КГ_3глава (1024106), страница 2
Текст из файла (страница 2)
Рис. 3.3. Восьмисвязность
Известны также четырехсвязные алгоритмы (рис. 3.4).
Четырехсвязные алгоритмы проще, но они генерируют менее качественное изображение линий за большее количество тактов роботы. Для приведенного примера четырехсвязный алгоритм работает 10 тактов, а восьмисвязный —
только 7.
"Ail
Рис. 3.4. Четырехсвязность
3.2. Алгоритм вывода окружности
Для вывода контура круга можно использовать соотношение между координатами X и Y для точек круга X2 + Y2 = R2 и построить алгоритм прямого вычисления координат. Однако тогда необходимо вычислять квадратный корень, а это в цифровом компьютере выполняется медленно.
Дадим запись Инкрементного алгоритма Брезенхэма на языке C++:
В этом алгоритме использована симметрия круга— в основном цикле вычисляются координаты точек круга только для одного октанта и сразу рисуются восемь симметрично расположенных пикселов [33].
3.3. Алгоритм вывода эллипса
Инкрементный алгоритм для эллипса подобен алгоритму для круга, но более сложный. Этот алгоритм приведен в [33].
В этом алгоритме использована симметрия эллипса по квадрантам (рис. 3.5). Алгоритм состоит из двух циклов. Сначала от х=0 до x=dxt, где
а потом цикл до точки х =а, у = 0.
Рис. 3.5. Вывод эллипса
3.4. Кривая Безье
Разработана математиком Пьером Безье. Кривые и поверхности Безье были использованы в 60-х годах компанией "Рено" для компьютерного проектирования формы кузовов автомобилей. В настоящее время они широко используются в компьютерной графике.
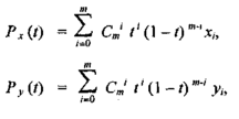
Кривые Безье описываются в параметрической форме:
Значение t выступает как параметр, которому отвечают координаты отдельной точки линии. Параметрическая форма описания может быть более удобной для некоторых кривых, чем задание в виде функции у=f(х). Это потому, что функция f(х) может быть намного сложнее, чем Px(t) и Py(i), кроме того, f(x) может быть неоднозначной.
Многочлены Безье для Рх и Ру имеют такой вид:
где Сmi— сочетание т по i (известное также по биному Ньютона), Сmi = m! /( i! (т - i)!), а хi, и уi, — координаты точек-ориентиров P i. Значение т можно рассматривать и как степень полинома, и как значение, которое на единицу меньше количества точек-ориентиров.
Рассмотрим кривые Безье, классифицируя их по значениям т.
m = 1 (no двум точкам).
Кривая вырождается в отрезок прямой линии, определяемый концевыми точками Ро
и Р1, как показано на рис. 3.6.
Рис. 3.6. Кривая Безье (т = 1) т = 2 (по трем точкам, рис. 3.7)
Рис. 3.7. Кривая Безье (т=2)
m = 3 (по четырем точкам, кубическая, рис. 3.8). Используется довольно часто, в особенности
в сплайновых кривых.
Рис. 3.8. Кубические кривые Безье (т = 3)
Геометрический алгоритм для кривой Безье
Этот алгоритм позволяет вычислить координаты (x, у) точки кривой Безье по значению параметра t. Алгоритм описан в [19].
1. Каждая сторона контура многоугольника, проходящего по точкам-ориентирам, делится пропорционально значению t.
2. Точки деления соединяются отрезками прямых и образуют новый многоугольник. Количество узлов нового контура на единицу меньше, чем количество узлов предыдущего контура.
3. Стороны нового контура снова делятся пропорционально значению t. И так далее. Это продолжается до тех пор, пока не будет получена единственная точка деления. Эта точка и будет точкой кривой Безье (рис. 3.9).
Рис. 3.9. Геометрический алгоритм для кривых Безье
Приведем запись геометрического алгоритма на языке C++:
for ( i = 0; i <= m; i++)
R[i] = P[i]; //формируем вспомогательный массив R[ ] for ( j = m; j > 0; j - -) for ( i = 0; i < j; i++)
R[i] = R[i] + t * (R[i+1] - R[i]);
Результат работы алгоритма— координаты одной точки кривой Безье — записываются в R[0].
3.5. Алгоритмы вывода фигур
Фигурой здесь будем считать плоский геометрический объект, который состоит из линий контура и точек, которые содержатся внутри контура.
В общем случае линий контура может быть несколько — когда объект имеет внутри пустоты. В этом случае для описания таких фигур необходимы два и более контуров (рис. 3.10).
Диагональное расположение можно получить, если сдвигать четные строки ячеек (рис. ] .44).
Координаты пикселов ячеек можно вычислять следующим образом:
Для того чтобы получить диагональную структуру растра подобную той, что используется для печати газет, можно использовать квадратное расположение ячеек другого типа (рис. 1.45).
Рис. 1.44. Пример диагонального размещения ячеек
Рис. 1.45. Еще один пример диагональной структуры
Вы, наверное, уже заметили, что для всех приведенных выше примеров дизеринга ячейки образовывают точки переменного размера с постоянным шагом. Однако часто используется иной подход— переменная густота расположения точек постоянного размера. Такой способ получил название частотной модуляции (ЧМ) (рис. 1.46).
Рис. 1.46. ЧМ-ячейки 6*6
Положительная черта способа ЧМ — меньшая заметность структуры растра. Однако его использование затруднено в случае, когда размер пикселов больше, чем их шаг. Начиная с определенной густоты, пикселы смыкаются. Кроме того, на дискретном растре невозможно обеспечить плавное изменение густоты (частоты), в особенности для ячеек небольшого размера. Рассмотрим пример ячеек 5 ><5, реализующих ЧМ-дизеринг (рис. 1.47).
Рис. 3.10. Пример фигуры
В некоторых графических системах одним объектом может считаться и более сложная многоконтурная фигура — совокупность островов с пустотами.
Графический вывод фигур разделяется на две задачи: вывод контура и вывод точек заполнения. Поскольку контур представляет собой линию, то вывод контура проводится на основе алгоритмов вывода линий. В зависимости от сложности контура, это могут быть отрезки прямых, кривых или произвольная последовательность соседних пикселов.
Для вывода точек заполнения известны методы, разделяющиеся в зависимости от использования контура на два типа— алгоритмы закрашивания от внутренней точки к границам произвольного контура и алгоритмы, которые используют математическое описание контура.
Алгоритмы закрашивания
Рассмотрим алгоритмы закрашивания произвольного контура, который уже нарисован в растре. Сначала находится пиксел внутри контура фигуры. Цвет этого пиксела изменяем на нужный цвет заполнения. Потом проводится анализ цветов всех соседних пикселов. Если цвет некоторого соседнего пиксела не равен цвету границы контура или цвету заполнения, то цвет этого пиксела изменяется на цвет заполнения. Потом анализируется цвет пикселов, соседних с предыдущими. И так далее, до тех пор, пока внутри контура все пикселы не перекрасятся в цвет заполнения.
Пикселы контура — это граница, за которую нельзя выходить в ходе последовательного перебора всех соседних пикселов. Соседними могут считаться только четыре пиксела (справа, слева, сверху и снизу — четырехсвязность), или все восемь пикселов (восьмисвязность). Не всякий контур может служить границей закрашивания (рис. 3.11).
Простейший алгоритм закрашивания. Для всех алгоритмов закрашивания нужно задавать начальную точку внутри контура с координатами х0, у0 - Простейший алгоритм можно описать так [32]:
Рис. 3.11. Особенности восьмисвязного закрашивания Функцию закрашивание () определим так:
Такое определение функции является рекурсивным. Рекурсия позволяет упростить запись некоторых алгоритмов. Но для этого алгоритма рекурсия порождает существенные проблемы — рекурсивные вызовы функции закрашивание () делаются для каждого пиксела, что обычно приводит к переполнению стека в ходе выполнения компьютерной программы. Практика показывает, что этот алгоритм неприемлем для фигур площадью в тысячу и больше пикселов.
Можно построить подобный алгоритм и без рекурсии, если вместо стека компьютера использовать отдельные массивы. Тогда стек не переполняется.
Волновой алгоритм закрашивания. Алгоритм был разработан авторами работы [38] и предназначался для расчета центра тяжести объектов по соответствующим изображениям. Идея была навеяна волновым алгоритмом поиска трассы на графе, известным в САПР электронных схем. Суть подобных алгоритмов состоит в том, что для начальной точки (вершины на графе) находятся соседние точки (другие вершины), которые отвечают двум условиям: во-первых — эти вершины связаны с начальной; во-вторых — эти вершины еще не отмечены, то есть они рассматриваются впервые. Соседние вершины
текущей итерации отмечаются в массиве описания вершин, и каждая из них становится текущей точкой для поиска новых соседних вершин в следующей итерации. Если в специальном массиве отмечать каждую вершину номером итерации, то когда будет достигнута конечная точка, можно совершить обратный цикл — от конечной точки к начальной по убыванию номеров итераций. В ходе обратного цикла и находятся все кратчайшие пути (если их несколько) между двумя заданными точками на графе. Подобный алгоритм можно также использовать, например, для поиска всех нужных файлов на диске. Относительно закрашивания растровых фигур, то здесь вершинами графа являются пикселы, а отметка пройденных пикселов делается прямо в растре цветом закрашивания. Как видим, это почти полностью повторяет идею предыдущего простейшего алгоритма, однако здесь мы не будем использовать рекурсию. Это обуславливает совсем другую последовательность обработки пикселов при закрашивании.
Запишем волновой алгоритм закрашивания на языке C++ с использованием графических функций API Windows.
Здесь цвет закрашивания и цвет контура — черный цвет (код 0). Пример работы алгоритма приведен на рис. 3.12.
От начальной точки распространяется волна пикселов закрашивания в виде ромба. В одном цикле onestep закрашиваются пикселы вдоль линии периметра ромба (или нескольких ромбов в зависимости от сложности фигуры). В качестве рабочих массивов для текущего сохранения координат пикселов фронтов волн использованы динамические массивы емкостью по 10 000 элементов. Максимальная емкость массивов обуславливается размерами контура и рассчитывается эмпирически.
Достаточно просто модифицировать приведенный алгоритм для случая отличающихся цветов контура и заполнения.
Необходимо заметить, что этот алгоритм не является самым быстрым из известных алгоритмов закрашивания, особенно если для его реализации использовать медленную функцию setPixel для рисования отдельных пикселов в программах для Windows. Большую скорость закрашивания обеспечивают алгоритмы, которые обрабатывают не отдельные пикселы, а сразу большие блоки из многих пикселов, которые образовывают прямоугольники или линии.
















