Курсовая - Клюшин (1027723), страница 3
Текст из файла (страница 3)
Зависимость коэффициента готовности системы от интенсивности восстановления:
Наработка на отказ:
Для заданных значений: Кг(
,
) = 0.983,
= 1 1/ч
Зависимость времени наработки на отказ от интенсивности отказов:
Зависимость времени наработки на отказ от интенсивности восстановления:
Среднее время восстановления системы:
=P/, для
= 1 1/ч
= 4.746*10^-13 ч.
Зависимость среднего времени восстановления системы от интенсивности восстановления:
Вероятность успешного использования системы:
Для заданных значений Кг = 0.983 и Pсист = 4.746*10^-13
R(t) = 4.746*10^-13
Зависимость вероятности успешного использования системы от времени:
Зависимость вероятности успешного использования системы от интенсивности отказов:
Rm - вероятность успешного использования системы при
= 0.05 1/ч
R - вероятность успешного использования системы при
= 0.06 1/ч
Rb - вероятность успешного использования системы при
= 0.07 1/ч
Зависимость вероятности успешного использования системы от интенсивности восстановления:
Rm - вероятность успешного использования системы при
= 0.5 1/ч
R- вероятность успешного использования системы при
= 1 1/ч
Rb - вероятность успешного использования системы при
= 1.5 1/ч
Выводы.
Из полученных в графиков следует, что с увеличением времени работы системы уменьшается вероятность ее безотказной работы.
С увеличением интенсивности отказов уменьшается вероятность безотказной работы системы.
С увеличением интенсивности восстановления увеличивается вероятность безотказной работы системы.
Для заданных значений t = 2000 ч,
= 0.06 1/ч и
= 1 1/ч Pсист = 4.746*10^-13
С увеличением интенсивности отказов уменьшается среднее время безотказной работы.
При увеличении интенсивности восстановления среднее время безотказной работы увеличивается по линейному закону.
Для заданных значений
= 0.06 1/ч и
= 1 1/ч среднее время безотказной работы mt = 72 ч. Что много меньше заданного времени работы системы.
При увеличении интенсивности отказов коэффициент готовности системы уменьшается.
При увеличении интенсивности восстановления коэффициент готовности системы увеличивается.
Для заданных значений
= 0.06 1/ч и
= 1 1/ч Kг = 0.983.
При увеличении интенсивности отказов наработка на отказ уменьшается.
При увеличении интенсивности восстановления наработка на отказ увеличивается.
При заданных значениях интенсивности восстановления
= 1 1/ч и интенсивности отказов
= 0.06 1/ч наработка на отказ составляет 56.5 ч., что много меньше заданного значения t = 2000 ч.
При увеличении интенсивности восстановления среднее время восстановления уменьшается: чем больше интенсивность восстановления, тем быстрее восстанавливается система. Графиком зависимости среднего времени восстановления от интенсивности восстановления является гипербола. Для заданных значений
= 4.746*10^-13 ч.
С увеличением времени работы системы уменьшается вероятность ее успешного использования.
С увеличением интенсивности отказов уменьшается вероятность успешного использования системы.
С увеличением интенсивности восстановления увеличивается вероятность успешного использования системы.
Для заданных значений t = 2000 ч,
= 0.06 1/ч и
= 1 1/ч R(t) = 4.746*10^-13.
C частично нагруженным резервом.
Расчетно-логическая схема системы:
За состояния системы примем количество неисправных элементов системы, будем считать, что в системе одно восстанавливающее устройство, тогда граф состояний системы примет следующий вид
Состояния 0~2 – рабочие;
Состояние 3 – отказовое.
Для определения вероятности безотказной работы составим систему дифференциальных уравнений, соответствующих состояниям системы, исключив переход из отказового состояния в предотказовое:
В начальный момент времени все элементы системы находятся в работоспособном состоянии:
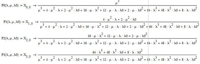
При расчете методом дифференциальных уравнений, после применения прямого преобразования Лапласа при начальных условиях система принимает вид:
Или, что то же самое:
Отсюда:
После применения обратного преобразования Лапласа и подстановки значений: =0.005 =0.5 можно получить выражения для P0(t), P1(t), P2(t), P3(t) и P4(t)
0
Вероятность безотказной работы.
Функцию вероятности безотказной работы системы, в силу наличия одного состояния отказа и нормировочного условия, можно записать следующим образом
Для значений t=2000 =0.06 =1, получается следующее значение
P(t)= 1.77*10^-8
Зависимость вероятности безотказной работы от времени:
P1m - вероятность безотказной работы при
= 0.05 1/ч
P - вероятность безотказной работы при
= 0.06 1/ч
P1b - вероятность безотказной работы при
= 0.07 1/ч
Зависимость вероятности безотказной работы от интенсивности отказов запасных элементов:
P2m - вероятность безотказной работы при
0 = 0.004 1/ч
P - вероятность безотказной работы при
0 = 0.005 1/ч
P2b - вероятность безотказной работы при
0 = 0.006 1/ч
Зависимость вероятности безотказной работы от интенсивности восстановления:
P3m - вероятность безотказной работы при = 0.8 1/ч
P - вероятность безотказной работы при = 1 1/ч
P3b - вероятность безотказной работы при = 1.2 1/ч
Среднее время безотказной работы.
Среднее время безотказной работы:
Для заданных значений
= 0.06 1/ч,
0 = 0.005 1/ч и
= 1 1/ч:
m= 113.608
С увеличением интенсивности отказов основных элементов среднее время безотказной работы уменьшается (
= 1 1/ч,
0 = 0.005 1/ч ):
С увеличением интенсивности восстановления среднее время безотказной работы увеличивается (
= 0.06 1/ч,
0 = 0.005 1/ч ):
С увеличением интенсивности отказов запасных элементов среднее время безотказной работы уменьшается (
= 0.06 1/ч,
= 1 1/ч):
Коэффициент готовности.
Нахождение коэффициента готовности системы можно осуществить двумя способами - путем составления дифференциальных уравнений на основании графа состояния системы и методом Половко.
Нахождение Кг методом дифференциальных уравнений
Для графа состояний рассматриваемой системы (см. п. 3.1.2.) система дифференциальных уравнений имеет вид:
В начальный момент времени все элементы системы находятся в работоспособном состоянии:
Если предположить, что потоки стационарны, то есть
= 0,
,
,
0=const, то можно получить следующую систему:
Тогда, исключая, например, третью строку как линейно зависимую от двух первых и четвертой, можно получить следующую систему уравнений:
Представим в другом виде:
Откуда:
Для заданных значений
= 0.005 1/ч ,
0 = 0.0005 1/ч и
= 0.5 1/ч вероятности нахождения системы в каждом из состояний принимают следующие значения:
P0 = Кг0 = 0.754
P1 = Кг1 = 0.188
P2 = Кг2 = 0.046
P3 = Кг3 = 0.011
Кг = P0 + P1 + P2 = 0.9889
Нахождение Кг методом Половко:
Кг = P0 + P1 + P2 = 0.9889
Значения Кг, полученный методом Половко, совпадает с предыдущим расчетным, что подтверждает правильность его нахождения.
Зависимость коэффициента готовности системы от интенсивности отказов основных элементов.
Зависимость коэффициента готовности системы от интенсивности отказов резервных элементов.
















