21_Электронные ИС (1002187)
Текст из файла
2. Радиочастотные ИС.
Интегральные схемы (ИС) более сложны и дороги в изготовлении, чем печатные платы на органических подложках. Их используют, если необходимы
- малые размеры (высокую разрешающую способность обусловливают малая толщина пленки),
- большое значение диэлектрической проницаемости ε керамики (важно для длинноволновых устройств, длина волны в линии передачи λ Л = λ0 √εэф, λ0 – длина волны в свободном пространстве),
- резисторы, конденсаторы, индуктивности.
ИС строятся из элементов, размеры которых или существенно меньше рабочей длины волны или сравнимы с ней. Первых считают элементами с сосредоточенными параметрами, вторых – с распределенными параметрами. Очевидно, с уменьшение длины волны первые трансформируются во вторые.
Пленочные элементы с сосредоточенными параметрами.
Рис. Тонкопленочные резисторы.
Сопротивление резистора R = Rуд l / (b h),
где Rуд – удельное сопротивление резистивного покрытия, l длина резистора, b – ширина резистора, h – толщина резистивного покрытия. Площадь резистора зависит от уровня мощности, необходимой для рассеивания. В противном случае резистор будет разрушен.
Рис. Пленочные последовательные конденсаторы.
Рис. Пленочные параллельные ёмкости (второй обкладкой служит металлизированный экран).
Рис. Пленочные катушки индуктивности: а – в виде меандра, б – в виде спирали, в – прямоугольная. Варианты (б) и (в) требуют дополнительной операции пайки или сварки.
Устройства с распределенными параметрами.
Рис. Распределенные поглощающие покрытия: 2 – проходной аттенюатор, 3 – оконечная поглощающая нагрузка. (Поглощающие покрытия эффективны, когда они расположены параллельно силовым линиям электрического поля.)
Линии передачи (ЛП) на керамических подложках характеризуются волновым сопротивлением:
Z = √ L/C,
где L – погонная индуктивность, а C – погонная емкость. Типичным значением волнового сопротивления для СВЧ линий передачи – 50 Ом (для телевизионных трактов – 75 Ом).
Основными типами высокочастотных пленочных линий передачи являются микрополосковая, щелевая, копланарная.
Рис. Пленочные линии передачи: (а) – микрополосковая линия, (b) – двухпроводная линия возможно расположение в одной плоскости), (c) – щелевая линия, (d) – копланарная линия.
Переходы между линиями передачи расширяют возможности интегральной технологии, уменьшают число монтажных операций.
Рис. Элементы конструкции линий передачи СВЧ с переходами на прямоугольный волновод: (а) - микрополосковая линия → волновод, (б) – волновод → двухпроводная линия (волноводно-щелевая линия) → микрополосковая линия, (в) - волновод → щелевая линия. 1 - микрополосковая плата, 2 - прямоугольный волновод со ступенчатым переходом к П - волноводу; 3 - соединительная перемычка (со стороны экрана тоже), 4 - плата.
Рис. Связь двух микрополосковых линий с помощью щелевой линии.
Рис. Переходы между различными пленочными линиями передачи: (a) двумя микрополосковыми линиями через щелевую, (b) – микрополосковой и двухпроводной, (c) - микрополосковой и щелевой, (d) – копланарной и микрополосковой.
Наиболее используемой является микрополосковая линия, благодаря легкому соединению отдельных пассивных и активных устройств без дополнительных технологических операций. Конструкция имеет малый вес и габариты. Однако открытая конфигурация предполагает излучение, переотражение энергии и паразитную электромагнитную связь между устройствами. Поскольку поглощающие покрытия эффективны, когда они расположены параллельно силовым линиям электрического поля, нанесение их на поверхность подложки нецелесообразно.
Рис. Излучения в микрополосковой структуре
Линии передачи (ЛП) хорошо моделируются теорией длинных линий. В линии передачи с волновым сопротивление 50 Ом, нагруженная на сопротивление 50 Ом распространяется бегущая волна, отражение отсутствует. Во всех других случаях падающая волна отражается от нагрузки. Суперпозиция падающей и отраженной волн формирует стоячую волну.
Рис. Эпюры напряжения, тока и входного сопротивления в (А) – разомкнутой (режим холостого хода – ХХ) и (Б) короткозамкнутой (КЗ) линий передачи.
-
в линии, разомкнутой на конце, устанавливается режим стоячей волны, напряжение U, ток I и входное сопротивление Xвх вдоль линии изменяются по периодическому закону с периодом λЛ/2;
-
входное сопротивление разомкнутой линии является чисто мнимым за исключением точек с координатами z = n λЛ/4, n = 0,1,2,...;
-
если длина разомкнутой линии меньше λЛ/4, то такая линия эквивалентна емкости;
-
разомкнутая на конце линия длиной λЛ/4 эквивалентна последовательному резонансному на рассматриваемой частоте контуру и имеет нулевое входное сопротивление;
-
линия, длина которой лежит в интервале от λЛ/4 до λЛ/2, эквивалентна индуктивности;
-
разомкнутая на конце линия длиной λЛ/2 эквивалентна последовательному резонансному контуру на рассматриваемой частоте и имеет бесконечно большое входное сопротивление.
-
Отрезок короткозамкнутой линии, длиной меньше λЛ/4 имеет индуктивный характер входного сопротивления, а при длине λЛ/4 такая линия имеет бесконечно большое входное сопротивление на рабочей частоте.
Шлейфы. Отрезки линий передачи, включенные параллельно в основную ЛП, называются шлейфами. В зависимости от длины и режима на его конце (ХХ или КЗ) входное сопротивление шлейфа может быть емкостным, индуктивным или комплексным. Шлейфы используются в качестве элементов согласования активных устройств.
Рис. Согласующий шлейф транзисторного устройства.
Для высоких частот резисторы, конденсаторы, катушки индуктивности характеризуются комплексными сопротивлениями. Существенно увеличиваются паразитные емкость и индуктивность, а также влияние короткозамыкателя. Традиционная схема с металлизированным отверстием между контактной площадкой и заземленным экраном представляет собой контур с резонансной частотой около 10 ГГц для поликоровой подложки толщиной 0.5 мм. Для узкополосных (в пределах 10%) устройств короткозамыкатель может быть заменен разомкнутым шлейфом: режим ХХ через λЛ/4 трансформируется в режим КЗ.
Рис. Резистор со шлейфовым короткозамыкателем.
Геометрическая длина шлейфа зависит от величины эффективной диэлектрической проницаемости εэфф
l ш = λЛ/4 = λ0/4 √εэфф
λЛ – длина волны в ЛП, λ0 - длина волны в свободном пространстве.
Рис. Силовые линии электрического поля в микрополосковой линии передачи.
Величина εэфф зависит от доли электрического поля в диэлектрической подложке. Чем шире микрополосковый проводник, тем больше εэфф.
λЛ = λ0 √εэфф
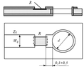
Трансформаторы. Отрезки линий передачи, включенные последовательно (каскадно) в основную ЛП, называются трансформаторами полных сопротивлений.
Рис. Схема четвертьволнового трансформатора.
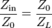
Входное сопротивление трансформатора Zin, сопротивления нагрузки ZL , ZO – волновое сопротивление ЛП трансформатора.
Обычно задача состоит в определении волнового сопротивления трансформатора:
Z0 =√ Zin ZL
Трансформатор с высоким волновым сопротивлением эквивалентно последовательной индуктивности, а с низким – емкости.
Рис. Эквивалентная схема последовательной индуктивности (а) и её топология (б)
Делители мощности.
Наиболее простые делители мощности для согласования узла разветвления используют трансформаторы. 50 -Омное подводящее плечо в точке разветвления подключается к параллельному соединению 2-х 50 –Омных отводящих плеч с результирующим входным сопротивлением 25 Ом. Необходимо получить входное сопротивление в точке разветвления – 100 Ом. (Zin = 100 Ом, ZL = 50 Ом)
ZO = √ (Zin ∙ ZL ) = √ (100 ∙ 50) =70.7 Ом.
Четвертьволновый трансформатор в отводящем плече должен обладать волновым сопротивлением 70.7 Ом. Другой вариант – сформировать трансформатор в подводящем плече. Zin = 50 Ом, ZL = 25 Ом. Волновое сопротивление трансформатора:
ZO = √ (Zin ∙ ZL ) = √ (50 ∙ 25) =35.35 Ом.
Рис. Ненаправленный делитель мощности с согласующим одноступенчатым трансформатором (а) - в отводящем плече, (б) - в подводящем плече.
Одноступенчатые делители работают в узком диапазоне частот. Для расширения частотного диапазона используют многоступенчатые трансформаторы.
Рис. Ненаправленные делители с многоступенчатыми трансформаторами.
Рис. Частотные характеристики коэффициента стоячей волны делителей с одноступенчатыми и многоступенчатыми трансформаторами.
Ненаправленные делители мощности могут работать на хорошо согласованную нагрузку и только в режиме деления, поскольку согласование проводилось лишь со стороны входного плеча. При подаче сигнала в одно из отводящих плеч он непременно поступает во второе отводящее плечо. Для изоляции отводящих плеч используется кольцевой делитель с омической нагрузкой. В режиме деления от плеча 1 амплитуды и фазы разделенных пополам сигналов на выходах 2 и 3 одинаковы. Разность потенциалов на контактах резистора отсутствует, ток через резистор не течет. В режиме деления нет диссипативных потерь.
В режиме суммирования, когда сигналы подаются со стороны плеч 2 и 3, в общем случае амплитуды и фазы сигналов не совпадают. Ток через резистор протекает. Происходят существенные потери мощности сигналов. При подаче сигнала в плечо 2 сигналы на контактах резистора находятся в противофазе, поэтому частично компенсируют друг друга. Это определяет изоляцию плеч 2 и 3. Такой кольцевой делитель удобен, например, для ввода сигналов входного и гетеродинного в одинарный смеситель. Тракты входного и гетеродинного сигналов должны быть изолированы. В противном случае гетеродинный сигнал будет излучаться в эфир, а мощный входной сигнал сможет дестабилизировать работу гетеродина.
Характеристики
Тип файла документ
Документы такого типа открываются такими программами, как Microsoft Office Word на компьютерах Windows, Apple Pages на компьютерах Mac, Open Office - бесплатная альтернатива на различных платформах, в том числе Linux. Наиболее простым и современным решением будут Google документы, так как открываются онлайн без скачивания прямо в браузере на любой платформе. Существуют российские качественные аналоги, например от Яндекса.
Будьте внимательны на мобильных устройствах, так как там используются упрощённый функционал даже в официальном приложении от Microsoft, поэтому для просмотра скачивайте PDF-версию. А если нужно редактировать файл, то используйте оригинальный файл.
Файлы такого типа обычно разбиты на страницы, а текст может быть форматированным (жирный, курсив, выбор шрифта, таблицы и т.п.), а также в него можно добавлять изображения. Формат идеально подходит для рефератов, докладов и РПЗ курсовых проектов, которые необходимо распечатать. Кстати перед печатью также сохраняйте файл в PDF, так как принтер может начудить со шрифтами.
















