Дальномеры (1014412), страница 2
Текст из файла (страница 2)
где принято, что КПД антенны ηа = 0,78.
Активная (эффективная) площадь антенны рассчитывается по формуле
1.3 Расчет параметров сигнала
В данном разделе рассчитываются длина волны λм и частота Fм модулирующего сигнала, а также связанный с этими параметрами масштабный коэффициент М. В проектируемом ФРД эти величины зависят от измеряемой дальности R. Поэтому в целях облегчения последующих расчетов рекомендуется определить значения рассматриваемых параметров для нескольких (обычно не менее пяти) дальностей, включая минимальное и максимальное значения R.
Результаты расчетов целесообразно представить в виде таблицы, а для наглядности построить соответствующие графики. Головка этой таблицы может иметь вид, представленный ниже.
| R, км | λм, км | Fм, кГц | Тм, мс | М, м/рад |
Расчет параметров модулирующего сигнала выполняется с помощью (1.1) и вытекающих из этой формулы соотношений:
Fм = с/λм = 0,5с/R; Tм = 2R/c. (1.8)
Масштабный коэффициент М, связывающий средние квадратические погрешности измерения фазы σφ и определения дальности σR ([1], § 3.2):
определяется по формуле ([1], с.152)
и имеет размерность метры/радиан. Рекомендуется выражать фазовые сдвиги в градусах. Тогда М в метрах/градус будет
1.4 Выбор параметров устройств обработки сигналов
При выполнении этого раздела определяются параметры фильтров приемно-усилительного тракта (см.рис. 1.2): усилителей промежуточной частоты УПЧ-1и УПЧ-2, а также полосового усилителя ПУ.
Полоса пропускания УПЧ-1выбирается из условия подавления сигнала с частотой f0, просачивающегося с передающего тракта (необходимо предварительно найти коэффициент преобразования частоты, используя (1.2) и соображения, приведенные в разд. 1.1):
Полоса пропускания УПЧ-2 должна обеспечивать выделение модулированного по амплитуде сигнала и с учетом доплеровского сдвига частоты равна (с некоторым запасом)
Полосовой усилитель в рассматриваемом ФРД представляет собой усилитель низких частот, который должен иметь полосу пропускания
В соотношениях (1.13) и (1.14) значения Fмmin и Fмmax соответствуют максимальной и минимальной измеряемым дальностям.
1.5 Расчет погрешностей
В данном разделе рассчитываются погрешности ФРД при оптимизации следящего измерителя фазы для дальности R0 = R1 = Rmin или R0 = R2 = Rmax и выбирается тот вариант оптимизации и соответствующая ему полоса пропускания измерителя фазы ΔFи, при которых достигается максимальная точность на заданной дальности. Точность измерения дальности оценивается как на Rmin, так и на Rmax.
При решении указанной задачи считается, что:
-
Используется следящий измеритель фазы, степень астатизма которого определяется законом взаимного движения объектов;
-
закон движения объектов – детерминированный с известными значениями первой (V) и второй (a) производных дальности по времени;
-
структура следящего измерителя фазы задана и на устойчивость не проверяется;
-
оптимизация измерителя производится на основе критерия минимума дисперсии суммарной погрешности σΣ, т.е. минимума суммы дисперсий флуктуационной σ и динамической ΔRд погрешностей:
Основные соотношения. При расчете точностных параметров ФРД используются соотношения, приведенные в табл. 1.1 ([6], гл.6; [7], гл.5 и 6).
Таблица 1.1
Аббревиатура «СА» в таблице означает степень астатизма измерителя фазы, а обозначения Н(р) и ΔFи опт соответствуют операторному коэффициенту передачи фильтра в цепи слежения за фазой и оптимальной полосе пропускания следящего измерителя, найденной с использованием критерия (1.15). Принято, что в измерителе с астатизмом 1 порядка имеется интегратор с коэффициентом передачи Ки и пропорционально-интегрирующий фильтр. Постоянные времени форсирующего и инерционного звеньев этого фильтра обозначены Т1 и Т2 соответственно. Рекомендуется считать, что Т2 = 1 с.
В измерителе с астатизмом 2 порядка функцию сглаживания флуктуаций выполняет двойной интегратор с коэффициентом передачи Ки2 и корректирующее звено с постоянной времени Тк.
Входящая в приведенные в табл. 1.1 соотношения величина Gэ представляет собой эквивалентную спектральную плотность (на нулевой частоте) флуктуаций на выходе фазового детектора (ФД), вызываемых шумом, действующим на входе ФД. Величина Gэ при измерении дальности имеет размерность м2/Гц и в предположении равномерности спектра флуктуации в пределах полосы пропускания измерителя рассчитывается по формуле ([8], §7.5)
где М – масштабный коэффициент (см.п. 1.3); q – отношение мощностей сигнала и шума на входе ФД; ΔFфл – ширина спектра флуктуаций на входе ФД, значение которой определяется полосой пропускания полосового усилителя. При расчетах обычно можно считать, что
Масштабный коэффициент в (1.16) отображает тот факт, что проникающий на выход ФД шум воспринимается как случайное изменение дальности и является источником флуктуационной дальномерной погрешности σ.
При расчете погрешностей ФРД следует обращать внимание на размерности используемых величин. В частности, размерность Gэ, равная м2/Гц, получается только в том случае, когда масштабный коэффициент вычисляется по формуле (1.10) и имеет размерность м/радиан. Это объясняется тем, что в (.16) входит сомножитель
, где
- дисперсия оценки фазы ([1], с.153), характеризующая потенциальную точность измерения фазы и имеющая размерность радиан2.
Порядок расчета. Расчет погрешностей σi, ΔRд1, σΣi рекомендуется разделить на 4 этапа (i = 1,…,4), отличающихся значениями измеряемой дальности R и дальностью R0, для которой оптимизируется следящий измеритель фазы. Эти этапы и соответствующие им R и R0 указаны в табл. 1.2. Здесь же приведены подлежащие расчету или используемые при расчете величины.
Таблица 1.2
| N | R0 | R | q | Gэ | ΔFи | σ | ΔRд | σΣ |
| 1 | R1=Rmin | R1 | ||||||
| 2 | R2 | |||||||
| 3 | R2=Rmax | R2 | ||||||
| 4 | R1 |
Формулы для нахождения флуктуационной σi и динамической ΔRд1 погрешностей, а также оптимальной полосы пропускания следящего измерителя следует брать из табл. 1.1. Результаты вычислений заносятся в таблицу, форма которой соответствует табл. 1.2.
При вычислении считается, что σΣi равна заданной погрешности σΣ на дальности R1=Rmin, а минимальное значение σΣi достигается при оптимизации измерителя для этой дальности. В оптимизированном следящем измерителе выполняется условие
которое справедливо на дальности R =R0 при приведенных в табл. 1.1 формах Н(р).
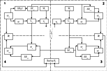
РИС. 1.4
На рис. 1.4 приведена схема «алгоритма» расчета погрешностей σΣi и выбора той дальности Ri, для которой целесообразно оптимизировать измеритель в заданной тактической ситуации. Соответствующие этой дальности значения полосы пропускания измерителя ΔFиi и точностных параметров используются в последующих расчетах и при разработке требований к элементам ФРД. Выбор Ri основан на сравнении (символ «≷» на рис. 1.4) погрешностей σΣi . Особенности расчета, выполняемого на различных этапах, приведены ниже.
Этап 1 (R=R1; R0=R1; R1=Rmin). По заданному значению σΣi определяются с помощью (1.18) погрешности σ1 и ΔRд1. Используя табл. 1.1 и считая Т2 = 1 с, последовательно находят ΔFи1 и Gэ1. Из соотношений (1.16) и (1.10) рассчитывается то значение отношения мощностей сигнала и шума на входе фазового детектора q1, при котором обеспечивается заданное значение σΣi на дальности R1=Rmin.
Этап 2 (R=R2; R0=R1; R2=Rmax). Расчет начинается с определения q2, имеющего место на дальности R2, по формуле
которая справедлива для радиолокаторов с активным ответом, в которых q пропорционально R-2 ([1], с.65). Затем следует найти эквивалентную спектральную плотность флуктуаций Gэ2 на дальности Rmax с помощью (1.16). После этого рассчитываются погрешности σ2, ΔRд2 и σΣ2 в предположении, что полоса ΔFи1 не изменилась.
















