КГ_4глава (1024110)
Текст из файла
Методы и алгоритмы трехмерной графики
Понятие "трехмерная графика" в настоящее время можно считать наиболее распространенным для обозначения темы, которую мы рассмотрим (в литературе название часто сокращается до "ЗВ-графики"). Однако необходимо отметить, что такое название не совсем точно, ибо речь пойдет о создании изображения на плоскости, а не в объеме. Истинно трехмерные способы отображения пока что не достаточно широко распространены.
4.1. Модели описания поверхностей
Рассмотрим, как можно представлять форму трехмерных объектов в системах КГ. Для описания формы поверхностей могут использоваться разнообразные методы. Сделаем обзор некоторых из них.
Аналитическая модель
Аналитической моделью будем называть описание поверхности математическими формулами. В КГ можно использовать много разновидностей такого описания. Например, в виде функции двух аргументов z = f(х, у). Можно использовать уравнение F (х, у, z) = 0.
Зачастую используется параметрическая форма описания поверхности. Запишем формулы для трехмерной декартовой системы координат (х, у, z):
где s » t— параметры, которые изменяются в определенном диапазоне, функции Fx, Fy и Fz будут определять форму поверхности.
Преимущества параметрического описания — легко описывать поверхности которые отвечают неоднозначным функциям, замкнутые поверхности. Описание можно сделать таким образом, что формула не будет существенно изменяться при поворотах поверхности, масштабировании.
В качестве примера рассмотрим аналитическое описание поверхности шар. Сначала как функцию двух аргументов:
А также в параметрической форме:
Для описания сложных поверхностей часто используют сплайны. Сплайн — это специальная функция, более всего пригодная для аппроксимации отдельных фрагментов поверхности. Несколько сплайнов образовывают модель сложной поверхности. Другими словами, сплайн — эта тоже поверхность, но такая, для которой можно достаточно просто вычислять координаты ее точек, Обычно используют кубические сплайны. Почему именно кубические? Потому, что третья степень — наименьшая из степеней, позволяющих описывать любую форму, и при стыковке сплайнов можно обеспечить непрерывную первую производную — такая поверхность будет без изломов в местах стыка. Сплайны часто задают параметрически. Запишем формулу для компоненты x(s,t) кубического сплайна в виде многочлена третьей степени параметров s и t
В математической литературе можно ознакомиться со способами определения коэффициентов aij для сплайнов, которые имеют заданные свойства. Примеры анализа и синтеза сплайнов в матричной форме приведены в П9, 281.
Рассмотрим одну из разновидностей сплайнов— сплайн Безье. Приведем его сначала в обобщенной форме — степени т х п [19]:
где Рij — опорные точки-ориентиры,
коэффициенты бинома Ньютона, они рассчитываются по формуле:
Кубический сплайн Безье соответствует значениям т = 3, п = 3. Для его определения необходимо 16 точек-ориентиров Рij (рис. 4.1); коэффициенты Сim Сjn равны 1,3,3,1 при i,j = 0,1,2,3.
Рис. 4.1. Кубические сплайны Безье
Характеризуя аналитическую модель в целом, можно сказать, что эта модель наиболее пригодна для многих операций анализа поверхностей. С позиций КГ можно указать такие положительные черты модели: легкая процедура расчета координат каждой точки поверхности, нормали; небольшой объем информации для описания достаточно сложных форм.
К недостаткам относятся следующие: сложные формулы описания с использованием функций, которые медленно вычисляются на компьютере, снижают скорость выполнения операций отображения; невозможность в большинстве случаев применения данной формы описания непосредственно для построения изображения поверхности. В таких случаях поверхность отображают как многогранник, используя формулы аналитического описания для расчета ко-
ординат вершин граней в процессе отображения, что уменьшает скоро! сравнительно с полигональной моделью описания.
Векторная полигональная модель
Для описания пространственных объектов здесь используются такие элементы: вершины; отрезки прямых {векторы); полилинии, полигоны; полигононые поверхности (рис. 4.2).
Элемент "вершина" (vertex) — главный элемент описания, все другие являются производными. При использовании трехмерной декартовой системы координаты вершин определяются как (хi, уi, zi) Каждый объект однозначно определяется координатами собственных вершин.
Рис. 4.2. Базовые элементы векторно-полигональной модели
Вершина может моделировать отдельный точечный объект, размер которой не имеет значения, а также может использоваться в качестве конечных точёк для линейных объектов и полигонов. Двумя вершинами задается вектор. Н^ сколько векторов составляют полилинию. Полилиния может моделировать отдельный линейный объект, толщина которого не учитывается, а также может представлять контур полигона. Полигон моделирует площадный объект. Один полигон может описывать плоскую грань объемного объекта. Несколько граней составляют объемный объект в виде полигональной поверхности— многогранник или незамкнутую поверхность (в литературе часта употребляется название "полигональная сетка").
Векторную полигональную модель можно считать наиболее распространен! ной в современных системах трехмерной КГ. Ее используют в системах автоматизированного проектирования, в компьютерных играх и тренажерах* в САПР, геоинформационных системах и тому подобное.
Обсудим структуры данных, которые используются в векторной полигональной модели. В качестве примера объекта будет куб. Рассмотрим, как можно; организовать описание такого объекта в структурах данных.
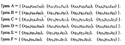
I Первый способ. Сохраняем все грани в отдельности (рис. 4.3).
Рис. 4.3. Первый способ описания куба
Схематично это изобразим на рис. 4.4.
Рис. 4.4. Отдельные грани
В компьютерной программе такой способ описания объекта можно реализовать разнообразно. Например, для каждой грани открыть в памяти отдельный массив. Можно все грани записывать в один массив-вектор. А можно использовать классы (языком C++) как для описания отдельных граней, так и объектов в целом. Можно создавать структуры, которые объединяют тройки (х, у, z), или сохранять координаты отдельно. В значительной мере это относится уже к компетенции программиста, зависит от его вкуса. Принципиально это мало что изменяет — так или иначе в памяти необходимо сохранять координаты вершин граней плюс некоторую информацию в качестве накладных затрат.
Рассчитаем объем памяти, необходимый для описания куба следующим образом:
где Рв — разрядность чисел, необходимая для представления координат.
Шесть граней здесь описываются 24 вершинами. Такое представление избыточно — каждая вершина записана трижды. Не учитывается то, что у граней есть общие вершины.
Второй способ описания. Для такого варианта координаты восьми вершин сохраняются без повторов. Вершины пронумерованы (рис. 4.5), а каждая грань дается в виде списка индексов вер
шин (указателей на вершины).
Рис. 4.5. Номера вершин
Рис. 4.6. В массивах граней сохраняются индексы вершин Оценим затраты памяти:
где Рв — разрядность координат вершин, Риндекс — разрядность индексов.
Третий способ описания (рис. 4.7). Этот способ (в литературе его иногда называют линейно-узловой моделью) основывается на иерархии: вершины-ребра-грани.
Оценим затраты памяти:
где Рв — разрядность координат,
разрядность индексов вершин и ребер соответственно.
Рис. 4.7. Линейно-узловая модель
Для сравнения объемов памяти этих трех вариантов необходимо определиться с разрядностью данных. Предположим, что разрядность координат и индексов составляет четыре байта. Это соответствует, например, типу чисел с плавающей точкой float для координат и целому типу long для индексов (названия этих типов на компьютерном языке С, C++). Тогда затраты памяти в байтах составляют:
Пусть для координат отведено 8 байтов (тип с плавающей точкой double), a для индексов — 4 байта. Тогда:
Когда разрядность для координат больше, чем для индексов, то ощутимо преимущество второго и третьего вариантов. Наиболее экономичным можно считать второй вариант. Необходимо заметить, что такой вывод мы сделали для куба. Для других типов объектов соотношение вариантов может быть иным. Кроме того, необходимо учитывать такие варианты построения структур данных: использован ли единый массив для всех объектов, или же для каждого объекта предназначен отдельный массив (при объектно-ориентированном стиле программирования каждый объект можно сохранять в отдельном классе). Это может обуславливать разную необходимую разрядность для индексов.
А теперь сравним эти три разновидности векторной полигональной модели, учитывая другие аспекты.
Скорость вывода полигонов. Если для полигонов необходимо рисовать линию контура и точки заполнения, то первый и второй варианты близки по быстродействию — и контуры, и заполнения рисуются одинаково. Отличия в том, что для второго варианта сначала надо выбирать индекс вершины, что замедляет процесс вывода. В обоих случаях для смежных граней повторно рисуется общая часть контура. Для третьего варианта можно предусмотреть более совершенный способ рисования контура — каждая линия будет рисоваться только один раз, если в массивах описания ребер предусмотреть бит, означающий, что это ребро уже нарисовано. Это обуславливает преимущества третьего варианта по быстродействию.
Характеристики
Тип файла документ
Документы такого типа открываются такими программами, как Microsoft Office Word на компьютерах Windows, Apple Pages на компьютерах Mac, Open Office - бесплатная альтернатива на различных платформах, в том числе Linux. Наиболее простым и современным решением будут Google документы, так как открываются онлайн без скачивания прямо в браузере на любой платформе. Существуют российские качественные аналоги, например от Яндекса.
Будьте внимательны на мобильных устройствах, так как там используются упрощённый функционал даже в официальном приложении от Microsoft, поэтому для просмотра скачивайте PDF-версию. А если нужно редактировать файл, то используйте оригинальный файл.
Файлы такого типа обычно разбиты на страницы, а текст может быть форматированным (жирный, курсив, выбор шрифта, таблицы и т.п.), а также в него можно добавлять изображения. Формат идеально подходит для рефератов, докладов и РПЗ курсовых проектов, которые необходимо распечатать. Кстати перед печатью также сохраняйте файл в PDF, так как принтер может начудить со шрифтами.
















