ОТВЕТЫ К МАТАНУ (1017814), страница 2
Текст из файла (страница 2)
Док-во Пусть f(x) ББВ,то , если любое E>0 и любое D>0 есть хотябы 1 х: 0<|x-x0|<E => f(x) >1/E=>|1/f(x)|<E
-сумма б.б.в. (с одинаковым знаком) есть б.б.в.
-произведение 2х б.м.величин=б.м.в.
-частное от деления 2х б.б.в = неопределенность
В6.Предел последовательности.Ограниченность последовательности, имеющей предел. Предел монотонной функции.
Последовательность- функция целочисленного аргумента.
Предел последовательности:
y=f(Un), где U1,U2,...Un, а Un=n/(n2+1)
П
редел: число а называется пределом переменной xn, если для каждого “+” как угодно малого числа (эпсилон) существует такой номер N, что при n>N разность |xn-a|<
limxn=a
n -<Xn-a< a-<Xn<a+
Если последовательность монотонно возрастает и ограниченна сверху, то она имеет предел.
Последовательность монотонно возрастает, если последующий член>предыдущего (xn+1>xn)
Последовательность ограничена сверху, если существует такое М, что xn<=M.
Ограниченность последовательности, имеющей конечный предел.
Lim an=a n->беск возмем m и M любое n => m<=an<=M любое E>0 есть хоть 1 N любое n>N=> |an-a|<E=>-E<an-a<E=>a-E<an<a+E m1-min из послед an M-max из послед an m=min{m1,a-E} M=max{M1,a+E} m<an<M чтд
Функция
монотонно возрастающей, если из
-строго монотонно возрастающей, если из
- монотонно убывающей, если из
-строго монотонно убывающей, если из
. Докажем одну из возможных здесь теорем. Теорема. Если
монотонно возрастает и ограниченна сверху при
, то существует конечный предел слева
. Доказательство. Рассмотрим множество
значений функции
при
. По условию теоремы, это множество ограниченно сверху, т.е.
. По теореме о существовании супремума(1. Если последовательность
монотонно возрастает и ограниченна сверху, то она сходится к конечному пределу;2. Если последовательность
монотонно возрастает, но неограниченна сверху, то
.) отсюда следует, что существует конечный
. Покажем, что
. По свойствам супремума 1.
2.
Обозначим
. Возьмем любое x, для которого
, но
. Как видно из рисунка, из этого следует, что
. Но тогда, в силу монотонности
а)
б)
Поэтому имеем
Выбрасывая лишнее получим, что
или, что то же самое,
. По определению предела функции это означает, что
.
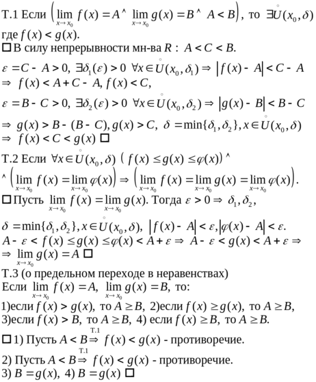
В7.Предельный переход в равенствах в неравенства. Теорема о “двух милиционерах.”
Теорема.Пусть во всех точках некого мн-ва f(x)<=g(x) и при этом есть конечные пределы, тогда a<b….f(x)<=g(x) Lim f(x)=a Lim g(x)=b при x->x0 получаем a<=b.
Док-во.Пусть a>b и E=(a-b)/4 есть хоть1 D1 и любой х: |x-x0|-D1=>|f(x)-a|<E=(a-b)/4=> -(a-b)/4< f(x)-a<(a-b)/4 (3a+b)/4<f(x)<(5a-b)/4
есть хоть1 D2 и любой х: 0<|x-x0|<D1=>|g(x)-b|<E=(a-b)/4
Теорема о “двух милиционерах”: Пусть нам заданы 3 функции на определенном промежутке, связанные следующим образом f(x)<=g(x)<=h(x) и еще выполняется Lim f(x)=a Lim h(x)=a при x->x0 ,то получаем, что Lim g(x)=a при x->x0.
Док-во: берем E1 и D1 для h хоть одно E>0 любое D>0 любое х: 0<|x-x0|<D => |f(x)-a|<D и |h(x)-a| <D => -D<f(x)-a<D -D<h(x)-a<D a-D<f(x)<D+a a-D<h(x)<D+a a-D<f(x)<=g(x)<=h(x)<a+D a-D<g(x)<a+D =>|g(x)-a|<E
В8.Первый замечательный предел.
Терема lim (sin(x)/x)=1
x0
S∆OMN=1/2 sin(x)
SсекOMN=1/2(x)
S∆OKN=1/2 tg(x)
S∆OMN<SсекOMN< S∆OKN
1/2sin(x)<1/2(x)<tg(x)
sin(x)<x<tg(x)
1<x/sin(x)<1/cos(x)
lim (1-cos(1/n))=0
n+
lim (1-cos(x))=0 lim (cos(x))=1
x0 x0
lim (x/sin(x))=0
x0
x>0 lim (x/sin(x))=1
x0
lim(1/(x/sin(x)))= lim(sin(x)/x)=1 что и требовалось доказать
x0 x0
В8.Первый замечательный передел
Первым замечательным пределом называется предел
Теорема 2.14 Первый замечательный предел равен
Доказательство. Рассмотрим два односторонних предела
и
и докажем, что каждый из них равен 1. Тогда по теореме 2.1 двусторонний предел
также будет равняться 1.
Итак, пусть
(этот интервал -- одно из окончаний базы
). В тригонометрическом круге (радиуса
) с центром
построим центральный угол, равный
, и проведём вертикальную касательную в точке
пересечения горизонтальной оси с окружностью (
). Обозначим точку пересечения луча с углом наклона
с окружностью буквой
, а с вертикальной касательной -- буквой
; через
обозначим проекцию точки
на горизонтальную ось.
Рис.2.27.Тригонометрический круг
Пусть
-- площадь треугольника
,
-- площадь кругового сектора
, а
-- площадь треугольника
. Тогда очевидно следующее неравенство:
Заметим, что горизонтальная координата точки
равна
, а вертикальная --
(это высота треугольника
), так что
. Площадь центрального сектора круга радиуса
с центральным углом
равна
, так что
. Из треугольника
находим, что
. Поэтому
Неравенство, связывающее площади трёх фигур, можно теперь записать в виде
Все три части этого неравенства положительны, поэтому его можно записать так:
или (умножив на
) так:
Предел постоянной 1 в правой части неравенства, очевидно, равен 1. Если мы покажем, что при
предел
в левой части неравенства тоже равен 1, то по теореме "о двух милиционерах" предел средней части
также будет равен 1.
Итак, осталось доказать, что
. Сперва заметим, что
, так как
равняется длине дуги окружности
, которая, очевидно, длиннее хорды
. Применяя теорему "о двух милиционерах" к неравенству
при
, получаем, что
| | (2.3) |
Простая замена переменной
показывает, что и
. Теперь заметим, что
. Применяя теоремы о линейности предела и о пределе произведения, получаем:
| | (2.4) |
Тем самым показано, что
Сделаем теперь замену
; при этом база
перейдёт в базу
(что означает, что если
, то
). Значит,
но
(
-- нечётная функция), и поэтому
Мы показали, что левосторонний предел также равен 1, что и завершает доказательство теоремы
В9.Второй замечательный предел
Теорема lim(1+1/x)x=e
x+
Доказательство: Пусть n – целая часть х – n=[x] nx<n+1
[1+1/(n+1)]n(1+1/x)x(1+1/n)n+1
Если x+, то n+
[1+1/(n+1)]n+11/[1+1/(n+1)](1+1/x)x(1+1/n)n(1+1/n) lim(1+1/x)x=e
x+
В10.Пределы, связанные со вторым замечательным пределом.
В11.Арифиметические операции над переменными, имеющими предел. Неопределенные случаи.
В12.Непрерывность функции в точке и на промежутке. Арифметические операции над непрерывными функциями
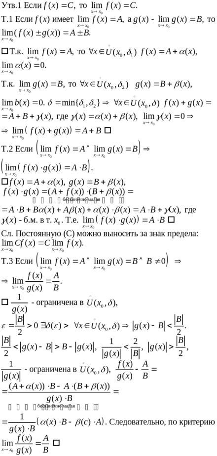
Определение: функция f(x) непрерывна, если: 1)она определена в х0 и некоторой ее окресности.2.Lim f(x)=f(x) при x->x0
Функция непрерывна на множестве, если она непрерывна в каждой точке этого множества.в качестве примера y=x2.
Арифметические опрерации: f(x)+-/*g(x) если функции непрерывны в х0
В13.Непрерывность сложной функции. Непрерывность основных элементарных и принадлежащих классу элеменетарных функции.
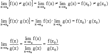
Пусть функции f(x) и g(x) непрерывны в точке х0. Тогда функция f(x) не равная g(x), f(x)g(x) и
(если g(x) не равно 0) непрерывны в точке x0.
Доказательство.
Пусть f(x) и g(x) непрерывны в точке x0. Это значит, что
. Но тогда, по свойствам пределов
Последнее свойство верно, если
.
Пусть y=f(x), но x, в свою очередь, является функцией некоторого аргумента t: x=(t). Тогда комбинация y=f((t)) называется сложной функцией, или суперпозицией функции (t).
Примеры:
а) y=sin(x), x=et => y=sin(et)
б) y= ex , x=sin(t) => y= esin(t)
Целая и дробная рациональные функции. Непрерывность f(x)=const и f(x)=x непосредственно ясна. На основании теоремы о произведении непрерывных функций вытекает непрерывность любого одночленного выражения axm, по теореме о сумме непрерывных функций - непрерывность многочлена a0xn + a1xn-1 + ... +an-1 + an. Непрерывность данных функций имеет место на всем интервале
. Частное двух многочленов
непрерывно всюду, кроме точек b0xm + b1xm-1 +...+ bm-1x + bm = 0 (в этих точках - либо разрыв 2-го рода, либо устранимый разрыв).
Показательная функция y=ax(a>1) монотонно возрастает на всем интервале
. Ее значения заполняют весь интервал
. Из существования логарифма следует непрерывность данной функции.
Логарифмическая функция
. Рассмотрим случай a>1. Эта функция возрастает при
, и принимает любое значение из
. Отсюда следует ее непрерывность.
















