bjd_themes (1023446), страница 2
Текст из файла (страница 2)
Rиз - активное
сопротивление изоляции;
С - емкость (чем длиннее линии,
тем выше емкость).
(
распределенные по длине линии ее параметры (активные емкостные проводимости), на схеме условно показаны сосредоточено (это не резистор и конденсатор)).
Частота: Емкостная проводимость:
Комплексная проводимость:
Комплексное сопротивление изоляции:
-
Анализ однофазного и двухфазного прикосновений человека в трехфазной сети с заземленной нейтралью. Привести схемы и аналитические выражения тока Ih.
1. Двухфазное (двухполюсное) прикосновение к токоведущим частям.
|
| При прикосновении к двум точкам с U образуется замкнутая электрическая цепь и через тело человека проходит ток. Его величина зависит от параметров сети и | ||
| Рис.3. | |||
| ток смертельно опасен | |||
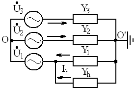
2. Однофазное прикосновение к токоведущим частям.
а) сеть с заземленной нейтралью:
б) сеть с изолированной нейтралью:
|
| Цепь тока замыкается через тело человека, землю и далее через сопротивления изоляции и емкости фаз. |
R и C распределенные в сети параметры, обусловленные активной проводимостью изоляции и емкостью фаз относительно земли. На схемах условно эти параметры заменяют сосредоточенными.
Определим ток
через тело человека.
В симметричном режиме сети
(где
фазный оператор) можно записать (после преобразований)
Ток через тело человека.
Или (выражая через сопротивления
и
)
В действительной форме этот ток равен
-
Защитное заземление: определение, область применения, принцип действия, защитные функции. Электрическая схема заземления.
Однофазные замыкания на корпус создают опасные потенциалы на нем и возле него из-за растекания тока с основания на землю. Существуют три способа защиты от поражения:
- автоматическое отключение за время менее допустимого; этот способ называется защитным отключением;
- снижение потенциала на корпусах до допустимой величины путем защитного заземления;
- зануление – обеспечивает автоматическое отключение и снижение потенциала на корпусах до допустимой величины.
В сетях с изолированной нейтралью токи замыкания (в случае попадания напряжения на корпус) недостаточны по величине для срабатывания автоматического отключения. Поэтому в таких сетях используют защитное заземление.
Нормирование заземлений по ГОСТ 12.1.030-81. Заземление применяется при
в сетях с изолированной нейтралью, при
- в сетях с любым режимом нейтрали.
Заземление обязательно при
во всех случаях; при
в помещениях особо опасных и с повышенной опасностью; независимо от U во взрывоопасных помещениях.
С целью обеспечения надежного контакта с землей корпуса, оболочки машин, аппаратов соединяют с заземлителем, находящимся в земле.
В этом случае при попадании фазы на корпус он окажется под напряжением
Ток через тело человека при прикосновении к корпусу будет равен.
Rз - сопротивление защитного заземлителя.
В нормальном режиме работы токов не возникает.
В аварийной ситуации изоляция уменьшается.
I
Между фазой и землей в симметрич. работе напряжение фазовое.
з потечет на 2 другие фазы.
Напряжение корпуса электроприбора без заземления в
аварийной ситуации при пробое равно Uфазы,
т.е. прикосновение к корпусу человеком
аналогично прикосновению к фазному проводу.
Ток через тело человека можно рассчитать
через формулы (*1), (*2), (*3), (*4)
При наличии заземления напряжение корпуса электроприбора относительно земли будет равно падению напряжения на сопротивление заземлителя (Rз).
с заземлением
Uк = Iз ∙ Rз
Uк < Uф т.к. это часть ЭДС и оно < 220В по з-ну Кирхгофа ΣЭДС = Σпаден. напряж.
Ток через заземлитель определяется по формуле:
-
Явление при стекании тока в землю с полусферического заземлителя. Аналитические выражения для потенциала заземлителя, напряжения прикосновения, напряжения шага. Сопротивление заземлителя растеканию тока?
Потенциал и сопротивление заземлителей.
Рассмотрим методику определения распределения потенциала в зоне растекания тока с заземленного корпуса и сопротивления заземлителя на примере полусферического заземлителя (считаем грунт однородным, а значит растекание тока замыкания равномерным по радиальным направлениям).
| В грунте под воздействием растекающегося тока создается электрическое поле с напряженностью Е. Плотность тока | |
| Рис.16. |
Напряженность электрического поля определяется по выражению:
т.е. он убывает по гиперболическому закону с увеличением расстояния x.
Из анализа зависимости
следует:
- при
. (зоной нулевого потенциала называется участок земли, где
малозаметен -
);
Напряжение зз. называется падение напряжения на сопротивлении земли между зз. и зоной нулевого потенциала. Сопротивлением заземления называется сопротивление земли возле зз:
Сопротивление зз. зависит от
грунта, формы зз. и его размеров.
При расчете зз.
измеряют на месте их сооружения.
Сопротивление одиночных заземлителей.
В качестве таких зз. применяют :
а) вертикальные электроды длинной
, диметром
(трубы при
)
б) горизонтальные полосы, их закладывают в траншеи глубиной
; L – длина полосы; b - ширина
Проектирование зз. по допустимому
.
На заданной площади подбирают и рассчитывают конструкцию зз. (размеры и число электродов) таким образом, чтобы выполнялось неравенство:
Применяются следующие конструкции зз.:
где S – площадь зз.;
l, n – длина и число вертикальных электродов;
L – общая длина горизонтальных полос;
t – глубина из заложения в землю.
| 2. |
| где |
| Рис.18. Полоса с вертикальными электродами. | ||
















