rpd000011724 (1011754), страница 4
Текст из файла (страница 4)
| 19 | Адиабатному дросселированию сухого насыщенного пара соответствует процесс |
| ||||||||
| 20 | Как соотносятся между собой плотности газа до препятствия (ρ1)и после (ρ2)? |
|
спец. т. 8.docx
Раздел “Термодинамика потоков жидкости и газа”
| 1 | При торможении адиабатного потока газа в диффузоре |
| ||||||||
| 2 | При ускорении адиабатного потока газа в сопле |
| ||||||||
| 3 | Температура торможения газа по длине сопла |
| ||||||||
| 4 | Температура торможения газа по длине диффузора |
| ||||||||
| 5 | Если число Маха потока газа М > 1, то для ускорения потока требуется |
| ||||||||
| 6 | Если число Маха потока газа М < 1, то для ускорения потока требуется |
| ||||||||
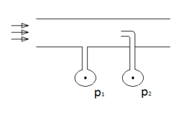
| 7 | При движении потока газа измеряются показания двух манометров, приведенных на рисунке. Как будут соотноситься их показания? |
| ||||||||
| 8 | Критическое отношение давлений ßкр = р/р” зависит от… Здесь и далее p” – давление торможения |
| ||||||||
| 9 | При истечении газа из сужающегося сопла в дозвуковой области истечения (ßкр < p/ p” < 1) давление на среде сопла будет равно |
| ||||||||
| 10 | При истечении газа из сужающегося сопла в дозвуковой области истечения (0 ≤ p/ p”≤ ßкр), давление на срезе сопла будет равно |
| ||||||||
| 11 | При истечении газа из расчетного сопла Лаваля давление газа на срезе будет равно |
| ||||||||
| 12 | Какая структурная формула правильно описывает поведение скорости истечения из сужающегося сопла в дозвуковой области истекания ( ßкр < p/ p” < 1) ? здесь и далее T” – температура торможения |
| ||||||||
| 13 | Какая структурная формула правильно описывает поведение скорости истечения из сужающегося сопла в сверхзвуковой области (0 ≤ p/ p” ≤ ßкр)? |
| ||||||||
| 14 | Какая структурная формула правильно описывает поведение массового секундного расхода при истечении газа из сужающегося сопла в дозвуковой области истечения ( ßкр < p/ p” < 1) ? |
| ||||||||
| 15 | Какая структурная формула правильно описывает поведение массового секундного расхода при истечении газа из сужающегося сопла в сверхзвуковой области истечения (0 ≤ p/ p” ≤ ßкр)? |
| ||||||||
| 16 | Какая структурная формула правильно описывает поведение скорости истечения из сопла Лаваля в сверхзвуковой области истечения (0 ≤ p/ p” ≤ ßкр)? |
| ||||||||
| 17 | Какая структурная формула правильно описывает поведение секундного расхода при истечении газа из сопла Лаваля в дозвуковой области истечения (ßкр < p/ p” < 1) ? |
| ||||||||
| 18 | По какой формуле возможно рассчитать скорость истечения водяного пара? |
|
| 19 | Какому графику соответствует характер изменения скорости в зависимости от перепада давления при истечении из сопла Лаваля? |
| ||||||||
| 20 | Какому графику соответствует характер изменения массового секундного расхода газа в зависимости от перепада давления при истечении из сопла Лаваля? |
|
спец. т 2 3.docx
















