0
P4(0)=0
При расчете методом дифференциальных уравнений, после применения прямого преобразования Лапласа при начальных условиях система принимает вид:
Или, что то же самое:
После применения обратного преобразования Лапласа и подстановки значений: =0.005 =2 можно получить выражения для P0(t), P1(t), P2(t) и P3(t)
Вероятность безотказной работы.
Функцию вероятности безотказной работы системы, в силу наличия одного состояния отказа и нормировочного условия, можно записать следующим образом
Для значений t=2000 =0.06 =1, получается следующее значение
Зависимость вероятности безотказной работы от времени:
Зависимость вероятности безотказной работы от интенсивности отказов:
Pm - вероятность безотказной работы при
= 0.05 1/ч
P - вероятность безотказной работы при
= 0.06 1/ч
Pb - вероятность безотказной работы при
= 0.07 1/ч
Зависимость вероятности безотказной работы от интенсивности восстановления:
Pm - вероятность безотказной работы при = 0.5 1/ч
P - вероятность безотказной работы при = 1 1/ч
Pb - вероятность безотказной работы при = 1.5 1/ч
Среднее время безотказной работы.
Среднее время безотказной работы:
Для заданных значений
= 0.06 1/ч и
= 1 1/ч:
m = 72
С увеличением интенсивности отказов среднее время безотказной работы уменьшается (
= 1 1/ч):
С увеличением интенсивности восстановления среднее время безотказной работы не меняется (
= 0.06 1/ч):
Коэффициент готовности.
Нахождение коэффициента готовности системы можно осуществить двумя способами - путем составления дифференциальных уравнений на основании графа состояния системы и методом Половко.
Нахождение Кг методом дифференциальных уравнений
Для графа состояний рассматриваемой системы (см. п. 3.1.2.) система дифференциальных уравнений имеет вид:
В начальный момент времени все элементы системы находятся в работоспособном состоянии:
Если предположить, что потоки стационарны, то есть
= 0,
,
=const, то можно получить следующую систему:
Тогда, исключая, например, третью строку как линейно зависимую от двух первых и четвёртой, можно получить следующую систему уравнений:
Представим в другом виде:
Откуда:
Для заданных значений
= 0.06 1/ч и
= 1 1/ч вероятности нахождения системы в каждом из состояний принимают следующие значения:
P0 = Кг0 = 0.669
P1 = Кг1 = 0.241
P2 = Кг2 = 0.072
Кг = P0 + P1 + P2 = 0.983
Нахождение Кг методом Половко:
Значения Кг, полученный методом Половко, совпадает с предыдущим расчетным, что подтверждает правильность его нахождения.
Зависимость коэффициента готовности системы от интенсивности отказов:
















