КГ_3глава (1024106), страница 5
Текст из файла (страница 5)
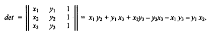
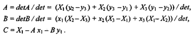
Для решения систем линейных уравнений известно множество способов. Используем способ, основанный на вычислении определителей. Решение первой системы для коэффициентов А, В и С можно записать в виде
определители detA, detB и detC получаются заменой соответствующих столбцов в det столбцом свободных членов
Если главный определитель равен нулю, то это означает, что решение системы невозможно. Это может быть, например, тогда, когда все три точки (x1, y1), (x2,, y2) и (х3, у3) располагаются вдоль прямой линии (грань видна с торца). Однако в этом случае рисовать текстуру и не нужно. Вычислить определитель третьей степени можно, например, по "правилу Саррюса" [3]. Для этого справа нужно дописать первые два столбца, а затем сложить (вычесть) произведения по диагоналям:
Вычислим главный определитель
Преобразуем выражение так, чтобы уменьшить число умножений:
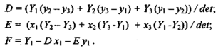
Аналогично вычисляются определители detA и detB. Определитель detC является самым сложным из всех. Но его вычислять не обязательно. Запишем решение системы в следующем виде:
Таким же способом решаем систему уравнений для D,E и F.
Заметьте, что здесь главный определитель det совпадает с определителем первой системы уравнений — для А, В и С.
Наложение текстур в перспективной проекции сложнее, чем для аксонометрической проекции. Рассмотрим рис. 3.27, на котором изображен текстурированный прямоугольник.
Рис. 3.27. Прямоугольник в различных проекциях
Прямоугольник в аксонометрической (параллельной) проекции всегда выглядит как параллелограмм, поскольку для этой проекции сохраняется параллельность прямых и отношение длин. В перспективной (центральной) проекции это уже не параллелограмм и не трапеция (в косоугольной — трапеция), поскольку параллельность и отношение длин здесь не сохраняются.
А что сохраняется? Как изображать плоские грани?
В этой книге мы рассматриваем проекции на плоскость. Для таких проекций
прямые линии остаются прямыми линиями, поэтому грани можно выводить как полигоны.
Здесь уместно вспомнить, как формируется изображение в некоторой проекции средствами компьютерной графики. Как уже нами было рассмотрено в главе 2, последовательность преобразований координат выглядит так:
Если считать, что точки текстуры должны соответствовать точкам на объекте, то координаты текстуры должны связываться с мировыми координатами. Однако поскольку для аксонометрической проекции в цепочке от мировых координат до экранных все преобразования линейны, то вполне допустимо связать координаты текстуры с экранными координатами одним аффинным преобразованием.
Для перспективной проекции так делать нельзя. Преобразование координат из видовых координат в координаты плоскости проецирования не линейно. Поэтому экранные координаты вначале следует преобразовать в такие, которые линейно связаны с мировыми — это могут быть, скажем, видовые. А затем видовые координаты (или непосредственно мировые) связать с координатами текстуры аффинным преобразованием, используя, например, метод трех точек.
Рассмотрим, как можно выводить в перспективной проекции полигон с текстурой. Будем использовать алгоритм заполнения полигона горизонтальными линиями, уже рассмотренный нами. На рис. 3.28 изображена одна из горизонталей (АВ). Вершины полигона (1-2-3-4) здесь заданы экранными двумерными
координатами. Для краткости изложения по-
ложим, что экранные координаты совпадают с ко- Рис. 3.28. Полигон ординатами в плоскости проецирования.
В ходе вывода полигона для связи с текстурой будем вычислять видовые координаты произвольной точки (Р) этого полигона. Для этого будем использовать в качестве базовой такую операцию: по известным видовым координатам концов отрезка находим видовые координаты точки отрезка, заданной координатами в плоскости проецирования.
Дня определения видовых координат X, Y, Z точки А должны быть известны видовые координаты концов отрезка (1-2). Тогда справедливы соотношения:
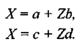
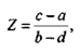
Выберем пропорцию, связывающую координаты X и Z. Тогда
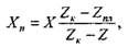
Теперь запишем для перспективной проекции соотношение между видовыми координатами произвольной точки и координатой Х„ в плоскости проецирования:
где Zk — это координата камеры (точки схода лучей проектирования), Zпл -координата плоскости проецирования. Перепишем это равенство так:
Теперь решим систему уравнений:
Решением системы будет:
после чего вычисляется X, например, по формуле Х= а + Zb. Для определения координаты Y достаточно заменить везде X на Y. Здесь можно отметить, что вычисление видовых координат (X, Y, Z) соответствует обратному проективному преобразованию.
Найдя видовые координаты точки А, мы можем точно так же вычислить видовые координаты и для точки В, лежащей на отрезке (3-4). Аналогично вычисляются видовые координаты точки Р.
Следует отметить, что, несмотря на то, что для преобразования координат необходимо вычислять дробно-линейные выражения, цикл вычислений можно сделать достаточно простым подобно Инкрементным алгоритмам. Сделаете это самостоятельно в виде упражнения.
Для точного наложения текстур на поверхности используются и более сложные преобразования координат. Некоторые из них нами будут рассмотрены в главе 5.
Одна из проблем наложения текстур заключается в том, что преобразование растровых образцов (повороты, изменение размеров и тому подобное) приводят к ухудшению качества растров. Повороты растра добавляют ступенчатость (aliasing); увеличение размеров укрупняет пикселы, а уменьшение размеров растра приводит к потере многих пикселов образца текстуры, появляется муар. Для улучшения текстурованных изображений используют метод; фильтрации (интерполяции) растров текстур [41, 47]. Также используются несколько образцов текстур для различных ракурсов показа (mipmaps) 4 компьютерная система во время отображения находит в памяти наиболее пригодный растровый образец.
Для использования текстур необходим достаточный объем памяти компьютера — количество растровых образцов может достигать десятков, сотен и более в зависимости от количества типов объектов и многообразия пространственных сцен. Чтобы как можно быстрее создавать изображение, необходимо сохранять текстуры в оперативной памяти.
Для экономии памяти, выделяемой для текстур, можно использовать блочное текстурирование. Текстура здесь уже не представляет всю грань целиком, лишь отдельный фрагмент, который циклически повторяется в грани. Эта напоминает процесс размножения рисунка кисти при закрашивании полигонов, рассмотренный нами в этом разделе
Разумеется, далеко не для всех объектов можно использовать такой способ отображения, однако, например, для образцов современной массовой "коробочной" архитектуры в этом плане имеются практически неограниченные возможности (рис. 3.29).
Современные видеоадаптеры оснащены графическими процессорами, которые аппаратно поддерживают операции с текстурами.
Рис. 3.29. Блочное текстурирование
3.8. Фракталы
Фрактал можно определить как объект довольно сложной формы, получающийся в результате выполнения простого итерационного цикла. Итерационность, рекурсивность обуславливают такие свойства фракталов, как самоподобие— отдельные части похожи по форме на весь фрактал в целом. Латинское fractus означает "составленный из фрагментов". В 1975 году французский математик Бенуа Мандельброт издал книгу "The fractal Geometry of Nature". С того времени слово "фрактал" стало модным. Фракталом Мандельброта названа фигура, которая порождается очень простым циклом. Для создания этого фрактала необходимо для каждой точки изображения выполнить цикл итераций согласно формуле:
где к = 0, 1, ..., п. Величины z*— это комплексные числа, zk= xk + i yk, причем стартовые значения х0 и у0 — это координаты точки изображения. Для каждой точки изображения итерации выполняются ограниченное количество раз (n) или до тех пор, пока модуль числа zk не превышает 2. Модуль комплексного числа равен корню квадратному из х2+у2. Для вычисления квадрата величины z* можно воспользоваться формулой z = (х + iy) (х + iy) -= (х2 - у2) + i (2у), поскольку i2 = -1. Цикл итераций для фрактала Мандель-
















